Студопедия

КАТЕГОРИИ:


Архитектура-(3434)Астрономия-(809)Биология-(7483)Биотехнологии-(1457)Военное дело-(14632)Высокие технологии-(1363)География-(913)Геология-(1438)Государство-(451)Демография-(1065)Дом-(47672)Журналистика и СМИ-(912)Изобретательство-(14524)Иностранные языки-(4268)Информатика-(17799)Искусство-(1338)История-(13644)Компьютеры-(11121)Косметика-(55)Кулинария-(373)Культура-(8427)Лингвистика-(374)Литература-(1642)Маркетинг-(23702)Математика-(16968)Машиностроение-(1700)Медицина-(12668)Менеджмент-(24684)Механика-(15423)Науковедение-(506)Образование-(11852)Охрана труда-(3308)Педагогика-(5571)Полиграфия-(1312)Политика-(7869)Право-(5454)Приборостроение-(1369)Программирование-(2801)Производство-(97182)Промышленность-(8706)Психология-(18388)Религия-(3217)Связь-(10668)Сельское хозяйство-(299)Социология-(6455)Спорт-(42831)Строительство-(4793)Торговля-(5050)Транспорт-(2929)Туризм-(1568)Физика-(3942)Философия-(17015)Финансы-(26596)Химия-(22929)Экология-(12095)Экономика-(9961)Электроника-(8441)Электротехника-(4623)Энергетика-(12629)Юриспруденция-(1492)Ядерная техника-(1748)

Формула включений и исключений

 

Часто комбинаторная конфигурация является объединением других, число комбинаций в которых вычислить проще. В таком случае требуется уметь вычислять число комбинаций в объединении.

Пусть А 1 и А 2 – 2 конечных множества. Тогда если А 1Ç А 2=Æ, то . Пусть теперь А 1Ç А 2¹Æ, тогда в каждый элемент из А 1Ç А 2 будет учтен дважды. Поэтому . Последнюю формулу можно обобщить на случай произвольного числа множеств:

. (2)

Равенство (2) называется формулой включений и исключений. В частности, для трех множеств эта формула имеет вид:

 

.

Доказывается формула (1) методом математической индукции.

 

Пример 6.

Сколько существует натуральных чисел, меньших 1000, которые не делятся ни на 3, ни на 5, ни на 7?

Всего чисел, меньших тысячи, 999. Из них 999:3=333 делятся на 3,

999:5=199 (ост. 4) делятся на 5,

999:7=142 (ост. 5) делятся на 7,

999:(3х5)=66 (ост. 9) делятся на 3 и на 5,

999:(3х7)=47 (ост. 12) делятся на 3 и на 7,

999:(5х7)=28 (ост. 10) делятся на 5 и на 7,

999:(3х5х7)=9 (ост. 45) делятся на 3, на 5 и на 7.

В итоге искомых чисел 999-(333+199+142-66-47-28+9)=457.

 

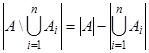
Следствие. Пусть А – конечное множество, А 1, …, Аn – его подмножества. Тогда

. (3)

Доказательство. Поскольку , а Æ, то . Следовательно, . Применив для правой части последнего равенства формулу включений и исключений, получим искомый результат.

 

Пример 7.

Дано множество А ={0, 1, …, 10} и 3 его подмножества:
А 1={ a | a – четное}, А 2={ a | a >6}, А 3={ a | 2< a <8}. Сколько элементов множества А не принадлежат ни одному из этих подмножеств?

тогда по формуле (3) . Очевидно, что таким элементом является 1.

 

<== предыдущая лекция | следующая лекция ==>
Полиномиальная формула | Резюме по теме. Вопросы для повторения
Поделиться с друзьями:


Дата добавления: 2014-01-05; Просмотров: 609; Нарушение авторских прав?; Мы поможем в написании вашей работы!


Нам важно ваше мнение! Был ли полезен опубликованный материал? Да | Нет



studopedia.su - Студопедия (2013 - 2026) год. Все материалы представленные на сайте исключительно с целью ознакомления читателями и не преследуют коммерческих целей или нарушение авторских прав! Последнее добавление




Генерация страницы за: 0.011 сек.