Студопедия

КАТЕГОРИИ:


Архитектура-(3434)Астрономия-(809)Биология-(7483)Биотехнологии-(1457)Военное дело-(14632)Высокие технологии-(1363)География-(913)Геология-(1438)Государство-(451)Демография-(1065)Дом-(47672)Журналистика и СМИ-(912)Изобретательство-(14524)Иностранные языки-(4268)Информатика-(17799)Искусство-(1338)История-(13644)Компьютеры-(11121)Косметика-(55)Кулинария-(373)Культура-(8427)Лингвистика-(374)Литература-(1642)Маркетинг-(23702)Математика-(16968)Машиностроение-(1700)Медицина-(12668)Менеджмент-(24684)Механика-(15423)Науковедение-(506)Образование-(11852)Охрана труда-(3308)Педагогика-(5571)Полиграфия-(1312)Политика-(7869)Право-(5454)Приборостроение-(1369)Программирование-(2801)Производство-(97182)Промышленность-(8706)Психология-(18388)Религия-(3217)Связь-(10668)Сельское хозяйство-(299)Социология-(6455)Спорт-(42831)Строительство-(4793)Торговля-(5050)Транспорт-(2929)Туризм-(1568)Физика-(3942)Философия-(17015)Финансы-(26596)Химия-(22929)Экология-(12095)Экономика-(9961)Электроника-(8441)Электротехника-(4623)Энергетика-(12629)Юриспруденция-(1492)Ядерная техника-(1748)

Лекция 4. Абсорбционная спектроскопия

Абсорбционная спектроскопия

Фотоколориметрические методы анализа

План:

1. Теоретические основы

2. Основные узлы приборов абсорбционной спектроскопии

 

1. Атом, ион или молекула, поглощая квант света, переходит в более высокое, энергетическое состояние. Вследствие поглощения излучения при прохождении его через слой вещества интенсивность излучения уменьшается и тем больше, чем выше концентрация светопоглащающего вещества.

Закон Бугера-Ламберта-Бера – основной закон светопоглощения связывает уменьшение интенсивности света, прошедшего через слой светопоглощающего вещества, с концентрацией вещества и толщиной слоя.

Уменьшение интенсивностисвета, прошедшего через раствор, характеризуется коэффициентом пропускания (или просто пропусканием) T:

 

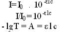
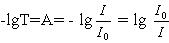
Т= I /I0, (4.1)

где I - интенсивность света, прошедшего через раствор, I0 - через растворитель. Взятый с обратным знаком логарифм Т называется оптической плотностью А (или поглощением):

 

(4.2)

Уменьшение интенсивности света при прохождении его через раствор подчиняется закону БЛБ:

 

или (4.3)

 

где ε – молярный коэффицент поглощения; l – толщина слоя, с – концентрация раствора.

Физический смысл молярного коэффицента поглощения становится ясным, если принять l =1 см, с =1моль/л, тогда А= ε. Следовательно, молярный коэффицент поглощения равен оптической плотности одномолярного раствора при толщине слоя 1 см.

А) Фотометрический и фотоэлектрические методы

Главным преимуществом фотометров или фотоэлектрических колориметров (ФЭК) является отсутствие стандартного раствора при каждом определении. Обычно готовят один раз серию стандартных растворов и составляют калибровочный график; содержание определяемого компонента находят по его светопоглощению и рассчитывают при помощи калибровочного графика. Наиболее совершенным прибором является спектрофотометр, где измеряется интенсивность поглощения света в отдельных узких участках спектра. Это увеличивает чувствительность определения и точности, так как калибровочный график остается прямолинейным на более широком участке концентраций по сравнению с определением на ФЭК. Поглощение можно измерять в УФ и ИК частях спектра.

 

 

Рис. 4.1

 

Б) Колориметрический метод

По этому методу визуально сравнивают окраску испытуемого раствора с окраской стандартного. Глаз очень хорошо отличает оттенки цветов, хуже интенсивность окраски. При визуальном определении можно только установить, когда два раствора окрашены одинаково.

2.Основными узлами приборов абсорбционной спектроскопии являются: источник света, монохроматизатор света, кювета с исследуемым веществом, рецептор (приемник света). Также сюда относится оптическая система, состоящая из линз, призм и зеркал, которые служат для создания параллельного пучка света, изменения направления и фокусировки света, а также система для уравнивания интенсивности световых потоков (диафрагмы, оптические клинья и т.д).

В приборах абсорбционной спектроскопии свет от источника освещения проходит через монохроматизатор и падает на кювету с исследуемым веществом Интенсивность монохроматического света, прошедшего через кювету, измеряется приемником света. Обычно определяют отношение интенсивностей монохроматического света, прошедшего через исследуемый раствор и через растворитель или специально выбранный раствор сравнения.

А) Источники света

Основные источники света это вольфрамовые лампы накаливания, газонаполненные лампы (водородная, ртутная), штифт Нернста и глобар. Штифт Нернста представляет собой столбик, спрессованный из оксидов редкоземельных элементов. При накаливании путем пропускания элекричекого тока он дает ИК-излучения в области 1.6-2.0 или 5.6-6.0 мкм. Глобар-штифт из карборунда SіС дает излучение в интервале 2,0-16,0мкм также при пропускании электрического тока.

Б) Монохроматизаторы – это устройства для получения света с заданной длиной волны. При конструировании монохроматизаторов используют разные оптические явления: поглощение света, интерференцию, дисперсию и.т.д. В качестве монохроматизаторов применяют светофильтры, призмы и дифракционные решетки.

<== предыдущая лекция | следующая лекция ==>
Лекция 3. Оптические методы анализа | Лекция 5-6
Поделиться с друзьями:


Дата добавления: 2014-01-06; Просмотров: 1227; Нарушение авторских прав?; Мы поможем в написании вашей работы!


Нам важно ваше мнение! Был ли полезен опубликованный материал? Да | Нет



studopedia.su - Студопедия (2013 - 2026) год. Все материалы представленные на сайте исключительно с целью ознакомления читателями и не преследуют коммерческих целей или нарушение авторских прав! Последнее добавление




Генерация страницы за: 0.014 сек.