Студопедия

КАТЕГОРИИ:


Архитектура-(3434)Астрономия-(809)Биология-(7483)Биотехнологии-(1457)Военное дело-(14632)Высокие технологии-(1363)География-(913)Геология-(1438)Государство-(451)Демография-(1065)Дом-(47672)Журналистика и СМИ-(912)Изобретательство-(14524)Иностранные языки-(4268)Информатика-(17799)Искусство-(1338)История-(13644)Компьютеры-(11121)Косметика-(55)Кулинария-(373)Культура-(8427)Лингвистика-(374)Литература-(1642)Маркетинг-(23702)Математика-(16968)Машиностроение-(1700)Медицина-(12668)Менеджмент-(24684)Механика-(15423)Науковедение-(506)Образование-(11852)Охрана труда-(3308)Педагогика-(5571)Полиграфия-(1312)Политика-(7869)Право-(5454)Приборостроение-(1369)Программирование-(2801)Производство-(97182)Промышленность-(8706)Психология-(18388)Религия-(3217)Связь-(10668)Сельское хозяйство-(299)Социология-(6455)Спорт-(42831)Строительство-(4793)Торговля-(5050)Транспорт-(2929)Туризм-(1568)Физика-(3942)Философия-(17015)Финансы-(26596)Химия-(22929)Экология-(12095)Экономика-(9961)Электроника-(8441)Электротехника-(4623)Энергетика-(12629)Юриспруденция-(1492)Ядерная техника-(1748)

Адаптивні системи з еталонними моделями та ідентифікаторами




Рис.5.3 Структура АСЕМ

Адаптивні системи з еталонними моделями – АСЕМ – часто використовуються при створенні систем автоматизації технологічних об’єктів. Узагальнена структура АСЕМ (рис.5.3) включає еталонну модель ЕМ в явному виді. Вихід моделі Хм порівнюється з координатою Х, а різниця між ними поступає на виконавчий пристрій самонастроювання ВПснс, на виході якого формується вектор параметрів ζ. Цей вектор використовується у функціональному блоці ФБ. АСЕМ функціонує так: сигнал автоматичного регулятора Uрег поступає на об’єкт через ФБ і на еталонну модель ЕМ. На розрахунковому режимі властивості об’єкта та еталонної моделі співпадають, тому Х=Хм, а сигнал похибки =0. В цьому випадку коефіцієнт передачі ФБ дорівнює одиниці, і сигнал регулятора Uрег без змін поступає на вхід об’єкта. При зміні властивостей об’єкта ХмХ, 0 і вектор параметрів ζ поступає на ФБ, який змінює вихідний сигнал регулятора так, щоб повернути систему в початковий стан, коли Х=Хм, =0. В таких системах додатково компенсується збурення Z, для чого вводиться компенсуючий пристрій КП.

Рис.5.4 Структурна схема АСЕМ

 

Розрахункова структурна схема АСЕМ показана на рис.5.4. На структурній схемі позначено: Wрег(р), Wок(р), W0зб(р) – відповідно передаточні функції регулятора, об’єкта за каналами керування та збурення. Крім того позначені передаточні функції: WЕМ(р) – еталонної моделі; WВПС(р) – виконавчого пристрою самонастройки; WКП(р) – компенсуючого пристрою; WФБ(р) – функціонального блока. При аналізі структури використовуються сигнали: ζ – вихід контура самонастроювання; х1, х2 – складові координати х, обумовлені відхиленнями сигналів керування і збурення; хк – вихід блоку компенсації; - координатна похибка та похибка самонастройки; хм – вихід еталонної моделі.

Приймемо, що в системі застосовано ПІ – регулятор з передаточною функцією

(5.4)

Передаточні функції об’єкта:

(5.5)

(5.6)

(5.7)

Передаточні функції еталонної моделі та компенсатора обираються такими ж, як і передаточні функції об’єкта:

, (5.8)

, (5.9)

де: (н – індекс, яким позначено номінальний режим роботи системи).

В процесі функціонування технологічних об’єктів їх параметри (коефіцієнти передачі та постійні часу) змінюються в 1,510 разів і більше, тому виникає необхідність застосування адаптивних систем. В найбільш широкому діапазоні змінюються значення коефіцієнтів передачі k1 та k2.

Основою функціонування АСЕМ у цьому випадку приймається співвідношення:

(5.10)

На номінальному (розрахунковому) режимі ζ=1, а в процесі функціонування ζ цілеспрямовано змінюється для збереження залежності (5.10). При виконанні умови (5.10) автоматичний регулятор активно діє на об’єкт, тому змінювання постійних часу Ті та часу запізнювання будуть слабко впливати на якість перехідних процесів. Для реалізації залежності (5.10) функціонувальний блок ФБ виконує операцію множення на постійну величину.

Для аналізу процесу функціонування АСЕМ складається рівняння статики параметричного канала. В усталеному стані х=хмзд, тоді:

(5.11)

Приймаючи до уваги, що завжди Uрег>0 та Uрег=(це справедливо при задовільній компенсації складових х2), поділимо обидві частини (5.11) на Uрег, тоді:

(5.12)

Враховуючи, що kм=rхарактеризує ідеальний закон адаптації, величична

(5.13)

є оцінкою похибки адаптації. Таким чином, рівняння (5.12) визначає статичну характеристику контура адаптації, а (5.13) – методичну похибку адаптації. Видно, що точність адаптації в статиці можна підвищити шляхом компенсації збурення Z, тобто забезпечити статичну інваріантність. Похибку адаптації можна також зменшити за рахунок зменшення величини дробу (5.13). Методичну похибку можна усунути, якщо вимірювати значення коефіцієнта передачі k2.

Отже, поведінка основного контура порівнюється з поведінкою еталонної моделі, і задача пристрою адаптації полягає в мінімізації деякої функції неузгодженості їх станів (виходів) шляхом перенастроювання основного контура (параметрична адаптація).

Адаптивні системи з еталонними моделями мають суттєві переваги перед іншими за рахунок високої швидкості адаптації та незначного об’єму необхідної апріорної інформації. В той же час ці системи мають низький рівень перешкодостійкості.

При синтезі АСЕМ використовуються різні методи:

- мінімізації критеріїв якості. Обирається зручний критерій, який характеризує близкість параметрів моделі та об’єкта або векторів їх стану, наприклад, квадратичне відхилення;

- градієнтні методи. Алгоритм змінювання параметрів передбачає рух в напрямку антиградієнта цільової функції в залежності від похибки розузгодження. Обчислюється функція чутливості з використанням еталонної моделі;

- застосування функцій Ляпунова. Ці алгоритми використовують схеми швидкісного градієнта: враховується, що градієнт цільової функції близький за напрямом до градієнта її приростів у часі. Алгоритм адаптації також передбачає антиградієнтний рух щодо швидкості змінювання цільової функції та квадрата нев’язки між ідеальними параметрами і тими, які настроюються;

- теорії гіперстійкості. Синтез контура адаптації здійснюється з умов гіперстійкості (абсолютної стійкості за В.Поповим) системи з адаптивним регулятором;

- організації ковзких режимів. При цьому система набуває властивостей інваріантності по відношенню до параметричних збурень і перешкод. До цього методу часто відносяться системи з сигнальною адаптацією, отримані на основі схем швидкісного градієнта;

- введення „нескінченно великого” коефіцієнта підсилення, за рахунок чого передаточна функція системи стає еквівалентною передаточній функції еталонної моделі, але при цьому існують, як завжди, проблеми щодо стійкості та перешкодозахищеності.

Теоретичні, строго обгрунтовані, методи синтезу адаптивних систем можна розділити на два класи: точні та наближені. Приймається двохрівнева схема адаптивної системи, і задача синтезу розбивається на дві: основного контура та адаптації.

До точних методів відносяться:

- метод інваріантності, в якому реалізується ідея вибора „ідеального” керування на основі рівності правих частин еталонної моделі і моделі об’єкта;

- модального керування, коли „ідеальне” керування обирається, виходячи з бажаних показників якості перехідного процесу;

- оптимального синтезу, коли розв’язується задача оптимізації по сигналу керування щодо асимптотичного (при ) показника якості.

Наближені методи використовують прийоми декомпозиції, засновані на спрощенні моделі та синтезу на її основі системи. Для спрощення і декомпозиції використовуюються методи теорії збурень, скалярних і векторних функцій Ляпунова, лінеаризація, пониження порядку. Досить широко використовується підхід, заснований на виділенні швидких та повільних рухів системи, а синтез здійснюється на моделі, яка описує повільні рухи. Це методи осередження та сингулярних збурень.

 

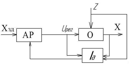
Рис.5.5 Структура адаптивної системи з ідентифікатором

 

В адаптивних системах з ідентифікатором (рис.5.5) синтез контура адаптації здійснюється за допомогою математичної моделі, яка визначається за допомогою спеціального пристрою – ідентифікатора Ід. В процесі функціонування об’єкта можуть уточнюватись як структура моделі, так і її параметри, тобто сама модель є адаптивною, а процес ідентифікації включається в контур зворотнього зв’язку. Адаптивна система з ідентифікатором функціонує в двох режимах:

- навчання, коли ідентифікатор здійснює побудову моделі до того, поки похибка прогнозу вихідної змінної по моделі не стане меншою заданої величини;

- паралельний, коли уточнюється модель і одночасно здійснюється керування.

В ідентифікаторі закладено алгоритм уточнення моделі, наприклад, для лінійної моделі зв’язок між координатою Х та вхідним сигналом Z задається залежністю:

(5.14)

де: ai – оцінка і-го параметра моделі, N – номер такта (час).

В однокроковому алгоритмі ідентифікації застосовується ітераційна формула:

(5.15)

де: - параметр адаптації, який залежить від значень похибок вимірювання вхідних і вихідних змінних (наприклад, сума дисперсій). Алгоритм побудовано так, що значення параметрів моделі ai харатеризує зміни, які відбулись в об’єкті. Чисельник виразу (5.15) – це різниця між дійсним значенням вихідної змінної в N – му такті та її значенням, обчисленим по моделі з використанням оцінки ai,N-1 , тобто на попередньому кроці (такті). Якщо модель відповідає реальному об’єкту, то різниця в чисельнику однозначно характеризує зміни в об’єкті, а її величина дає кількісну оцінку відхилень властивостей об’єкта і моделі. Крім того, ці відхилення одразу враховуються змінюванням ai та сигналу керування. Наприклад, сигнал керування може формуватись так:

(5.16)

де: Хзд – задане значення Х.

Адаптивні системи з еталонними моделями та ідентифікаторами відносяться до класу безпошукових, тобто в них не використовуються додаткові сигнали, які призначені для пошуків бажаного режиму.

В класі безпошукових адаптивних систем розв’язуються задачі:

- регулювання об’єктів, параметри яких змінюються в широких межах з достатньою швидкістю;

- регулювання об’єктів з нелінійностями, що більш ефективно, ніж використання нелінійних ланок корекції;

- оптимізація системи керування за рахунок використання оптимальних моделей, у тому числі адаптивних;

- ідентифікація об’єктів у замкненому контурі та використання цієї інформації для процесів керування і діагностики, в тому числі виявлення передаварійних ситуацій;

- імітаційне моделювання та створення тренажерів для операторів складних об’єктів;

- підвищення експлуатаційної надійності систем керування;

- уніфікація алгоритмів адаптивного керування типовими процесами з розробкою пакетів прикладних програм;

- скорочення термінів розробки ефективних систем керування.

 




Поделиться с друзьями:


Дата добавления: 2014-01-06; Просмотров: 1717; Нарушение авторских прав?; Мы поможем в написании вашей работы!


Нам важно ваше мнение! Был ли полезен опубликованный материал? Да | Нет



studopedia.su - Студопедия (2013 - 2025) год. Все материалы представленные на сайте исключительно с целью ознакомления читателями и не преследуют коммерческих целей или нарушение авторских прав! Последнее добавление




Генерация страницы за: 0.01 сек.