Студопедия

КАТЕГОРИИ:


Архитектура-(3434)Астрономия-(809)Биология-(7483)Биотехнологии-(1457)Военное дело-(14632)Высокие технологии-(1363)География-(913)Геология-(1438)Государство-(451)Демография-(1065)Дом-(47672)Журналистика и СМИ-(912)Изобретательство-(14524)Иностранные языки-(4268)Информатика-(17799)Искусство-(1338)История-(13644)Компьютеры-(11121)Косметика-(55)Кулинария-(373)Культура-(8427)Лингвистика-(374)Литература-(1642)Маркетинг-(23702)Математика-(16968)Машиностроение-(1700)Медицина-(12668)Менеджмент-(24684)Механика-(15423)Науковедение-(506)Образование-(11852)Охрана труда-(3308)Педагогика-(5571)Полиграфия-(1312)Политика-(7869)Право-(5454)Приборостроение-(1369)Программирование-(2801)Производство-(97182)Промышленность-(8706)Психология-(18388)Религия-(3217)Связь-(10668)Сельское хозяйство-(299)Социология-(6455)Спорт-(42831)Строительство-(4793)Торговля-(5050)Транспорт-(2929)Туризм-(1568)Физика-(3942)Философия-(17015)Финансы-(26596)Химия-(22929)Экология-(12095)Экономика-(9961)Электроника-(8441)Электротехника-(4623)Энергетика-(12629)Юриспруденция-(1492)Ядерная техника-(1748)

Трансформатор




Уже второй век человечество использует электрический ток в промышленных масштабах. И все эти годы используется в основном переменный ток. В странах Европы и Америки наибольшее распространение получил ток, меняющий свое направление 100-120 раз в секунду. В России частота переменного тока 50 Гц.
Логично предположить, что переменный ток, имеет какие то преимущества перед постоянным. Разные потребители электрического тока рассчитаны на разные напряжения. Так, большинство электробытовых приборов рассчитано на напряжение 27 и 220 В., промышленные электродвигатели на 200, 360 и 600 в.

Электрический ток никогда не получил бы такого широкого применения, если бы его нельзя было преобразовывать почти без потерь энергии. ЭДС мощных генераторов электростанций довольно велика. При передаче электроэнергии используется напряжение в сотни киловатт. Между тем на практике чаще всего нужно не слишком высокое напряжение. Преобразование переменного тока, при котором напряжение увеличивается или уменьшается в несколько раз практически без потери мощности (при неизменной частоте тока), осуществляется с помощью трансформаторов.

Первый трансформатор был изобретен в 1878 году русским ученым П.Н.Яблочковым и усовершенствован в 1882 году другим русским ученым И.Ф.Усагиным.

Биография П.Н. Яблочкова.

Павел Николаевич Яблочков родился в 1847 году в семье мелкопоместного дворянина. Электротехник, изобретатель и предприниматель. Получил образование военного инженера, окончив в 1866 году Николаевское инженерное училище. Стал сапером, но вскоре вышел в отставку. Отставной поручик увлекался электротехникой. Изучать эту область техники можно было в Офицерских гальванических классах в Петербурге. Яблочков, вновь одевает военную форму и работает над проблемами, связанными с применением электричества в военном и гражданском деле. Он окончательно вышел в отставку и в 1873 году был назначен начальником телеграфной службы Московско-Курской железной дороги. Он организовал мастерскую, где проводил работы по электротехнике, которые легли в основу его изобретений в области электрического освещения, электрических машин, гальванических элементов и аккумуляторов.

К 1875 году относится одно из главных изобретений П.Н.Яблочкова – электрическая свеча, первая модель дуговой лампы. Идея создать электрическое освещение увлекла Яблочкова настолько, что он бросает работу и на свои скромные сбережения открывает в Москве лабораторию, где проводит работы по электротехнике. В 1878 году в Париже вскоре он пришел еще к одному гениальному решению: стал питать ''русский свет'' переменным током так, как это происходит и сегодня, изобрел трансформатор. В 1879 году Яблочков организовал ''Товарищество электрического освещения'' и электромеханический завод. В последние годы жизни Яблочков работал над созданием генераторов электрического тока, гальванических элементов. Был одним из инициаторов создания журнала ''Электричество''. В историю отечественной науки П.Н.Яблочков вошел, как автор ''свечи Яблочкова'', ''русского света'', ''северного света'', изобретатель трансформатора. Умер П.Н.Яблочков в 1894 году.

Устройство трансформатора.

Трансформатор состоит: из замкнутого сердечника, изготовленного из специальной листовой трансформаторной стали. На нем располагаются две катушки с различным числом витков из медной проволоки. Одна из обмоток, называется первичной, она подключается к источнику переменного напряжения. Устройства, потребляющие электроэнергию, подключаются к вторичной обмотке, их может быть несколько.

Принцип действия основан на законе электромагнитной индукции. При прохождении переменного тока по первичной обмотке в сердечнике возникает переменный магнитный поток, который возбуждает ЭДС индукции в каждой обмотке. Магнитное поле концентрируется внутри сердечника и одинаково во всех его сечениях. Мгновенное значение индукции Ei в любом витке и первичной, и вторичной обмоток одинаково: Е1 = Е2

Потери энергии при работе трансформатора:

· на нагревание обмоток;

· на рассеивание магнитного потока в пространство;

· на вихревые токи в сердечнике и на его перемагничивание.

Меры, принимаемые для уменьшения потерь:

· обмотка низкого напряжения делается большого сечения так, как по ней протекает ток большой силы;

· сердечник делают замкнутым, чтобы уменьшить рассеяние магнитного потока;

· сердечник делают пластинчатым, чтобы уменьшить вихревые токи.

Благодаря этим мерам КПД современных трансформаторов достигает 95-99%. Это означает, что практически вся энергия тока, проходящего по первичной обмотке трансформатора, превращается в энергию индукционного тока, возникающего во вторичной обмотке. Поскольку каждый виток первичной и вторичной обмоток пронизывает один и тот же магнитный поток, то в них возникают одинаковые ЭДС, равные по закону Фарадея для электромагнитной индукции, то:

е1 = е2 = – Ф'

ЭДС Е1 и Е2 действующие во всей первичной или вторичной обмотках, равны произведению ЭДС в одном витке е1 или е2на число витков в обмотке N1 и N2

Е1 = е1• N1

Е2 = е2• N2

Вывод: ЭДС, действующие в обмотках, прямо пропорциональны числу витков в них.

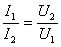
Сила тока в первичной обмотке трансформатора во столько раз больше силы тока во вторичной обмотке, во сколько раз напряжение в ней больше напряжения в первичной обмотке:

Если пренебречь падением напряжения на сопротивлениях обмоток, когда сопротивления малы, то можно записать отношение и для напряжений на обмотках трансформатора

Для анализа электромагнитных процессов, происходящих в трансформаторе, рассмотрим два режима его работы.




Поделиться с друзьями:


Дата добавления: 2014-01-06; Просмотров: 446; Нарушение авторских прав?; Мы поможем в написании вашей работы!


Нам важно ваше мнение! Был ли полезен опубликованный материал? Да | Нет



studopedia.su - Студопедия (2013 - 2026) год. Все материалы представленные на сайте исключительно с целью ознакомления читателями и не преследуют коммерческих целей или нарушение авторских прав! Последнее добавление




Генерация страницы за: 0.008 сек.