Студопедия

КАТЕГОРИИ:


Архитектура-(3434)Астрономия-(809)Биология-(7483)Биотехнологии-(1457)Военное дело-(14632)Высокие технологии-(1363)География-(913)Геология-(1438)Государство-(451)Демография-(1065)Дом-(47672)Журналистика и СМИ-(912)Изобретательство-(14524)Иностранные языки-(4268)Информатика-(17799)Искусство-(1338)История-(13644)Компьютеры-(11121)Косметика-(55)Кулинария-(373)Культура-(8427)Лингвистика-(374)Литература-(1642)Маркетинг-(23702)Математика-(16968)Машиностроение-(1700)Медицина-(12668)Менеджмент-(24684)Механика-(15423)Науковедение-(506)Образование-(11852)Охрана труда-(3308)Педагогика-(5571)Полиграфия-(1312)Политика-(7869)Право-(5454)Приборостроение-(1369)Программирование-(2801)Производство-(97182)Промышленность-(8706)Психология-(18388)Религия-(3217)Связь-(10668)Сельское хозяйство-(299)Социология-(6455)Спорт-(42831)Строительство-(4793)Торговля-(5050)Транспорт-(2929)Туризм-(1568)Физика-(3942)Философия-(17015)Финансы-(26596)Химия-(22929)Экология-(12095)Экономика-(9961)Электроника-(8441)Электротехника-(4623)Энергетика-(12629)Юриспруденция-(1492)Ядерная техника-(1748)

Аналитические выражения второго закона термодинамики. Постулаты второго закона термодинамики

Постулаты второго закона термодинамики.

1. Постулат Клаузиуса – «Не может быть перехода тепла от менее нагретого к более нагретому телу».

2. Постулат Томсона – «Теплота наиболее холодного тела не может служить источником работы».

Теорема Карно-Клаузиуса: «Все обратимые машины, совершающие цикл Карно с участием одного и того же нагревателя и одного и того же холодильника, имеют одинаковый коэффициент полезного действия, независимо от рода рабочего тела».

1. Классическое уравнение второго закона термодинамики

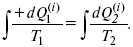
где Q /Т – приведенное тепло;

Q11 приведенное тепло нагревателя;

Q2 / T2 приведенное тепло холодильника;

Q11= Q2 / T2 равенство приведенных теплот нагревателя и холодильника. Это второе уравнение термодинамики.

Если делим адиабатами на множество циклов Карно, то получим

Это третье уравнение второго закона термодинамики для бесконечно малого цикла Карно.

Если процесс является конечным, то

Это четвертое уравнение второго закона термодинамики

Если процесс является замкнутым, то

Это пятое уравнение второго закона термодинамики для обратимого процесса.

Интеграл по замкнутому контуру – интеграл Клаузиуса.

При необратимом процессе:

шестое уравнение второго закона термодинамики, или уравнение Клаузиуса, для обратимого процесса равно нулю, для необратимого процесса оно меньше 0, но иногда может быть больше 0.

это седьмое уравнение второго закона термодинамики. Второй закон термодинамики – закон роста S.

S = k ln W.

<== предыдущая лекция | следующая лекция ==>
Связь энтропии с другими термодинамическими параметрами | Цикл Карно. Термодинамическая вероятность
Поделиться с друзьями:


Дата добавления: 2014-01-06; Просмотров: 713; Нарушение авторских прав?; Мы поможем в написании вашей работы!


Нам важно ваше мнение! Был ли полезен опубликованный материал? Да | Нет



studopedia.su - Студопедия (2013 - 2025) год. Все материалы представленные на сайте исключительно с целью ознакомления читателями и не преследуют коммерческих целей или нарушение авторских прав! Последнее добавление




Генерация страницы за: 0.01 сек.