Студопедия

КАТЕГОРИИ:


Архитектура-(3434)Астрономия-(809)Биология-(7483)Биотехнологии-(1457)Военное дело-(14632)Высокие технологии-(1363)География-(913)Геология-(1438)Государство-(451)Демография-(1065)Дом-(47672)Журналистика и СМИ-(912)Изобретательство-(14524)Иностранные языки-(4268)Информатика-(17799)Искусство-(1338)История-(13644)Компьютеры-(11121)Косметика-(55)Кулинария-(373)Культура-(8427)Лингвистика-(374)Литература-(1642)Маркетинг-(23702)Математика-(16968)Машиностроение-(1700)Медицина-(12668)Менеджмент-(24684)Механика-(15423)Науковедение-(506)Образование-(11852)Охрана труда-(3308)Педагогика-(5571)Полиграфия-(1312)Политика-(7869)Право-(5454)Приборостроение-(1369)Программирование-(2801)Производство-(97182)Промышленность-(8706)Психология-(18388)Религия-(3217)Связь-(10668)Сельское хозяйство-(299)Социология-(6455)Спорт-(42831)Строительство-(4793)Торговля-(5050)Транспорт-(2929)Туризм-(1568)Физика-(3942)Философия-(17015)Финансы-(26596)Химия-(22929)Экология-(12095)Экономика-(9961)Электроника-(8441)Электротехника-(4623)Энергетика-(12629)Юриспруденция-(1492)Ядерная техника-(1748)

Показатели движения и использования основных средств




Со временем или в результате изменения технологии часть основных средств списывается с баланса и, наоборот, вновь приобретенные основные средства зачисляются на баланс предприятия.

О том, насколько быстро идет этот процесс, можно судить по коэффициентам выбытия и обновления основных средств:

где К выб – коэффициент выбытия основных средств; С выб – суммарная стоимость выбывших в течение года основных средств; С нг – первоначальная стоимость основных средств на начало года.

где К обн – коэффициент обновления основных средств; С введ - суммарная стоимость введенных за год основных средств; С кг – первоначальная стоимость основных средств на конец года.

Большие значения этих коэффициентов наблюдаются тогда, когда на предприятии идет интенсивная замена оборудования вследствие реконструкции или модернизации производства.

Для того чтобы судить, насколько эффективно используются основные средства, существует ряд показателей, среди которых важнейшими являются фондоемкость и фондоотдача.

Фондоотдача – это прямая величина, характеризующая уровень отдачи капитала.

Фондоотдачу рассчитывают по формуле

где Фо – фондоотдача; В – годовой выпуск продукции в стоимостном или натуральном выражении; С ср – среднегодовая стоимость основных средств.

Фондоемкость или коэффициент закрепления основных средств - это величина обратная показателю фондоотдачи. Ее определяют по формуле

где Фе - фондоемкость единицы продукции.

Зная фондоемкость продукции, можно рассчитать потребность в основных средствах.

Фондоемкость и фондоотдачу относят к обобщающим показателям. Кроме обобщающих, существуют частные показатели эффективности использования основных средств, которые характеризуют использование отдельных групп основных средств. Важнейшими из них являются коэффициенты использования оборудования. К ним относят коэффициенты экстенсивного и интенсивного использования оборудования, а также интегральный коэффициент.

Коэффициент экстенсивного использования оборудования показывает использование его во времени. Различают коэффициенты использования календарного и режимного фонда времени.

Календарный фонд составляет 365 ´ 24 = 8760 ч. Режимное время зависит от характера производственного процесса. Для непрерывных процессов оно равно календарному, для прерывных – календарному за минусом выходных и праздничных дней.

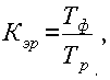
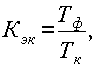
Коэффициенты использования календарного и режимного времени определяются по следующим формулам:

где Кэк – коэффициент использования календарного времени; Тф – фактическое время работы оборудования; Тк – календарный фонд;

где Кэр – коэффициент использования режимного времени; Треж - режимный фонд.


Коэффициент интенсивного использования оборудования отражает уровень использование его по производительности:

где Ки – коэффициент интенсивного использования оборудования; Пт производительность фактическая; Пт – производительность по технической норме.

Интегральный коэффициент – характеризует использование оборудования как по времени, так и по производительности:

где Кэ – коэффициент экстенсивного использования оборудования; Ки – коэффициент интенсивного использования оборудования.

Эффективность функционирования предприятия в целом в большой степени зависит от уровня использования его основных средств. Не меньшую роль в деятельности предприятия играют и нематериальные активы.

Фондовооруженность -стоимость ОПС, приходящаяся на 1 рабочего:

где ч - число рабочих в первую смену, чел.

 

Контрольные вопросы:

1. Что такое имущество предприятия?

2. Назовите состав имущества предприятия.

3. Назовите виды капитала.

4. Какой капитал называется основным?

5. Что такое уставный капитал?

 

Модуль 3.2 Оборотные средства предприятия и их использование

Вопросы к рассмотрению:

1. Оборотные средства и их состав

2. Источники пополнения оборотных средств

3. Показатели использования оборотных средств




Поделиться с друзьями:


Дата добавления: 2014-01-06; Просмотров: 309; Нарушение авторских прав?; Мы поможем в написании вашей работы!


Нам важно ваше мнение! Был ли полезен опубликованный материал? Да | Нет



studopedia.su - Студопедия (2013 - 2026) год. Все материалы представленные на сайте исключительно с целью ознакомления читателями и не преследуют коммерческих целей или нарушение авторских прав! Последнее добавление




Генерация страницы за: 0.008 сек.