Студопедия

КАТЕГОРИИ:


Архитектура-(3434)Астрономия-(809)Биология-(7483)Биотехнологии-(1457)Военное дело-(14632)Высокие технологии-(1363)География-(913)Геология-(1438)Государство-(451)Демография-(1065)Дом-(47672)Журналистика и СМИ-(912)Изобретательство-(14524)Иностранные языки-(4268)Информатика-(17799)Искусство-(1338)История-(13644)Компьютеры-(11121)Косметика-(55)Кулинария-(373)Культура-(8427)Лингвистика-(374)Литература-(1642)Маркетинг-(23702)Математика-(16968)Машиностроение-(1700)Медицина-(12668)Менеджмент-(24684)Механика-(15423)Науковедение-(506)Образование-(11852)Охрана труда-(3308)Педагогика-(5571)Полиграфия-(1312)Политика-(7869)Право-(5454)Приборостроение-(1369)Программирование-(2801)Производство-(97182)Промышленность-(8706)Психология-(18388)Религия-(3217)Связь-(10668)Сельское хозяйство-(299)Социология-(6455)Спорт-(42831)Строительство-(4793)Торговля-(5050)Транспорт-(2929)Туризм-(1568)Физика-(3942)Философия-(17015)Финансы-(26596)Химия-(22929)Экология-(12095)Экономика-(9961)Электроника-(8441)Электротехника-(4623)Энергетика-(12629)Юриспруденция-(1492)Ядерная техника-(1748)

Распределение концентрации неравновесных носителей заряда




Вследствие инжекции электронов в дырочный полупроводник возрастает их концентрация в приповерхностной области, что ведет к возникновению диффузии вдоль оси x. Диффундируя вглубь полупроводника электроны, встречаясь с дырками, рекомбинируют. Так как процесс рекомбинации носит вероятностный характер, то различные электроны, прежде чем рекомбинировать, успевают проникнуть вглубь полупроводника на различные расстояния. Вследствие этого, концентрация электронов оказывается распределенной неравномерно. Количество электронов, пересекающих в единицу времени единичную площадку, перпендикулярную направлению диффузии, пропорционально градиенту концентрации электронов, то есть:

. (1.26)

При инжекции дырок в электронный полупроводник количество дырок, диффундирующих через сечение x, определяется аналогичным образом, то есть:

, (1.27)

где Dn и Dp - коэффициенты диффузии электронов и дырок.

Поскольку электроны и дырки диффундируют в направлении убывания их концентрации, то это обстоятельство учитывается знаком минуса.

Для нахождения закона распределения избыточной концентрации вдоль оси x выделим внутри полупроводника объем, ограниченный сечениями x1 и x2, приняв площадь поперечного сечения равной 1 см2 (рис. 1.12). Через сечение x1 в соответствии с (1.26) за время dt проходит D n(x1,t) электронов:

, (1.28)

а через сечение x2 проходят D n (x2,t) электронов:

. (1.29)

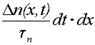
При этом часть электронов встречается с дырками и рекомбинирует. Количество рекомбинирующих электронов определяется временем жизни t n, интервалом времени dt и объемом dx:
.

Таким образом, изменение количества электронов в объеме dx за время dt можно представить в виде:

(1.30)

Последнее уравнение можно записать в виде:

. (1.31)

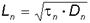
Избыточные носители заряда, диффундируя в объеме полупроводника, за время своей жизни t n перемещаются в среднем на расстояние .

Следовательно:

. (1.32)

Полученное уравнение называют уравнением непрерывности для электронов. Оно учитывает диффузионное движение носителей заряда и их рекомбинацию. Интегрируя это уравнение при известных начальных и граничных условиях можно определить D n(x,t).

В случае непрерывной инжекции, поддерживающей в сечении xp постоянное значение избыточной концентрации n(xp) процессы не будут зависеть от времени. Тогда уравнение (1.32) можно записать в виде:

. (1.33)

Решение этого уравнения имеет вид:

.

Определим граничные условия: при x=xp получаем D n (x)= D n (xp), при x= Ґ получаем D n (x)=0. Величина D n (xp) обычно известна. Следовательно,

C1=0, а

.

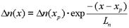
Таким образом, распределение избыточной концентрации вдоль оси x характеризуется уравнением:

, (1.34)

из которого следует, что диффузионная длина Ln представляет собой расстояние, на котором избыточная концентрация уменьшается в е раз. (Рис. 1.12,б).

 

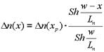
В полупроводниковых приборах часто встречаются такие случаи, когда инжекция осуществляется в тонкую область толщиной w< Ln. В этом случае решение уравнения (1.34) имеет вид:

. (1.35)

При условии w<<Ln тригонометрические функции можно заменить их аргументами, тогда:

, (1.36)

то есть распределение избыточных носителей становится линейным.

Распределение избыточной концентрации дырок вдоль оси x имеет такой же характер, как и распределение концентрации электронов, но при этом диффузии дырок не возникает, так как при смещении дырок в направлении оси x отрицательный заряд инжектированных электронов оказывается не скомпенсированным положительным зарядом неравновесных дырок, вследствие чего возникает внутреннее электрическое поле, препятствующее диффузии дырок. Формально можно считать, что диффузионное движение дырок происходит, но одновременно с этим происходит встречное движение дырок, обусловленное возникшим внутренним полем. Эти встречные потоки дырок уравновешивают друг друга, поэтому реального движения дырок не происходит.
Аналогичное явление имеет место в полупроводниках с неравномерным распределением примесей. На рис. 1.13 представлен случай, когда концентрация акцепторной примеси NA(x) убывает в направлении оси x. Полагаем приблизительно, что все акцепторы ионизированы и, пренебрегая наличием в полупроводнике электронов, можно считать, что p(x)» NA(x), то есть закон распределения концентрации дырок такой же, как закон распределения акцепторов. В этих условиях неравномерное распределение концентрации дырок вдоль оси x должно вызвать диффузию дырок, в результате чего снизится их концентрация у поверхности и возрастет их концентрация в глубине полупроводника, следовательно, отрицательные заряды акцепторов окажутся не скомпенсированными и возникнет внутреннее электрическое поле, препятствующее диффузии дырок. Если в такой полупроводник через сечение xp инжектировать электроны, то внутреннее поле для этих электронов окажется ускоряющим. В этом случае перемещение электронов в дырочные области будет происходить как за счет диффузии, так и под действием сил внутреннего поля.




Поделиться с друзьями:


Дата добавления: 2014-01-06; Просмотров: 375; Нарушение авторских прав?; Мы поможем в написании вашей работы!


Нам важно ваше мнение! Был ли полезен опубликованный материал? Да | Нет



studopedia.su - Студопедия (2013 - 2025) год. Все материалы представленные на сайте исключительно с целью ознакомления читателями и не преследуют коммерческих целей или нарушение авторских прав! Последнее добавление




Генерация страницы за: 0.011 сек.