Студопедия

КАТЕГОРИИ:


Архитектура-(3434)Астрономия-(809)Биология-(7483)Биотехнологии-(1457)Военное дело-(14632)Высокие технологии-(1363)География-(913)Геология-(1438)Государство-(451)Демография-(1065)Дом-(47672)Журналистика и СМИ-(912)Изобретательство-(14524)Иностранные языки-(4268)Информатика-(17799)Искусство-(1338)История-(13644)Компьютеры-(11121)Косметика-(55)Кулинария-(373)Культура-(8427)Лингвистика-(374)Литература-(1642)Маркетинг-(23702)Математика-(16968)Машиностроение-(1700)Медицина-(12668)Менеджмент-(24684)Механика-(15423)Науковедение-(506)Образование-(11852)Охрана труда-(3308)Педагогика-(5571)Полиграфия-(1312)Политика-(7869)Право-(5454)Приборостроение-(1369)Программирование-(2801)Производство-(97182)Промышленность-(8706)Психология-(18388)Религия-(3217)Связь-(10668)Сельское хозяйство-(299)Социология-(6455)Спорт-(42831)Строительство-(4793)Торговля-(5050)Транспорт-(2929)Туризм-(1568)Физика-(3942)Философия-(17015)Финансы-(26596)Химия-(22929)Экология-(12095)Экономика-(9961)Электроника-(8441)Электротехника-(4623)Энергетика-(12629)Юриспруденция-(1492)Ядерная техника-(1748)

Маслозаполненные компрессоры

Компрессоры сухого сжатия.

В холодильной технике применяются вторые. Они имеют преимущества:

Масло охлаждает сжимаемый пар и уплотняет зазоры между элементами компрессора, что уменьшает внутренние перетечки и что повышает qо компрессора.

Понижает температуру пара при нагнетании – это упрощает конструкцию компрессора – нет водяной рубашки, но есть ребра охлаждения.

Масло снижает шум компрессора, снижает частоту вращения компрессора, они надежны, долговечны, в них можно осуществить полную автоматизацию рабочего процесса.

Отсутствуют всасывающие и нагнетательные клапаны, шток, шатун, каленвал, нет трения между поршнями (ротором) и корпусом. Что увеличивает межремонтные сроки.

 

Недостатки: наличие развитой системы смазки, что приводит к увеличению массы и габаритов компрессорных агрегатов, повышению их стоимости.

Целесообразно применять в диапазоне Qо – от 400 до 1750 кВт.

Разработаны три базовые модели:5ВХ-350, 6ВХ-700, 7ВХ-1400 с диаметрами роторов – винтов, соответственно – 200 мм - 250 мм – 315 мм.

Qо = 350-700-1400 тыс. ккал/час при

tо = -15оС,

tк = 30оС n = 50 с-1

Разобрать по плакату компрессор – корпус, ведущий – ведомый ротор, уплотнение – сальник, подшипник качения, скольжения, золотник.

 

 

Действительный рабочий процесс поршневого компрессора

  4-1 – процесс всасывания пара Рвс < Ро 1-2 – процесс сжатия пара 2-3 – процесс нагнетания пара Рн > Рк т. «4» - момент открытия всасы- вающего клапана т. «2» - момент открытия нагне-тательного клапана 3-4 – процесс расширения пара, оставшегося в мертвом пространстве

Мертвое пространство: объем пара, засасываемого в каждую единицу времени, уменьшается на количество пара, расширившегося из мертвого пространства – отрезок «С», объемные потери, вызванные обратным расширением пара, учитывают объемным коэффициентом — λс.

 

λс = -

 

VT – объем описываемый поршнем

λс – зависит от мертвого пространства «С», от отношения давления Рк / Ро, а также от влажного хода компрессора ибо капельки жидкого хладагента испаряются в процессе обратного расширения и увеличивается С1.

 

Сопротивление при всасывании и нагнетании

Объемные потери, вызванные сопротивлением в клапанах, учитываются коэффициентом дросселирования, представляющим отношение

 

λдр =

 

V2 – объем пара, засасываемого компрессором при наличии мертвого пространства и сопротивления в клапанах.

«С1» и «С2» - объемные потери при преодолении сопротивления на открытие всасывающих и нагнетательных клапанов.

С2 -1-1' – отрезок сжатия пара в цилиндре до давления Ро и зависит от конструкции клапанов и каналов в цилиндре.

Объемные потери С1 и С2 учитываются индикаторным коэффициентом подачи

 

λi = λc∙ λдр = .

 

 

С учетом депрессии на всасывании ΔРвс и при нагнетании ΔРн индикатор коэффициента подачи определяется по формуле:

 

 

λi =

 

где: ΔРвс = 5 кПа

ΔРн = 10 кПа с = 3 ÷ 5%.

 

Теплообмен пара в процессе всасывания

В действительном процессе компрессора стенки цилиндра в процессе всасывания имеют более высокую температуру, чем всасываемый пар. Поэтому пар во время всасывания подогревается и его удельный объем увеличивается – уменьшается масса всасываемого пара в цилиндр компрессора. Потери, вызванные в результате данного теплообмена, учитывают коэффициентом подогрева - λw. - этот коэффициент нельзя определить по индикаторной диаграмме. Коэффициент – λw зависит от отношения давлений Рк / Ро, чем оно больше, тем выше t в конце сжатия, следовательно, более интенсивно идет теплообмен.

 

Неплотности в цилиндре компрессора

При работе компрессора неизбежны утечки пара через неплотности в поршневых кольцах, сальниках и клапанах, которые учитываются коэффициентом плотности – λпл. Обычно λпл принимают – 0,96÷0,98.

Коэффициент λw и λgk – учитывают «невидимые» потери компрессора.

 

λw∙ λпл - λw' – коэффициент невидимых потерь

 

λw' = - для непрямоточных компрессоров

 

λw' = - для прямоточных компрессоров.

 

То и Тк – абсолютные температуры:

 

То = 273 + tо

 

Тк = 273 + tк + (26)

 

 


Коэффициент подачи компрессора

Все объемные потери действительного компрессора учитываются коэффициентом подачи «λ» - т.е. отношением действительной объемной подачи компрессора Vg – к теоретической объемной подаче Vт.

 

λ = - действительная и теоретическая массовая подача компрессора, кг/с.

 

Объем пара, всасываемого компрессором в единицу времени – называется объемной подачей компрессора – м3/с.

Массовой подачей компрессора называется масса пара с удельным объемом υ13/кг)

λ = λ с ∙ λдр ∙ λw7 ∙ λgk

λ = λi ∙ λw'

Коэффициент подачи компрессора можно определить по графикам в зависимости от Рк / Ро для каждого вида компрессора.

 

 

Холодопроизводительность компрессора

Количество теплоты, которое холодильная машина отнимает от охлаждаемой среды в единицу времени – называется холодопроизводительностью машины.

Qо – Вт, ккал. 1 Вт – 1 Дж/с

1 ккал/ч – 1,163 Вт

Qo = qo ∙ mg

 

1) qo = qv ∙ υ1, тогда

 

Qo = qv ∙ υ1 ∙mg

 

2) mg ∙ υ1 = Vg

 

Qo = qv ∙ Vg

 

Vg = VT ∙ λ, тогда

 

Qo = qv ∙ VT ∙ λ

Холодопроизводительность Qo ст. или номинальная, определенная при

to = -15oC, tк = 30оС, tвс = -10оС, tп = 25оС –

это стандартные температуры для одноступенчатого сжатия.

Холодильные машины работают при условиях, отличающихся от стандартных, тогда их холодопроизводительность называется Qo рабочей.

 

Для рабочих условий - Qo = qv ∙ VT ∙ λ

 

Для стандартных - Qoн = qvн ∙ VT ∙ λн

 

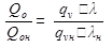
Разделив Qo / Qoн получим:

 

, откуда

 

Qон = .

 

Энергетические потери и мощность компрессора

При сжатии пара в теоретическом компрессоре адиабатически затрачивается мощность.

 

Na = mg ∙ (i2 ∙ i1') кВт

 

В действительном компрессоре мощность, затраченную на сжатие пара, определяют по индикаторной диаграмме и называют индикаторной – Ni.

 

Ni = VT ∙ Pi

 

Pi – среднее индикаторное давление по диаграмме.

Но в компрессоре существуют энергетические затраты на процесс теплообмена со стенками цилиндра, в сопротивлении при всасывании и нагнетании. Это учитывает мощность, затраченную на валу компрессора – Nе, которая больше индикаторной на величину потерь на трение Nтр.

 

Nе = Ni + Nтр,

 

Nтр – зависит от размеров и режима работы компрессора

 

Nтр = VT∙ Ртр

 

 

Ртр – удельное давление трения –

для прямоточных Ртр = 49 ÷ 69 кПа

для непрямоточных Ртр = 19 ÷ 34 кПа

для хладоновых прямоточных Ртр = 39 ÷ 69 кПа

Работу компрессора характеризует отношение теоретической мощности к индикаторной – это индикаторный коэффициент полезного действия

 

ηi =

 

ηi – связан с коэффициентом невидимых потерь λw '.

Практически ηi – бывает несколько больше λ компрессора, и его можно определить по формуле:

 

ηi = λw' + вtо

 

 

tо – температура кипения, «в» - эмпирический коэффициент,

для аммиачного вертикального компрессора, в = 0,001,

для хладоновых в = 0,0025.

 

Механическим КПД ηм называют отношение индикаторной мощности к эффективной.

ηм = - от конструктивных особенностей, режима работы компрессора.

Если компрессор соединяется с электродвигателем через ременную передачу, то Nдв на валу электродвигателя будет больше Nе на величину потеряв в передаче

 

Nдв =

 

ηп = 0,96 ÷ 0,99 КПД передач.

Мощность электродвигателя рекомендуется выбирать с запасом на 10-12%, чтобы не было перегрузки.

Отношение Nа / Nе – называется эффективным КПД.

 

ηе = = = ηi ∙ ηм

 

<== предыдущая лекция | следующая лекция ==>
Холодильный коэффициент | Удельной холодопроизводительностью компрессора называют отношение его холодопроизводительности к мощности
Поделиться с друзьями:


Дата добавления: 2014-01-07; Просмотров: 902; Нарушение авторских прав?; Мы поможем в написании вашей работы!


Нам важно ваше мнение! Был ли полезен опубликованный материал? Да | Нет



studopedia.su - Студопедия (2013 - 2026) год. Все материалы представленные на сайте исключительно с целью ознакомления читателями и не преследуют коммерческих целей или нарушение авторских прав! Последнее добавление




Генерация страницы за: 0.014 сек.