Студопедия

КАТЕГОРИИ:


Архитектура-(3434)Астрономия-(809)Биология-(7483)Биотехнологии-(1457)Военное дело-(14632)Высокие технологии-(1363)География-(913)Геология-(1438)Государство-(451)Демография-(1065)Дом-(47672)Журналистика и СМИ-(912)Изобретательство-(14524)Иностранные языки-(4268)Информатика-(17799)Искусство-(1338)История-(13644)Компьютеры-(11121)Косметика-(55)Кулинария-(373)Культура-(8427)Лингвистика-(374)Литература-(1642)Маркетинг-(23702)Математика-(16968)Машиностроение-(1700)Медицина-(12668)Менеджмент-(24684)Механика-(15423)Науковедение-(506)Образование-(11852)Охрана труда-(3308)Педагогика-(5571)Полиграфия-(1312)Политика-(7869)Право-(5454)Приборостроение-(1369)Программирование-(2801)Производство-(97182)Промышленность-(8706)Психология-(18388)Религия-(3217)Связь-(10668)Сельское хозяйство-(299)Социология-(6455)Спорт-(42831)Строительство-(4793)Торговля-(5050)Транспорт-(2929)Туризм-(1568)Физика-(3942)Философия-(17015)Финансы-(26596)Химия-(22929)Экология-(12095)Экономика-(9961)Электроника-(8441)Электротехника-(4623)Энергетика-(12629)Юриспруденция-(1492)Ядерная техника-(1748)

Выбор измерительных трансформаторов

ЛЕКЦИЯ 3.

 

Трансформаторы тока выбираются:

по напряжению установки Uном > Uсет. ном;

длительному току Iном > Iнорм. расч ;

Номинальный ток должен быть как можно ближе к рабочему току установки, так как недогрузка первичной обмотки приводит к увеличению погрешностей;

по конструкции и классу точности;

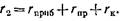
по электродинамической стойкости:

где — ударный ток к. з. по расчету;— кратность электро­динамической стойкости по каталогу;ном — номинальный первич­ный ток трансформатора тока.

Электродинамическая стойкость шинных трансформаторов тока определяется устойчивостью самих шин распределительного устрой­ства, вследствие этого такие трансформаторы по этому условию не проверяются;

по термической стойкости

где— тепловой импульс по расчету; — кратность термиче­ской стойкости по каталогу;— время термической стойкости по каталогу;

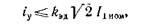
по вторичной нагрузке

где— вторичная нагрузка трансформатора тока; — номинальная допустимая нагрузка трансформатора тока в выбранном классе точности.

 

 

Рассмотрим подробнее выбор трансформаторов тока по вторич­ной нагрузке. Индуктивное сопротивление токовых цепей невелико, поэтомуВторичная нагрузка состоит из сопротивления

приборов" соединительных проводови переходного сопро­тивления контактов

Сопротивление приборовопределяется по выражению

 

где— мощность, потребляемая приборами; — вторичный

поминальный ток прибора.

Сопротивление контактов принимается 0,05 Ом при двух-трех приборах и 0,1 Ом при большем числе приборов. Сопротивление соединительных проводов зависит от их длины и сечения. Чтобы трансформатор тока работал в выбранном классе точности, необ­ходимо выдержать условие

откуда

Зная, можно определить сечение соединительных проводов

где — удельное сопротивление материала провода. Провода с медными жилами= 0,0175) применяются во вторичных цепях основного и вспомогательного оборудования мощных электростан­ций с агрегатами 100 МВт и более, а также на подстанциях с выс­шим напряжением 220 кВ и выше. В остальных случаях во вторич­ных цепях применяются провода с алюминиевыми жилами (=0,0283); — расчетная длина, зависящая от схемы соединения трансформаторов тока (рис. 4-98).

Длину соединительных проводов от трансформаторов тока до приборов (в один конец) можно принять для разных присоеди­нений приблизительно равной, м:

Линии 6—10 кВ к потребителям....................... 4—6

Все цепи РУ:

35 кВ............................................................... 60—75

110 кВ.............................................................. 75—100

220 кВ.............................................................. 100—150

330-500 кВ..................................................... 150—175

Синхронные компенсаторы................................ 25—40

 

В качестве соединительных проводов применяются много­жильные контрольные кабели с бумажной, резиновой, полихлор­виниловой или полиэтиленовой изоляцией в свинцовой, резиновой, полихлорвиниловой или специальной теплостойкой оболочке.

По условию прочности сечение не должно быть меньше 2,5 мм2 для алюминиевых жил и 1,5 мм2 для медных жил. Сечение больше 6 мм2 обычно не применяется.

В курсовом проекте следует предусматривать современные трансформаторы тока с отдельными обмотками для коммерческого учета электроэнергии и устанавливать их только в тех местах, где предполагается организация этого учета.

 

<== предыдущая лекция | следующая лекция ==>
Выбор электрических коммутационных аппаратов | Выбор трансформаторов напряжения
Поделиться с друзьями:


Дата добавления: 2014-01-06; Просмотров: 509; Нарушение авторских прав?; Мы поможем в написании вашей работы!


Нам важно ваше мнение! Был ли полезен опубликованный материал? Да | Нет



studopedia.su - Студопедия (2013 - 2026) год. Все материалы представленные на сайте исключительно с целью ознакомления читателями и не преследуют коммерческих целей или нарушение авторских прав! Последнее добавление




Генерация страницы за: 0.012 сек.