Студопедия

КАТЕГОРИИ:


Архитектура-(3434)Астрономия-(809)Биология-(7483)Биотехнологии-(1457)Военное дело-(14632)Высокие технологии-(1363)География-(913)Геология-(1438)Государство-(451)Демография-(1065)Дом-(47672)Журналистика и СМИ-(912)Изобретательство-(14524)Иностранные языки-(4268)Информатика-(17799)Искусство-(1338)История-(13644)Компьютеры-(11121)Косметика-(55)Кулинария-(373)Культура-(8427)Лингвистика-(374)Литература-(1642)Маркетинг-(23702)Математика-(16968)Машиностроение-(1700)Медицина-(12668)Менеджмент-(24684)Механика-(15423)Науковедение-(506)Образование-(11852)Охрана труда-(3308)Педагогика-(5571)Полиграфия-(1312)Политика-(7869)Право-(5454)Приборостроение-(1369)Программирование-(2801)Производство-(97182)Промышленность-(8706)Психология-(18388)Религия-(3217)Связь-(10668)Сельское хозяйство-(299)Социология-(6455)Спорт-(42831)Строительство-(4793)Торговля-(5050)Транспорт-(2929)Туризм-(1568)Физика-(3942)Философия-(17015)Финансы-(26596)Химия-(22929)Экология-(12095)Экономика-(9961)Электроника-(8441)Электротехника-(4623)Энергетика-(12629)Юриспруденция-(1492)Ядерная техника-(1748)

Свободными (собственными) электромагнитными ко­лебаниями называют такие, которые совершаются без внешнего воздействия за счет первона­чально накопленной энергии

Свободные электромагнитные колебания

Электромагнитные колебания и волны

Лекция 11.

Электростимуляция тканей и органов. Параметры импульсного сигнала и их физиологическое значение. Связь амплитуды, формы им­пульса, частоты следования импульсов, длительности импульсного сигнала с раздражающим действием импульсного тока. Закон Дюбуа-Реймона, уравнение Вейса-Лапика. Аппаратура для электростимуляции. Примеры использования электростимуляции в клинике. Электростимуляция сердца и ее вид.

Электромагнитными (электрическими) колебаниями называ­ют периодические (или почти периодические) взаимосвязанные изменения зарядов, токов и характеристик электриче­ского и магнитного полей Распространение электромагнит­ных колебаний в пространстве происходит в виде электромагнитных волн. Среди различных физических явле­ний электромагнитные колебания и волны занимают особое место Почти вся электротехника, радиотехника и оптика ба­зируется на этих понятиях.

 

 

Рассмотрим колебательный контур, состоящий из резистора R, катушки индуктивности L и конденсатора С (рис. 14.1); сопротивлением проводов и возможным излучением электромагнитных волн пренебрегаем. Конденсатор ключом К заряжается от источника *, а затем разряжается на резистор и катушку индуктивности. При этом в контуре возникает ЭДС

самоиндукции , которая, согласно закону Ома, будет Рис. 14.1 равна сумме напряжений на элементах цепи: на резисторе UR = IR и конденсаторе . Поэтому запишем

(14.1)

Преобразуем это уравнение, поделив все члены на L и учитывая, что и :

(14.2)

Это есть дифференциальное уравнение свободных электроманитных колебаний. Произведя замены:

(14.3)

получим уравнение

(14.4)

Незатухающие колебания. Если контур не содержит резистора (рис. 14.2), то из (14.4) имеем:

(14.5)

 

Известно, что (14.5) является дифференциальным уравнением гармонического колебания, его решение [см. (5.8)] имеет вид

(14.6)

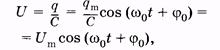
где q m — наибольший (начальный) заряд на обкладках конденсатора, w0 — круговая частота собственных колебаний (собственная круговая частота) контура, j0 — начальная фаза.

По гармоническому закону изменяется не только заряд на обкладках конденсатора, но и напряжение, и сила тока в контуре, соответственно:

Рис. 14.2 (14.7)

(14.8)

где U m и I т — амплитуды напряжения и силы тока.

Графики зависимости заряда (напряжения) от времени аналогичны графику зависимости смещения x(t), а график зависимости силы тока от времени — графику скорости u (t) (см. рис. 5.4).

Из (14.3) найдем выражение для периода собственных колебаний (формула Томсона):

(14.9)

Затухающие колебания. При наличии резистора (рис. 14.1) процесс в контуре описывается уравнением (14.4), которое аналогично уравнению (5.19) для механических колебаний. При условии, что затухание не слишком велико, то есть находим следующее решение [см. (5.20)]:

(14.10)

График этой функции аналогичен графику на рис. 5.6. Если затухание мало (), то w» w0. В этом случае логарифмический декремент затухания

(14.11)

Апериодический разряд конденсатора на резистор (силь­ное затухание). При сильном затуханииили, используя (14.3),

(14.12)

Неравенство (14.12) выполняется, в частности, в контуре при отсутствии индуктивности (L ® 0). Для этого случая (разряд кон­денсатора на резистор) из (14.1) имеем

(14.13)

 

Интегрируя последнее уравнение, находим

(14.14)

Потенцируя второе из выражений (14.14), имеем

(14.15)

 

 

Рис. 14.3

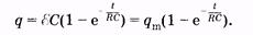
Уравнение (14.15) описывает процесс разрядки конденсатора С на резистор R. При отсутствии индуктивности колебания не воз­никают (рис. 14.3, а). По такому закону изменяется и напряжение на обкладках конденсатора. Теоретически такой процесс, как это следует из (14.15), протекает бесконечно долго, однако принято длительность подобных процессов оценивать временем, в течение которого параметр, характеризующий процесс (в данном случае заряд и напряжение), уменьшится в е раз (постоянная времени, t).

Выражение для постоянной времени можно получить из (14.15), если вместо q подставить , a t заменить на t: откуда для контура с конденсатором и резистором постоянная времени равна

t = RС. (14.16)

Можно показать, что зарядка конденсатора от источника постоянной ЭДС * также происходит по экспоненциальному закону

(14.17)

График этой зависимости представлен на рис. 14.3,6.

 

<== предыдущая лекция | следующая лекция ==>
Нормальное уравнение плоскости | Электростимуляция тканей и органов
Поделиться с друзьями:


Дата добавления: 2014-01-07; Просмотров: 639; Нарушение авторских прав?; Мы поможем в написании вашей работы!


Нам важно ваше мнение! Был ли полезен опубликованный материал? Да | Нет



studopedia.su - Студопедия (2013 - 2026) год. Все материалы представленные на сайте исключительно с целью ознакомления читателями и не преследуют коммерческих целей или нарушение авторских прав! Последнее добавление




Генерация страницы за: 0.012 сек.