Студопедия

КАТЕГОРИИ:


Архитектура-(3434)Астрономия-(809)Биология-(7483)Биотехнологии-(1457)Военное дело-(14632)Высокие технологии-(1363)География-(913)Геология-(1438)Государство-(451)Демография-(1065)Дом-(47672)Журналистика и СМИ-(912)Изобретательство-(14524)Иностранные языки-(4268)Информатика-(17799)Искусство-(1338)История-(13644)Компьютеры-(11121)Косметика-(55)Кулинария-(373)Культура-(8427)Лингвистика-(374)Литература-(1642)Маркетинг-(23702)Математика-(16968)Машиностроение-(1700)Медицина-(12668)Менеджмент-(24684)Механика-(15423)Науковедение-(506)Образование-(11852)Охрана труда-(3308)Педагогика-(5571)Полиграфия-(1312)Политика-(7869)Право-(5454)Приборостроение-(1369)Программирование-(2801)Производство-(97182)Промышленность-(8706)Психология-(18388)Религия-(3217)Связь-(10668)Сельское хозяйство-(299)Социология-(6455)Спорт-(42831)Строительство-(4793)Торговля-(5050)Транспорт-(2929)Туризм-(1568)Физика-(3942)Философия-(17015)Финансы-(26596)Химия-(22929)Экология-(12095)Экономика-(9961)Электроника-(8441)Электротехника-(4623)Энергетика-(12629)Юриспруденция-(1492)Ядерная техника-(1748)

ЭДС самоиндукции направлена так, что своим действием препятствует причине, вызвавшей ее появление




Причина появления ЭДС самоиндукции – изменение тока. Поэтому при возрастании тока она направлена ему навстречу, при уменьшении тока – в одну с ним сторону.

Препятствуя изменению тока, ЭДС самоиндукции оказывает ему сопротивление, которое называется индуктивным и обозначается хL. В соответствии с формулой (2.16) его величина определяется индуктивностью и скоростью изменения тока, т.е. частотой. Формула, определяющая индуктивное сопротивление, имеет вид:

.

В цепях постоянного тока такого понятия мы не встречали, так как при постоянных магнитных полях ЭДС самоиндукции не возникает.

Пусть ток, протекающий по индуктивности, определяется выражением (2.13). Тогда напряжение на ее зажимах, в соответствии с формулой (2.17), равно

.

Это – мгновенное значение напряжения. Его амплитуда равна

.

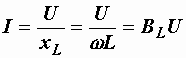
Аналогичное выражение получается (после деления на ) и для действующих значений

, откуда ,

где ВL – индуктивная проводимость; .

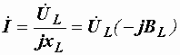
Запишем соответствующие формулы в символической форме:

.

Так как , то .

Отсюда .

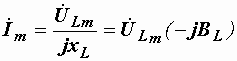
Аналогично для действующих значений:

,

. (2.18)

Уравнения, связывающие напряжение и ток в индуктивности, как в вещественных, так и в комплексных числах, представляют собой закон Ома для индуктивности. Начальная фаза напряжения больше начальной фазы тока на 90°. В индуктивности ток отстает от напряжения на четверть периода. Выражение закона Ома, записанное в символическое форме, указывает на этот сдвиг фаз. Вспомним, что умножение вектора на j приводит к его повороту на угол 90° против часовой стрелки. Рис. 2.19. Векторная диаграмма напряжения и тока в индуктивности

Согласно уравнениям (2.18) получается путем умножения произведения на j, в результате чего вектор оказывается повернутым относительно вектора .

Пример 2.5. Мгновенное значение напряжения на индуктивности определяется выражением uL = 200 sin (w t +60°) В. Записать выражение мгновенного значения тока, если L = 63,67 мГн, а частота питающего напряжения f = 50 Гц. Построить векторные диаграммы напряжения и тока.

Р е ш е н и е. При частоте f = 50 Гц циклическая частота w = 314 с-1, и индуктивное сопротивление xL = w L = 20 Ом. Амплитуда тока равна А. Так как в индуктивности ток отстает от напряжения на четверть периода, его начальная фаза меньше начальной фазы напряжения на 90°: y i = y u – 90° = 60–90–30°. Итак, i = 10 sin (w t –30°). Векторная диаграмма показана на рис. 2.20. Рис. 2.20. Векторная диаграмма напряжения итока в индуктивности

 




Поделиться с друзьями:


Дата добавления: 2014-01-06; Просмотров: 663; Нарушение авторских прав?; Мы поможем в написании вашей работы!


Нам важно ваше мнение! Был ли полезен опубликованный материал? Да | Нет



studopedia.su - Студопедия (2013 - 2025) год. Все материалы представленные на сайте исключительно с целью ознакомления читателями и не преследуют коммерческих целей или нарушение авторских прав! Последнее добавление




Генерация страницы за: 0.008 сек.