Студопедия

КАТЕГОРИИ:


Архитектура-(3434)Астрономия-(809)Биология-(7483)Биотехнологии-(1457)Военное дело-(14632)Высокие технологии-(1363)География-(913)Геология-(1438)Государство-(451)Демография-(1065)Дом-(47672)Журналистика и СМИ-(912)Изобретательство-(14524)Иностранные языки-(4268)Информатика-(17799)Искусство-(1338)История-(13644)Компьютеры-(11121)Косметика-(55)Кулинария-(373)Культура-(8427)Лингвистика-(374)Литература-(1642)Маркетинг-(23702)Математика-(16968)Машиностроение-(1700)Медицина-(12668)Менеджмент-(24684)Механика-(15423)Науковедение-(506)Образование-(11852)Охрана труда-(3308)Педагогика-(5571)Полиграфия-(1312)Политика-(7869)Право-(5454)Приборостроение-(1369)Программирование-(2801)Производство-(97182)Промышленность-(8706)Психология-(18388)Религия-(3217)Связь-(10668)Сельское хозяйство-(299)Социология-(6455)Спорт-(42831)Строительство-(4793)Торговля-(5050)Транспорт-(2929)Туризм-(1568)Физика-(3942)Философия-(17015)Финансы-(26596)Химия-(22929)Экология-(12095)Экономика-(9961)Электроника-(8441)Электротехника-(4623)Энергетика-(12629)Юриспруденция-(1492)Ядерная техника-(1748)

Ефект доплера




Ефект Допплера можна легко спостерігати саме на акустичних коливаннях. Коли до нас наближається поїзд або автомобіль з увімкненим сигналом, то з його наближенням, а потім віддаленням ми помічаємо різку зміну висоти тону звуку сигналу. З віддаленням джерела частота коливань зменшується. Це явище називають ефектом Допплера, причина його полягає в тому, що з наближенням до спостерігача джерела звуку він за одиницю часу сприймає більшу кількість хвиль, ніж тоді, коли джерело звуку віддаляється.

Тому спостерігач сприймає більшу кількість коливань за секунду, коли джерело звуку наближається, і меншу — коли віддаляється. Нехай джерело звуку S (мал. 2.33) рухається до спостерігача зі швидкістю v. Частота коливань, які випромінює джерело, дорівнює f. За інтервал часу джерело посилає одну хвилю, яка поширюється в середовищі, що розглядається зі швидкістю u. За інтервал часу джерело звуку наблизиться до спостерігача на відстань Отже, кінець наступної хвилі, що вийде із
джерела через секунд, буде віддалений у просторі від кінця попередньої хвилі не на довжину хвилі що мало б місце за нерухомого джерела звуку, а на меншу довжину:

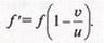
Отже, спостерігач сприйматиме звук хвилі ' меншої довжини, якій відповідає частота f ' (мал. 2.34, 2.35):

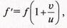
Аналогічно за віддаляння джерела звуку від спостерігача зі швидкістю v частоту сприйнятих ним коливань визначають за формулою:

Якщо спостерігач наближається до нерухомого джерела звуку, частота коливань, яку він сприймає, також зростає, оскільки спостерігач при цьому швидше проходить довжини хвиль або частіше стикається з гребенями хвиль. Якщо спостерігач рухається до джерела звуку, частоту сприйнятих коливань визначають за формулою якщо він рухається від джерела звуку — за формулою

За явищем Допплера, можна встановити, наближається джерело коливань до спостерігача чи віддаляється від нього, і з якою швидкістю відбувається цей процес. Це явище широко використовують в астрономії для визначення швидкості руху світил.

 

УЗАГАЛЬНЕННЯ ТА СИСТЕМАТИЗАЦІЯ ЗНАНЬ З ТЕМИ "МЕХАНІЧНІ КОЛИВАННЯ І ХВИЛІ". ЕКОЛОГІЧНІ ПРОБЛЕМИ АКУСТИКИ

• Коливання — найпоширеніша форма руху в навколишньому світі та техніці. Якщо яке-небудь тіло підвісити в точці, яка не є центром його маси, вивести його зі стану рівноваги й відпустити, то воно певний час коливатиметься, амплітуда коливань зменшуватиметься і коливання припиняться. Такі коливання називають вільними. Затухають коливання внаслідок наявності тертя, опору повітря тощо; механічна енергія перетворюється на теплову.

• В ідеальних системах, коли відсутні втрати механічної енергії, коливання будуть незатухаючими, їх називають власними.

 

• Якщо на коливальну систему періодично діє змінна сила, то в системі відбуваються вимушені коливання. Частота вимушених коливань дорівнює частоті змушувальної сили. Якщо частоти змушувальної сили і коливань самої системи однакові, настає резонанс — зростання амплітуди вимушених коливань.

 

• Для одержання незатухаючих коливань зовнішня сила не обов'язково має діяти безперервно. Це так звані автоколивання. Найпростішим прикладом одержання таких коливань, є гойдалка.

Умови виникнення автоколивань:

а) потрібно мати систему, в якій можливі вільні коливання (гойдалка);

б) для поповнення втрат енергії у системі має бути зовнішнє джерело енергії (людина);

в) має існувати пристрій, що передає енергію від зовнішнього джерела до коливної системи (руки людини);

г) треба узгоджувати роботу передавального пристрою з коливаннями системи (у прикладі з гойдалкою людина спостерігає за коливанням гойдалки, і в потрібні моменти підштовхує її).
Остання функція в техніці дістала назву зворотного зв'язку.

• Поширення коливань у пружному середовищі називають хвильовим процесом. З хвилею переноситься енергія, відбувається поширення енергії у просторі від джерела коливань. Хвилі бувають поздовжні і поперечні.

• Звукові коливання: 16—20 000 Гц; інфразвукові коливання: менше 16 Гц; ультразвукові коливання: понад 20 000 Гц (20 кГц).




Поделиться с друзьями:


Дата добавления: 2014-01-06; Просмотров: 1635; Нарушение авторских прав?; Мы поможем в написании вашей работы!


Нам важно ваше мнение! Был ли полезен опубликованный материал? Да | Нет



studopedia.su - Студопедия (2013 - 2025) год. Все материалы представленные на сайте исключительно с целью ознакомления читателями и не преследуют коммерческих целей или нарушение авторских прав! Последнее добавление




Генерация страницы за: 0.012 сек.