Студопедия

КАТЕГОРИИ:


Архитектура-(3434)Астрономия-(809)Биология-(7483)Биотехнологии-(1457)Военное дело-(14632)Высокие технологии-(1363)География-(913)Геология-(1438)Государство-(451)Демография-(1065)Дом-(47672)Журналистика и СМИ-(912)Изобретательство-(14524)Иностранные языки-(4268)Информатика-(17799)Искусство-(1338)История-(13644)Компьютеры-(11121)Косметика-(55)Кулинария-(373)Культура-(8427)Лингвистика-(374)Литература-(1642)Маркетинг-(23702)Математика-(16968)Машиностроение-(1700)Медицина-(12668)Менеджмент-(24684)Механика-(15423)Науковедение-(506)Образование-(11852)Охрана труда-(3308)Педагогика-(5571)Полиграфия-(1312)Политика-(7869)Право-(5454)Приборостроение-(1369)Программирование-(2801)Производство-(97182)Промышленность-(8706)Психология-(18388)Религия-(3217)Связь-(10668)Сельское хозяйство-(299)Социология-(6455)Спорт-(42831)Строительство-(4793)Торговля-(5050)Транспорт-(2929)Туризм-(1568)Физика-(3942)Философия-(17015)Финансы-(26596)Химия-(22929)Экология-(12095)Экономика-(9961)Электроника-(8441)Электротехника-(4623)Энергетика-(12629)Юриспруденция-(1492)Ядерная техника-(1748)

Метод наложения. В основе метода лежит принцип суперпозиции (наложения):ток в любой ветви сложной электрической цепи

В основе метода лежит принцип суперпозиции (наложения): ток в любой ветви сложной электрической цепи, содержащей несколько ЭДС, может быть найден как алгебраическая сумма токов в этой ветви от действия каждой ЭДС в отдельности.

Это весьма важное положение, справедливое только для линейных цепей, вытекает из уравнений Кирхгофа и утверждает независимость действия источников энергии. Основанный на нем метод сводит расчет цепи, содержащей несколько ЭДС, к последовательному расчету схем, каждая из которых содержит только один источник.

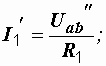
Например, токи в схеме на рис. 1.10, а находятся как алгебраические суммы частичных токов, определяемых из схем 1.10, б и в.

Аналогично:

И, наконец,

a) б) в)

Рис. 1.10. Заданная (а) и расчетные (б и в) схемы

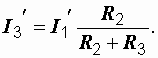
При расчете подобных схем очень удобным оказывается следующий прием. Пусть требуется определить токи в параллельных ветвях при известном суммарном токе (рис. 1.11).

Имеем:

Рис. 1.11. Токи в параллельных ветвях Из полученной формулы вытекает правило: ток в одной из двух параллельных ветвей равен произведению общего тока на сопротивление соседней ветви, деленному на сумму сопротивлений параллельных ветвей. Пользуясь этим правилом для тока I 2 можно написать:

Применение этого правила избавляет от необходимости определять напряжения и в схемах на рис. 1.10, б и 1.10, в. Так, после определения тока , токи и можно найти по формулам:

<== предыдущая лекция | следующая лекция ==>
Метод контурных токов. Для каждого из взаимно независимых контуров назначается так называемый контурный ток, замыкающийся по всем ветвям контура | Эквивалентное преобразование треугольника и звезды сопротивлений
Поделиться с друзьями:


Дата добавления: 2014-01-06; Просмотров: 755; Нарушение авторских прав?; Мы поможем в написании вашей работы!


Нам важно ваше мнение! Был ли полезен опубликованный материал? Да | Нет



studopedia.su - Студопедия (2013 - 2026) год. Все материалы представленные на сайте исключительно с целью ознакомления читателями и не преследуют коммерческих целей или нарушение авторских прав! Последнее добавление




Генерация страницы за: 0.009 сек.