Студопедия

КАТЕГОРИИ:


Архитектура-(3434)Астрономия-(809)Биология-(7483)Биотехнологии-(1457)Военное дело-(14632)Высокие технологии-(1363)География-(913)Геология-(1438)Государство-(451)Демография-(1065)Дом-(47672)Журналистика и СМИ-(912)Изобретательство-(14524)Иностранные языки-(4268)Информатика-(17799)Искусство-(1338)История-(13644)Компьютеры-(11121)Косметика-(55)Кулинария-(373)Культура-(8427)Лингвистика-(374)Литература-(1642)Маркетинг-(23702)Математика-(16968)Машиностроение-(1700)Медицина-(12668)Менеджмент-(24684)Механика-(15423)Науковедение-(506)Образование-(11852)Охрана труда-(3308)Педагогика-(5571)Полиграфия-(1312)Политика-(7869)Право-(5454)Приборостроение-(1369)Программирование-(2801)Производство-(97182)Промышленность-(8706)Психология-(18388)Религия-(3217)Связь-(10668)Сельское хозяйство-(299)Социология-(6455)Спорт-(42831)Строительство-(4793)Торговля-(5050)Транспорт-(2929)Туризм-(1568)Физика-(3942)Философия-(17015)Финансы-(26596)Химия-(22929)Экология-(12095)Экономика-(9961)Электроника-(8441)Электротехника-(4623)Энергетика-(12629)Юриспруденция-(1492)Ядерная техника-(1748)

Стратегических решений

Основы экономического обоснования

Комплексное технико-экономическое обоснование является завершающим этапом процесса разработки управленческого решения. Одновременно этот этап является самым ответственным, так как по результатам обоснования принимается к реализации один из альтернативных вариантов решения.

Экономический результат реализации решения у изготовителя товара проявляется после его продажи, а у потребителя — после покупки и в процессе использования товара.

Эти особенности проявления эффективности менеджмента в сферах производства и потребления товара требуют применения разных методик расчета экономического эффекта при унифицированных принципах подхода к этим расчетам. К принципам экономического обоснования решения относятся:

1) учет фактора времени;

2) учет затрат и результатов за жизненный цикл товара;

3) применение к расчету системного подхода;

4) применение к расчету комплексного подхода;

5) обеспечение многовариантности технических и организационных решений;

6) обеспечение сопоставимости вариантов по исходной информации.

Рассмотрим подробнее эти требования (или принципы).

Сущность фактора времени заключается в том, что инвестор, вложив свои средства в какое-нибудь мероприятие, через несколько лет получит большую сумму. Вычтя из этой суммы первоначальные вложения, получим прибыль от вложений.

Применение к расчету экономического эффекта системного подхода выражается в том, что эффект считается по выходу системы.

Первый пример. Допустим, потребитель покупает орудие труда, к примеру нефтеаппаратуру для разделения нефти. На входе объекта или нефтеаппаратуры будет нефть, а на выходе — продукция переработки: бензин, мазут и др. Тогда для потребителя важна отдача объекта (нефтеаппаратуры), выражающаяся в доходе, полученном от реализации продукции, произведенной объектом (цена продукции минус ее себестоимость). Чем выше качество объекта, тем выше будут его производительность, качество выпускаемой им продукции (и соответственно, цена продукции), надежность и безопасность работы, меньше будет затрат ресурсов на эксплуатацию, техническое обслуживание и ремонты, меньше будет потерь по иным причинам. Затраты на приобретение и монтаж объекта будут вычитаться из дохода.

Второй пример. Изготовитель нефтеаппаратуры совершенствует организацию производства (процессов). Тогда в качестве объекта будет процесс, на входе — ресурсы для изготовления нефтеаппаратуры, на выходе — нефтеаппаратура как результат преобразования входа в результат производственного процесса. В этом случае экономический эффект мероприятия по совершенствованию процесса будет проявляться в снижении себестоимости изготовления нефтеаппаратуры (за вычетом затрат на мероприятия).

Третий пример. Для фирмы-изготовителя совершенствуется вход системы, например качество материалов, комплектующих изделий или других составляющих. Это улучшение повлияет на повышение качества выхода — качества нефтеаппаратуры и соответственно на ее цену, а также качества процесса (как объекта) за счет сокращения брака у изготовителя, сокращения простоев и других факторов. Дополнительно повышение качества выхода, как в первом примере, увеличит доход потребителя нефтеаппаратуры.

Как видим, методика расчета экономического эффекта зависит и от нюансов системного подхода, игнорировать которые недопустимо.

Применение комплексного подхода к расчету экономического эффекта выражается в том, что наряду с расчетом прямого экономического эффекта от реализации технических новинок необходимо учитывать побочные, сложные по методу расчета, социальный и экологический эффекты за счет повышения (улучшения) показателей экологичности и эргономичности нового объекта. К этим показателям относятся сокращение вредного воздействия на воздушный бассейн, почву, воду, природную среду, повышение уровня автоматизации управления, снижение показателей радиоактивности, уровня шума, вибрации и др. Эти показатели должны обеспечивать сохранение жизни (здоровья) человека и охрану окружающей природной среды.

Обеспечение многовариантности технических и организационных решений является одним из важнейших принципов менеджмента. Без анализа международного опыта, непосредственных конкурентов нечего браться за дело, тратить впустую капитал. Инвесторы (частные или государственные) в условиях рыночных отношений, жесткой конкуренции должны не семь, а сто раз отмерить (с помощью ЭВМ), прежде чем отрезать. Это трудно, но рынок не терпит шапкозакидательского менеджмента. Можно еще раз вспомнить соотношение 1: 10: 100:: 1000, где один доллар — "экономия" (в кавычках) на принятии упрощенного решения на стадии его формирования, а 10, 100, 1000 — потери на последующих стадиях жизненного цикла решения. Должно рассматриваться не менее трех вариантов. К реализации принимается вариант с наибольшим экономическим эффектом.

Сопоставимость вариантов расчета по исходной информации обеспечивается путем приведения их к одному объему (как правило, по новому варианту), к одним срокам, уровню качества, условиям применения. На практике не всегда одновременно проявляются перечисленные факторы. Некоторые из них приводятся в сопоставимый вид путем применения для всех вариантов одной и той же математической модели расчета. Подробнее! эти приемы будут рассмотрены при изложении конкретных методов расчета.

С учетом рассмотренных требований приведем 4 метода расчета экономического эффекта совершенствования системы менеджмента фирмы. За счет системности и комплексности эти методы приемлемы, на взгляд автора, для обоснования любых организационно-технических мероприятий по совершенствованию входа, процесса и выхода любой системы.

1. Мероприятия по повышению качества входа системы — качества сырья, материалов, комплектующих изделий, получаемых изготовителем. Экономический эффект внедрения этих мероприятий проявляется: а) у изготовителя товара — за счет повышения качества процесса, что влияет на снижение себестоимости товара вследствие сокращения остановок производства при применении качественных материалов и комплектующих, снижения производственного брака; б) у потребителя товара — за счет повышения качества его изготовления (качество разработки не изменяется), что позволяет изготовителю повысить цену товара. Так как сырье, материалы и комплектующие изделия входят в текущие затраты — себестоимость товара, то затраты на повышение качества входа системы могут превысить экономию производственных затрат при применении качественных материалов и комплектующих за счет сокращения остановок производства и брака. В этом случае суммарная составляющая изменения себестоимости товара будет отрицательной.

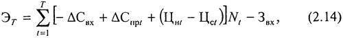
Экономический эффект разработки и реализации мероприятий по повышению качества сырья, материалов и комплектующих изделий (качества входа системы) рассчитывается по формуле

где Эт — ожидаемый экономический эффект разработки и реализации мероприятий по приобретению более качественных сырья, материалов и комплектующих изделий (качества входа системы) за срок применения мероприятий (Т);

∆Свх — перерасход из-за роста себестоимости единицы товара в году t за счет приобретения более качественных сырья, материалов и комплектующих изделий (дополнительные расходы на повышение качества входа);

∆Спр t — снижение себестоимости единицы товара в году t за счет повышения качества процесса при применении качественного входа;

Цн t — прогноз цены нового товара (после внедрения мероприятии) в году t;

Цс t — то же — старого товара;

N t — прогноз объема выпуска данного товара в году t натуральные измерители (шт., т и т. п.);

Звх — единовременные затраты (инвестиции) на повышение качества входа (анализ ситуации, формулирование проблемы, заключение новых договоров, разработка организационных проектов и т. п.).

При выполнении расчетов по формулам (2.14)—(2.17) обязательно следует соблюдать рассмотренные выше принципы оценки (фактор времени, сопоставимость вариантов, многовариантность и др.).

2. Мероприятия по повышению качества производственных и управленческих процессов в системе — по совершенствованию технологии, организации производства, оперативного управления, повышению уровня автоматизации. В этом случае эффект получается у потребителя за счет "переноса" высокого качества входа системы через процесс системы к ее выходу.

Допустим, качество входа отвечает требованиям конкурентоспособности, т. е. оценивается на "отлично", а качество процесса удовлетворительное, т. е. технология и организация процессов не отвечают требованиям входа. Тогда на выходе системы будет "удочка". Для использования преимуществ высокого качества входа обязательно следует повысить качество процесса (в данном примере — до "отлично"). На это мероприятие изготовителю требуются дополнительные затраты (себестоимость товара, как правило, повышается).

Эффект, получаемый потребителем за счет применения более качественного товара и соответственно более полного удовлетворения своих потребностей либо выпуска с применением данного товара более качественной продукции (реализуемой по большей цене) или в больших количествах (за счет повышения качества товара), в условиях конкуренции автоматически распределяется между изготовителем и потребителем товара через его цену на рынке.

Экономический эффект разработки и реализации мероприятий по совершенствованию технологии, организации производства, системы оперативного управления либо повышению уровня автоматизации производства (в целом — по повышению качества процесса в системе) у изготовителя товара определяется по следующей формуле (расчет ведет изготовитель):

где Эт — ожидаемый экономический эффект разработки и внедрения мероприятий по повышению качества процессов в системе за срок применения мероприятий (Т); i = 1, 2,..., п — количество наименований выпускаемых фирмой товаров, на которые распространяется данное мероприятие;

Ц it — прогноз цены товара в году t;

С it — прогноз себестоимости единицы товара в году t;

Н it — прогноз налогов по единице данного товара в году t;

N it. — прогноз объема выпуска товара в году t;

t вл = 1,2,...,Твл — год вложения инвестиций в мероприятия по повышению качества процессов в системе (Твл — последний год вложений, год внедрения мероприятий);

Зпр t — единовременные затраты (инвестиции) на повышение качества процессов (на совершенствование технологии, организации и т. п.) в году t вл.

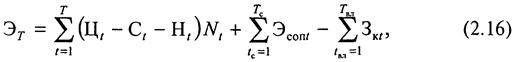
3. Ожидаемый экономический эффект разработки и внедрения мероприятий по повышению качества товара (повышение производительности, надежности, экологичности и других показателей) и организационно-технического развития производства определяется по следующей формуле (расчет ведет изготовитель):

где Эт — ожидаемый экономический эффект повышения качества товара за нормативный срок его службы; t с =1, 2,...,Тс — срок действия мероприятий по улучшению экологических и социальных показателей внешней среды;

Эсоп t — сопутствующий экологический или социальный эффект в денежном выражении от использования товара повышенного качества;

Зк t — единовременные затраты (инвестиции) в повышение качества товара, включая затраты на ликвидацию элементов основных производственных фондов в связи с освоением и внедрением нового товара (если при ликвидации этих элементов получается прибыль, то они вычитаются из Зк).

4. Ожидаемый экономический эффект приобретения потребителем нового товара — орудия труда, с помощью которого им выпускается продукция, определяется по следующей формуле:

где ЭТ — ожидаемый экономический эффект приобретения и применения потребителем единицы нового товара — орудия труда — за нормативный срок его службы (Т);

Цп it — прогноз цены единицы i -й продукции, выпускаемой с применением нового товара в году t;

Сп it — прогноз себестоимости единицы i -й продукции в году t;

Нп it — прогноз доли налогов по единице i -й продукции в году t;

П it — прогноз полезного эффекта (производительности) нового товара по i -й продукции в году t;

З t — инвестиции на покупку единицы товара, его транспортирование, монтаж, пуск, строительство ремонтной базы, подготовку кадров для обслуживания, создание оборотного фонда запасных частей и другие единовременные затраты, включая затраты (экономию) на ликвидацию элементов старых основных производственных фондов, выводимых в связи с освоением нового товара в году их вложения t вл.

Если ввод нового товара у потребителя изменяет экологические или социальные параметры внешней среды, то они учитываются аналогично формуле (2.16), но при условии, что эти параметры по новому товару не хуже, чем по старому.

В общем виде сопутствующий экологический или социальный эффект (в денежном выражении) внедрения нового товара определяется по формуле

где Рс t — экологический или социальный показатель старого товара в году t в натуральном измерении (например, выбросы в атмосферу, почву, уровень радиоактивности, шума, вибрации и т. п.);

Рн t — то же нового товара;

Седр t — стоимостная оценка единицы показателя Р.

Подробные примеры расчета приведены в [13].

Экономическое обоснование мероприятий по совершенствованию менеджмента позволит повысить его эффективность и стабильность функционирования.

Экономическое обоснование крупных инвестиционных проектов можно осуществить по Методическим рекомендациям по оценке эффективности инвестиционных проектов [6].

 

КРАТКИЕ ВЫВОДЫ ПО ТЕМЕ

1. В стратегическом менеджменте при разработке стратегий принимаются рациональные решения, основанные на изучении экономических законов функционирования рыночных отношений, законов организации, на применении научных подходов при анализе, прогнозировании и экономическом обосновании стратегических решений.

2. К параметрам качества стратегического решения относятся: показатель энтропии; степень риска вложения инвестиций»; вероятность реализации решения по показателям качества объекта, затрат и сроков; степень адекватности теоретической модели фактическим данным.

3. Альтернативные варианты решений должны приводиться в сопоставимый вид по 8 факторам: качеству, масштабу, ос-

 

 

<== предыдущая лекция | следующая лекция ==>
И элементов затрат по объектам | Концепция и функции стратегического маркетинга
Поделиться с друзьями:


Дата добавления: 2014-01-06; Просмотров: 281; Нарушение авторских прав?; Мы поможем в написании вашей работы!


Нам важно ваше мнение! Был ли полезен опубликованный материал? Да | Нет



studopedia.su - Студопедия (2013 - 2026) год. Все материалы представленные на сайте исключительно с целью ознакомления читателями и не преследуют коммерческих целей или нарушение авторских прав! Последнее добавление




Генерация страницы за: 0.011 сек.