Студопедия

КАТЕГОРИИ:


Архитектура-(3434)Астрономия-(809)Биология-(7483)Биотехнологии-(1457)Военное дело-(14632)Высокие технологии-(1363)География-(913)Геология-(1438)Государство-(451)Демография-(1065)Дом-(47672)Журналистика и СМИ-(912)Изобретательство-(14524)Иностранные языки-(4268)Информатика-(17799)Искусство-(1338)История-(13644)Компьютеры-(11121)Косметика-(55)Кулинария-(373)Культура-(8427)Лингвистика-(374)Литература-(1642)Маркетинг-(23702)Математика-(16968)Машиностроение-(1700)Медицина-(12668)Менеджмент-(24684)Механика-(15423)Науковедение-(506)Образование-(11852)Охрана труда-(3308)Педагогика-(5571)Полиграфия-(1312)Политика-(7869)Право-(5454)Приборостроение-(1369)Программирование-(2801)Производство-(97182)Промышленность-(8706)Психология-(18388)Религия-(3217)Связь-(10668)Сельское хозяйство-(299)Социология-(6455)Спорт-(42831)Строительство-(4793)Торговля-(5050)Транспорт-(2929)Туризм-(1568)Физика-(3942)Философия-(17015)Финансы-(26596)Химия-(22929)Экология-(12095)Экономика-(9961)Электроника-(8441)Электротехника-(4623)Энергетика-(12629)Юриспруденция-(1492)Ядерная техника-(1748)

Динамика численности популяций человека

Половая структура. Человеческая популяция является двуполой, соотношение полов в ней близко к 1: 1, что закреплено генетически. Тем не менее, мальчиков рождается приблизительно на 5% больше, чем девочек. Однако поскольку смертность во всех возрастах у мужского пола выше, чем у женского, эти различия к возрасту 20 – 25 лет сначала нивелируются, а в пожилых возрастах уже доминируют женщины.

Различия в смертности между полами нельзя полностью объяснить повышенной смертностью мужчин в результате различных социальных факторов. Например, мальчики чаще гибнут от различных несчастных случаев, чем девочки, мужчины, как правило, выполняют более тяжелую и опасную работу, чем женщины, они чаще гибнут в военных конфликтах, криминальных разборках и т.п. Даже среди новорожденных младенцев смертность мальчиков в первый месяц жизни выше, чем девочек. Например, в США на каждую тысячу новорожденных каждого пола в первый месяц жизни умирают 10 мальчиков и 8 девочек

Имеются данные, что соотношение полов у человека может изменяться в достаточно широких пределах под воздействием внешних факторов. Например, в гаремах турецких султанов на 10 девочек рождалось 14 мальчиков, что статистически достоверно отличалось от соотношения 1: 1. Вероятно, это представляет собой регуляторный механизм, восполняющий «недостаток» мужского пола.

До самого последнего времени люди размножались двуполым размножением. С развитием науки и медицины стали использовать такую его суррогатную форму, как искусственное оплодотворение.

Клонирование млекопитающих, в т.ч. и человека, является формой бесполого размножения, характерного для растений.

В последние годы получила развитие практика планирования пола будущего ребенка, при этом большинство родителей хотят иметь мальчиков. Пока эта дорогостоящая процедура доступна лишь богатым людям, однако если она получит широкое распространение это может привести к дефициту женщин в человеческой популяции.

 

Пространственная, или хорологическая структура характеризует распределение особей в пределах популяционного ареала. Каждая локальная человеческая популяция имеет определенный ареал. Его границы в прежние исторические эпохи определялись естественными, преимущественно, географическими границами, -- водными преградами между материками и островами, горные хребты, пустыни и т.д. Однако в качестве изолирующих механизмов выступали также экономические и социальные факторы, как слаборазвитые средства транспорта, расовые, национальные и религиозные предрассудки. Однако по мере развития общества и прогресса техники во все большей степени ускорялся процесс слияния мелких локальных популяций человека в более крупные.

Этот процесс в Европе закончился к началу индустриальной эпохи (середина XIX века), когда завершился процесс образования относительно небольшого числа крупных национальных государств из многочисленных мелких полунезависимых городов-государств, графств и герцогств и княжеств. Каждая нация в пределах национального государства представляла собой единую человеческую популяцию. Наиболее эффективными изолирующими барьерами между такими «нациями-популяциями», стали государственные границы.

Однако в ареалах многих крупных популяций существуют устойчивые мелкие субпопуляции, которые на протяжении целых исторических эпох не смешивались с крупными популяциями. Их примерами являлись общины евреев, цыган, каста неприкасаемых в Индии, афроамериканцы и индейцы в США, члены ряда религиозных общин и сект – староверы в России, мормоны в США, зороастрийцы на Ближнем Востоке и т.д. Изолирующими факторами в данном случае являлись религиозные, расовые и национальные предрассудки.

В постиндустриальную эпоху границы между многими государствами стали гораздо более прозрачными, особенно в странах Европейского союза, между США и Канадой. Значительно ослабевает влияние различных предрассудков, затрудняющих межобщинные браки. Это приводит к размыванию границ между отдельными «нациями-популяциями».

Численность человеческих популяций и плотность людей в пределах популяционных ареалов определяется многочисленными факторами – географическими, климатическими, историческими, экономическими, социальными и др.

В популяциях других видов живых организмов распределение может быть равномерным и неравномерным, а последнее, в свою очередь, -- случайным и агрегированным.

Чаще всего характер распределения людей в их популяционном ареале приближается к агрегированному, поскольку большинство населения сосредоточено в крупных городах, где больше возможностей получить высокооплачиваемую работу. Плотность населения во многих крупных городах достигает 10 000 человек на 1 км2 и даже более. В то же время, в сельской местности плотность населения намного ниже.

Высокая емкость городской среды для человеческого населения обусловлена высокими значениями потоков энергии. Суммарный поток энергии на единицу площади города на несколько порядков выше, чем в естественных экосистемах и агоэкосистемах.

 

Например, в самых продуктивные естественных экосистемах (коралловые рифы, влажные тропические леса) поток энергии не превышает 10 – 40 тыс. ккал м-2 год-1. При этом вся энергия представляет собой энергию солнечного излучения, используемая для фотосинтеза.

В самых высокопродуктивных агроэкосистемах (выращивание кукурузы, риса и сахарного тростника) поток энергии не превышает 40 – 50 тыс. ккал м-2 год-1. Часть этой энергии представляет собой солнечную энергию, а остальная

В то же время, поток энергии в Нью-Йорке оценивается в 100 тыс. – 3 млн ккал м-2 год-1. При этом основную долю этого потока составляет не солнечная энергия, как в естественных экосистемах и агроэкосистемах, а энергия ископаемого топлива.

 

Размерно-возрастная структура популяции человека выражает долю особей того или иного размера и (или) возраста в ее общей численности. Она обычно изображается в виде размерных или возрастных диаграмм или таблиц. У выборок людей периодически определяют такие антропометрические параметры, как рост, вес, ширина в плечах, длина конечностей. Эти данные имеют не только научное и медицинское, но и большое практическое значение. На их основе швейная и обувная промышленность определяют, какое количество одежды и обуви того или иного размера нужно произвести.

Кстати, что основы биологической статистики были заложены в середине XIX века именно при анализе изменчивости по росту у мужчин, призываемых на военную службу.

Возрастная структура человеческой популяции может быть изображена табличным или графическим способом. Пример фрагмента демографической таблицы приведен ниже.

 

Таблица возрастной структуры населения

 

Возрастная группа, годы Количество Человек Число лиц мужского пола Число лиц женского пола
0 – 1      
1 – 4      
15 – 19      
20 – 24      
35 – 39      
75 – 79      
80 – 84      
> 84      
Суммарные значения      

 

Возрастную структуру человеческой популяции более наглядно можно представить графически в виде особых диаграмм, называемых возрастными пирамидами.

По оси абсцисс на такой пирамиде, разделенной вертикальной осью на левую «мужскую» и правую «женскую» стороны, отложены проценты от общей численности популяции отдельно для мужчин и женщин определенного возраста. По оси ординат отложены возраста -- в порядке возрастания или годы рождения – в порядке убывания.

Таким образом, возрастная пирамида образована наложенными друг на друга вертикальными блоками, ширина каждого из них соответствует доле в процентах каждого возраста в общей численности популяции.

По виду возрастной пирамиды можно сделать целый ряд интересных выводов. У популяций, численность которых быстро растет, основание пирамиды широкое, но с увеличением возраста она быстро сужается. Такие возрастные пирамиды характерны для большинства бедных развивающихся стран, например, Коста-Рики.

 

 

 

У стационарных популяций (численность которых не изменяется) доли отдельных возрастов (за исключением преклонных) в общей численности популяции достаточно близки. Поэтому такая возрастная пирамида имеет узкое основание и больше напоминает высокую колонну с заостренной вершиной. Этот тип возрастных пирамид характерен для большинства стран Западной Европы, например, Швеции.

Если население страны претерпевало различные социальные катаклизмы – тяжелые войны, голод, массовые репрессии и т.д., то на боковых гранях пирамиды могут быть «зазубрины», соответствующими снижениям рождаемости в эти периоды.

Классическим примером является возрастная пирамида населения Франции на 1 января 1967 года (рис. 1). Пониженная численность мужского населения 1880-1890-х годов рождения по сравнению с женским – результат их массовой гибели в Первой мировой войне. «Талии» 1915-1916 гг. и 1940-1941 гг. рождения – результат снижения рождаемости в годы Первой и Второй мировых войн. Наибольшие потери во Второй мировой войне во Франции пришлись на мужчин 1906 – 1926 гг. рождения. Увеличение численности возрастов 1919 -1920 и 1946 – 1947 гг. – отражение резкого скачка рождаемости после массовой демобилизации мужчин из армии.

 

Рис. 1. Возрастная пирамида Франции на 1967 г.

 

 

Аналогичный неправильный характер имеют возрастные пирамиды Беларуси и России.

Возрастная пирамида для России на 01.01.1996 г. [цит. по С.П.Капице, ]   1. Снижение рождаемости в годы Первой мировой и Гражданской войны. 2.Компенсационное повышение рождаемости после Гражданской войны. 3. Коллективизация, раскулачивание (1928 г.) и голод 1933 г. 4. Запрещение абортов в 1936 г. и наталистическая политика. 5. Падение рождаемости в Великую Отечественную войну. 6. Рост рождаемости после войны и в "Хрущевскую оттепель". 7. «Демографическое эхо» Великой Отечественной войны. 8. Новая семейная политика и повышение рождаемости при М.С.Горбачеве (в том числе положительное влияние «сухого закона»). 9. Понижение рождаемости в 1990-е годы («лихие девяностые») и «второе эхо войны».  

 

Возрастная пирамида населения Беларуси

 

 

Часто особей в популяциях (особенно женского пола) делят на три возраста: предрепродуктивный), репродуктивный и пострепродуктивный. У большинства видов организмы гибнут вскоре после окончания размножения, поэтому пострепродуктвный возраст у них очень короткий.

У людей продолжительность этих возрастов вполне сравнима. В демографии предрепродуктивным возрастом женщин считается возраст до 15 лет, репродуктивным – 15 – 49 лет и пострепродуктивным – свыше 50 лет.

Таким образом, у женщин в возрасте 100 лет и более, постпепродуктивный возраст составляет бóльшую половину жизни.

Наибольшая средняя продолжительность жизни отмечена в Японии, Исландии и США – около 78 – 79 лет. Средняя продолжительность жизни женщин на несколько лет выше, чем мужчин. Например, в Японии среди лиц в возрасте более 100 лет женщины составляют 85%.

В целом, средняя продолжительность жизни в развивающихся странах ниже, чем в высоко развитых, однако максимальная продолжительность жизни отдельных индивидуумов в большинстве стран различается незначительно.

 

Кривые выживания одновозрастных особей отдельных видов живых организмов, как известно из курса общей экологии, можно подразделить на три основных типа.

Для человека характерна кривая выживания типа I. Она соответствует ситуации, при которой смертность очень мала на протяжении большей части жизненного цикла, но после превышения некоторого возраста, равного средней продолжительности жизни, резко возрастает и все особи погибают за очень короткий срок.

Кривая выживания для человека представляет сильно выпуклую кривую. Поскольку средняя продолжительность жизни женщин практически во всех человеческих популяциях выше, чем мужчин, кривая выживания для женщин несколько сдвинута вверх и вправо от аналогичной кривой для мужчин.

 

 

«Классическая» кривая выживания типа I характерна только для населения стран с хорошо развитой системой здравоохранения. Для населения большинства развивающихся государств с недостаточно развитой системой здравоохранения характерна т.наз. кривая промежуточного типа 1a. Для нее характерна высокая детская смертность (в возрасте до года), затем ее относительное замедление в средних возрастных группах и вновь увеличение в старших возрастах.

В целом, средняя продолжительность жизни в развивающихся странах ниже, чем в высоко развитых, однако максимальная продолжительность жизни отдельных индивидуумов в большинстве стран различается незначительно.

 

Интересное исключение представляют данные по кривым выживания мужчин и женщин, принадлежавшим к богатым слоям общества, в Римской империи в I – IV веках н.э. Они получены в результате анализа эпитафий (надписей на могильных плитах) на кладбищах в столице империи – Рима и одной из ее провинций – Северной Африке. В любом возрасте выживаемость мужчин и женщин в провинции была значительно выше, чем в Риме. Наклон кривой выживания женщин в Риме резко увеличивается в начале детородного возраста (около 20 лет), что свидетельствует о высокой смертности женщин при родах. В результате этого выживаемость мужчин в столице выше, чем женщин. Максимальная продолжительность жизни в столице – чуть менее 100 лет, в провинции – около 110 лет.

Кривые выживания обоих полов в столице более близки к кривым типа II, для которых характерна относительно постоянная смертность в течение всей жизни.

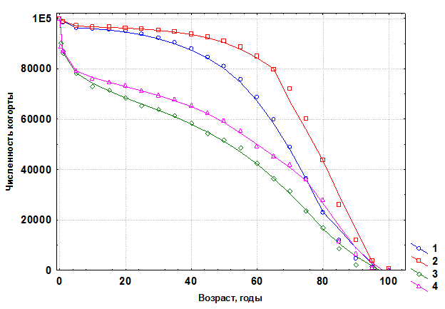
Рисунок 1. Кривые выживания в странах с низкой (1, 2) и очень высокой детской смертностью (3, 4). 1. СССР; женщины; 2. СССР (1980 г.), женщины; 3. Развивающаяся страна, женщины; 4. Развивающаяся страна, мужчины.

 

Кривые выживания в когортах в Римской империи на примере столицы империи г. Рима и одной из североафриканских провинций. I – II века н.э.  

 

 

Численность человеческой популяции, как и популяции любого вида живых организмов, практически никогда не остается постоянной. Она постоянно претерпевает изменения, вызванные многочисленными естественными и социальными факторами. В самом общем виде изменения численности человеческой популяции за единицу времени (ΔN/Δt) определяются следующим образом:

ΔN/Δt = (В + im) – (M + em),

где:

В - рождаемость, или количество младенцев, произведенных имеющимися в популяции взрослыми женщинами;

D – cмертность, или количество погибших индивидуумов в популяции, независимо от причины их смерти -- старость, болезни, гибель от несчастных случаев, в военных конфликтах, природных катастрофах и т.д.;

im – иммиграция, или приток в популяцию индивидуумов из других популяций;

emэмиграция, или отток индивидуумов из данной популяции в другие популяции.

Все эти параметры имеют размерность «особь . время-1».

 

В популяциях многих видов живых организмов величинами im и em можно пренебречь. В таком случае изменения численности популяции будут определяться разностью между величинами рождаемости и смертности:

ΔN/Δt = В – M,

При В = M численность популяции остается постоянной, поскольку ΔN/Δt = 0, при В > M она возрастает, а при В < M – снижается.

 

Однако в большинстве человеческих популяций миграционные процессы вносят большой вклад в изменение их численности, поэтому их необходимо учитывать.

 

При изучении динамики численности населения используются следующие показатели:

Рождаемость – процесс возобновления населения за счет новых особей. В статистике – частота рождений в определенной группе населения. Уровень рождаемости определяется следующими показателями:

Общий коэффициент рождаемости (ОКР) -- число родившихся за год младенцев в расчете на 1000 человек;

 

Коэффициент рождаемости (Kf) – число родившихся младенцев (Nb) за год в расчете на 1000 женщин репродуктивного возраста – от 15 до - 49 лет;

Средний коэффициент рождаемости – среднее число детей, которое рождает «среднестатистическая» женщина в течение всей жизни. Этот показатель можно определить из демографических таблиц.

Смертность – процесс убыли населения вследствие прекращения жизнедеятельности отдельных индивидуумов. В медицинской статистике широко используется такой показатель, как «общий коэффициент смертности» (ОКС), который определяется как число умерших за год на 1 тысячу населения. Различают общую и детскую смертность (в возрасте до года).

 

Продолжительность жизни – длительность существования индивидуума (его онтогенез), т.е промежуток времени от рождения до смерти. Различают физиологическую, экологическую и среднюю продолжительность жизни. Физиологическая – максимальная для особей при оптимальных условиях существования, лимитируемая лишь генетически. Экологическая продолжительность жизни характеризует предельный возраст человека в естественных условиях и зависит от внешних факторов. Средняя – возраст, который в среднем достигают индивидуумы в данной популяции.

Естественный прирост населения (ЕПН) – разность между общим коэффициентом рождаемости и общим коэффициентом смертности, т.е. ЕПН = ОКР – ОКС. ЕПН соответствует изменению численности населения за год в расчете на 1000 человек. Он может иметь положительное, отрицательное и нулевое значение. Чтобы выразить ЕПН в процентах, полученное значение естественного прироста делят на 10.

Миграционный прирост населения (МПН) – разность между количеством людей, прибывших в эту популяцию и ее покинувших за год в расчете на 100 человек.

Общий прирост населения (ОПН) – сумма естественного и миграционного приростов, т.е.

 

ОПН = ЕПН + МПН

Соотношения между обоими компонентами ОПН в разных государствах значительно различаются. Например, численность населения во всех государствах Западной Европы давно сохряняется на постоянном уровне. Здесь отрицательный ЕПН компенсируется за счет счет положительного МПН, обусловленного миграцией населения из более бедных стран. Напротив, в развивающихся государствах Азии и Африки имеют место положительные значения ОПН несмотря на отрицательные МПН. В то же время, в США имеют место положительные значения ЕПН и МПН.

 

Величина ЕПН определяет тенденции изменения численности популяции – увеличение, постоянство или уменьшение. Величины ЕПН представляют собой разность между рождаемостью, которые существенно изменяются с возрастом.

 

Целостное представление о них дают демографические таблицы. Первую попытку их составления предпринял английский демограф Джон Грант для Лондона еще в середине XVII века. Однако он потерпел неудачу, поскольку рост населения английской столицы происходил преимущественно за счет миграции из сельской местности, а не за счет естественного прироста.

Первую таблицу, близкую к современным, составил в 1693 г. для прусского города Бреслау (ныне польский Вроцлав) английский астроном Э.Галлей, описавший знаменитую комету.

Демографические таблицы бывают двух видов – статические и когортные.

Такие таблицы часто составляют отдельные таблицы для женщин и мужчин. В таком случае в таблицах для женщин в соответствующих графах приводится среднее число дочерей, родившихся у матерей данного возраста, а в таблицах для мужчин -- число сыновей, появившихся у отцов данного возраста. Однако вполне возможно объединить оба пола в одной таблице.

 

В статистических демографических таблицах приводятся величины рождаемости и смертности для различных возрастов. Они составляются на определенный год и потому представляют временнόй срез популяции. Пример такой таблицы для расчета ЕПН приведен ниже.

Статическая демографическая таблица населения на 2000 год

Возрастная группа Общее число человек Общее число новорож- денных Общее число умерших ОКР, на 1000 человек ОКС, на 1000 человек ЕПН, на 1000 человек
0 –1 17 000       9,41 -9,41
1 – 4 69 000       0,49 -0,49
5 – 9 88 000       0,25 -0,25
10 – 14 98 000       0,23 -0,23
15 – 19 116 000     27,6 0,49 +27,11
20 – 24 114 000     59,6 0,54 +59,11
45 – 49 62 000     10,5 2,67 +7,81
50 – 54 61 000       4,21 -4,18
65 – 69 41 000       16,6 -16,07
70 – 74 33 000       25,5 -25,86
>74 24 000   10 003   416,8 -416,8
Суммарныезначения 723 000 10 650 12 306 14,7 -17.2 -2,5

 

Аналогичные таблицы составляются для расчетов миграционного прироста населения. В таком случае в ней вместо данных рождаемости и смертности приводятся данные, характеризующие число людей, прибывающих в эту популяцию и покидающих ее.

 

Значение ЕПН для каждого возраста представляет собой увеличенное в 1000 раз отношение:

 

ЕПП = (Nd – No)/Δt No = ΔN/Δt No

где - No – начальная численность данной возрастной группы; Nd – ее численность через год, Δt – временнóй промежуток, равный одному году, т.е. Δt = 1.

Легко видеть, что ЕПП/1000 имеет размерность “год-1”, т.е. своему смыслу оно очень близко к удельной скорости роста численности (r) данной возрастной группы за год.

Отсюда усредненные значения ЕПП для всей популяции можно использовать для расчетов экспоненциальных уравнений роста ее численности:

Nt = Noert

 

Когортные таблицы представляют данные для отдельных когорт, т.е. группы одновозрастных индивидуумов, как правило, одного гора рождения, если имеются данные по изменению численности данной когорты за весь период ее существования. В когортных таблицах данные по численности удобнее представлять не в абсолютных, а в относительных единицах. Пример когортной таблицы представлен ниже.

 

Когортная демографическая таблица

Возрастной интервал когорты, годы (х) Численность, lx Число детей за интервал на одного человека, mх lxmx xlx mx
0 - 14 1.0      
15 – 25 0.97   0,97 19,4
26 – 35 0.95 1,2 1,14 34,2
36 – 45 0.90 0,8 0,72 28,8
46 – 55 0.84 0,2 0,17 8,5
56 – 65 0.76      
66 – 75 0.65      
76 – 85 0,10      
Суммарные показатели 3,0 90,9

 

Из когортной таблицы возможно рассчитать чистую скорость размножения (Ro), или среднее число потомков в расчете на один индивидуум когорты (независимо от пола) за всю жизнь. Расчет Ro производится согласно:

Ro = Σ lxmx / x0

 

где - x0 начальная численность когорты, которая в данном случае принята за единицу.

Если Ro > 1, то численность популяции растет, при Ro = 1 она остается постоянной (стационарная популяция), а при Ro < 1 -- снижается.

Для нашей гипотетической популяции Ro = 3,0: 1 = 3,0, поэтому ее численность будет расти.

Время генерации (T), или средняя продолжительность одного поколения по данным этой таблицы рассчитывается согласно:

 

Т = Σx lx mx / Σ lxmx

 

В нашем случае Т = 90,9: 3,0 = 30,3 года.

Допустим, что численность популяции за время одной генерации растет экспоненциально. Тогда:

 

Nt = N0erT, или Nt /N0 = erT

Однако Nt/N0 является отношением численности особей в двух последовательных поколениях, т.е. Ro. Тогда:

 

Ro = erT

 

Логарифмируя обе части уравнения, получим lnRo = rT, тогда:

r = lnRo/T  

Для нашей гипотетической популяции r = ln 3: 30,3 = 0,0363 год-1.

Если в популяции со временем не происходит существенных изменений возрастной рождаемости и смертности данные, полученные по статистической и когортной таблицам практически совпадают.

Если нет данных по когортному составу населения, значение r можно определить по следующей приближенной формуле:

 

__ ln aE__

<== предыдущая лекция | следующая лекция ==>
Основные свойства человеческой популяции | Изменения численности человечества в историческом масштабе
Поделиться с друзьями:


Дата добавления: 2014-01-06; Просмотров: 1179; Нарушение авторских прав?; Мы поможем в написании вашей работы!


Нам важно ваше мнение! Был ли полезен опубликованный материал? Да | Нет



studopedia.su - Студопедия (2013 - 2026) год. Все материалы представленные на сайте исключительно с целью ознакомления читателями и не преследуют коммерческих целей или нарушение авторских прав! Последнее добавление




Генерация страницы за: 0.014 сек.