Студопедия

КАТЕГОРИИ:


Архитектура-(3434)Астрономия-(809)Биология-(7483)Биотехнологии-(1457)Военное дело-(14632)Высокие технологии-(1363)География-(913)Геология-(1438)Государство-(451)Демография-(1065)Дом-(47672)Журналистика и СМИ-(912)Изобретательство-(14524)Иностранные языки-(4268)Информатика-(17799)Искусство-(1338)История-(13644)Компьютеры-(11121)Косметика-(55)Кулинария-(373)Культура-(8427)Лингвистика-(374)Литература-(1642)Маркетинг-(23702)Математика-(16968)Машиностроение-(1700)Медицина-(12668)Менеджмент-(24684)Механика-(15423)Науковедение-(506)Образование-(11852)Охрана труда-(3308)Педагогика-(5571)Полиграфия-(1312)Политика-(7869)Право-(5454)Приборостроение-(1369)Программирование-(2801)Производство-(97182)Промышленность-(8706)Психология-(18388)Религия-(3217)Связь-(10668)Сельское хозяйство-(299)Социология-(6455)Спорт-(42831)Строительство-(4793)Торговля-(5050)Транспорт-(2929)Туризм-(1568)Физика-(3942)Философия-(17015)Финансы-(26596)Химия-(22929)Экология-(12095)Экономика-(9961)Электроника-(8441)Электротехника-(4623)Энергетика-(12629)Юриспруденция-(1492)Ядерная техника-(1748)

Напруженість електричного поля

Нехай в точці О знаходиться позитивний точковий заряд q (рис.4.1.5). У довільну точку поля С, створеного зарядом q, і яка знаходиться на відстані r від цього заряду, помістимо пробний заряд q 0. Модуль сили взаємодії між цими зарядами визначаємо за законом Кулона

Поділивши обидві частини формули (4.1.4) на q 0 і прирівнявши q 1 = q, отримуємо

. (4.1.5)

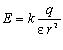
Вираз правої частини формули (4.1.5) не залежить від заряду q 0 і має стале значення для кожної точки поля, в якій цей заряд знаходиться. Отже, відношення F/ q 0 є також сталим для кожної точки поля. Величину, що виражає це відношення, називають напруженістю електричного поля: . (4.1.6)

Напруженістю електричного поля називають фізичну векторну величину , що є силовою характеристикою електричного поля в кожній його точці і чисельно дорівнює відношенню сили, з якою поле діє на точковий заряд, поміщений у цю точку, до значення цього заряду. Напрям напруженості збігається з напрямом електричної сили, що діє на пробний позитивний заряд в цій точці: .

Вектор напруженості в будь-якій точці (А, В) електричного поля напрямлений вздовж прямої, що сполучає цю точку і заряд, від заряду, якщо q > 0, і до заряду, якщо q < 0 (рис. 4.1.6).

Із формул (4.1.5) і (4.1.6) знайдемо, що модуль напруженості електричного поля, створюваного точковим електричним зарядом, . (4.1.7)

Одиницю напруженості електричного поля визначаємо із формули. У СІ: .

Отже, за одиницю напруженості в СІ - вольт на метр - взято напруженість такого однорідного електричного поля, потенціал якого вздовж лінії напруженості змінюється на 1 В на відстані 1 м. У кожній точці такого поля на заряд, що дорівнює 1 Кл, діє сила 1 Н.

<== предыдущая лекция | следующая лекция ==>
Електричне поле нерухомих зарядів | Лінії напруженості
Поделиться с друзьями:


Дата добавления: 2014-01-06; Просмотров: 583; Нарушение авторских прав?; Мы поможем в написании вашей работы!


Нам важно ваше мнение! Был ли полезен опубликованный материал? Да | Нет



studopedia.su - Студопедия (2013 - 2026) год. Все материалы представленные на сайте исключительно с целью ознакомления читателями и не преследуют коммерческих целей или нарушение авторских прав! Последнее добавление




Генерация страницы за: 0.011 сек.