Студопедия

КАТЕГОРИИ:


Архитектура-(3434)Астрономия-(809)Биология-(7483)Биотехнологии-(1457)Военное дело-(14632)Высокие технологии-(1363)География-(913)Геология-(1438)Государство-(451)Демография-(1065)Дом-(47672)Журналистика и СМИ-(912)Изобретательство-(14524)Иностранные языки-(4268)Информатика-(17799)Искусство-(1338)История-(13644)Компьютеры-(11121)Косметика-(55)Кулинария-(373)Культура-(8427)Лингвистика-(374)Литература-(1642)Маркетинг-(23702)Математика-(16968)Машиностроение-(1700)Медицина-(12668)Менеджмент-(24684)Механика-(15423)Науковедение-(506)Образование-(11852)Охрана труда-(3308)Педагогика-(5571)Полиграфия-(1312)Политика-(7869)Право-(5454)Приборостроение-(1369)Программирование-(2801)Производство-(97182)Промышленность-(8706)Психология-(18388)Религия-(3217)Связь-(10668)Сельское хозяйство-(299)Социология-(6455)Спорт-(42831)Строительство-(4793)Торговля-(5050)Транспорт-(2929)Туризм-(1568)Физика-(3942)Философия-(17015)Финансы-(26596)Химия-(22929)Экология-(12095)Экономика-(9961)Электроника-(8441)Электротехника-(4623)Энергетика-(12629)Юриспруденция-(1492)Ядерная техника-(1748)

Нечеткие операторы

Введенные выше операции над нечеткими множествами основаны на использовании операций max и min. В теории нечетких множеств разрабатываются вопросы построения обобщенных, параметризованных операторов пересечения, объединения и дополнения, позволяющих учесть разнообразные смысловые оттенки соответствующих им лингвистических связок естественного языка «и», «или», «не».

Один из подходов к операторам пересечения и объединения заключается в их определении при помощи нечетких операторов, т.н. треугольных норм и конорм. Следует обратить внимание на то, что представленные выше варианты вычисления нечеткого «И» как minи нечеткого «или» как max , использующиеся как самостоятельно, так и при введении операций разности, симметрической разности и дизъюнктивной суммы – это только один из возможных вариантов определения данных операций, веденный основоположником теории нечетких множеств Л.Заде.

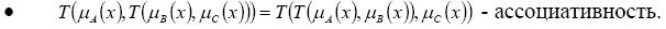
Треугольной нормой ( t -нормой) называется двуместная действительная функция T, отображающая две функции принадлежности нормальных нечетких множеств в одну функцию принадлежности нормального нечеткого множества и удовлетворяющая следующим условиям:

 

Примерами t -норм являются следующие функции:

Треугольной конормой ( t -конормой) называется двуместная действительная функция T, отображающая две функции принадлежности нормальных нечетких множеств в одну функцию принадлежности нормального нечеткого множества и удовлетворяющая следующим условиям:

Примерами t -конорм являются следующие функции:

<== предыдущая лекция | следующая лекция ==>
Тема 2.5. Нечеткие модели управления | Пример 1
Поделиться с друзьями:


Дата добавления: 2014-01-05; Просмотров: 892; Нарушение авторских прав?; Мы поможем в написании вашей работы!


Нам важно ваше мнение! Был ли полезен опубликованный материал? Да | Нет



studopedia.su - Студопедия (2013 - 2026) год. Все материалы представленные на сайте исключительно с целью ознакомления читателями и не преследуют коммерческих целей или нарушение авторских прав! Последнее добавление




Генерация страницы за: 0.014 сек.