Студопедия

КАТЕГОРИИ:


Архитектура-(3434)Астрономия-(809)Биология-(7483)Биотехнологии-(1457)Военное дело-(14632)Высокие технологии-(1363)География-(913)Геология-(1438)Государство-(451)Демография-(1065)Дом-(47672)Журналистика и СМИ-(912)Изобретательство-(14524)Иностранные языки-(4268)Информатика-(17799)Искусство-(1338)История-(13644)Компьютеры-(11121)Косметика-(55)Кулинария-(373)Культура-(8427)Лингвистика-(374)Литература-(1642)Маркетинг-(23702)Математика-(16968)Машиностроение-(1700)Медицина-(12668)Менеджмент-(24684)Механика-(15423)Науковедение-(506)Образование-(11852)Охрана труда-(3308)Педагогика-(5571)Полиграфия-(1312)Политика-(7869)Право-(5454)Приборостроение-(1369)Программирование-(2801)Производство-(97182)Промышленность-(8706)Психология-(18388)Религия-(3217)Связь-(10668)Сельское хозяйство-(299)Социология-(6455)Спорт-(42831)Строительство-(4793)Торговля-(5050)Транспорт-(2929)Туризм-(1568)Физика-(3942)Философия-(17015)Финансы-(26596)Химия-(22929)Экология-(12095)Экономика-(9961)Электроника-(8441)Электротехника-(4623)Энергетика-(12629)Юриспруденция-(1492)Ядерная техника-(1748)

Способи живлення вібраторних антен

Як відомо, антена з'єднується з передавачем або приймачем за допомогою лінії передачі високочастотної енергії - фідерної лінії (фідера). Як фідер використовуються двопровідні лінії, коаксіальні, круглі й прямокутні хвилеводи. Всі вони можуть подаватися довгими лініями з розподіленими параметрами. Найбільш доцільним режимом роботи фідера є режим біжної хвилі, що встановлюється при узгодженні вхідного опору антени із хвильовим опором фідера

Вхідний опір вібраторної антени є комплексним. Його можна зробити чисто активним, регулюючи довжину активного вібратора. Однак величина не завжди збігається із хвильовим опором фідера тому для їхнього вирівнювання застосовують узгоджувальні пристрої.

Для двопроводної лінії найпоширенішим є дельта-трансформатор (рис. 3.16). Він являє собою пристрій із двох розбіжних проводів, включений між суцільним вібратором (без зазору між плечима) і фідером.

Рис. 3.16

 

Оскільки півхвильовий вібратор можна подати у вигляді розгорнутого в сторони відрізка довгої лінії, розімкнутої на одному кінці й короткозамкненої на іншому, тому його вхідний опір залежить від положення точок підключення фідера. Таким чином, регулюється величиною довжини У свою чергу, хвильовий опір фідера теж змінюється при зміні відстані Підбором цих величин можна домогтися рівності

На надвисоких частотах живлення вібраторів здійснюється в основному коаксіальним фідером. Однак безпосереднє приєднання плечей вібратора до такого фідера створює несиметричність живлення (рис. 3.17). До однієї клеми антени підключається центральна жила, а до іншої - зовнішня оболонка (оплітка) коаксіального кабелю. Струм, що тече по центральній жилі, повністю надходить у праве плече. У ліве плече надходить частина загального струму, оскільки інша частина відгалужується на зовнішню поверхню оболонки фідера. У результаті амплітуди струмів у симетричних точках плечей вібратора виявляються різними. Внаслідок асиметрії струмів відбувається спотворення діаграми спрямованості. Крім того, через наявність струму на зовнішньому провіднику коаксіальної лінії виникають паразитні випромінювання.

Рис. 3.17

 

Для забезпечення симетрії розподілу струму застосовуються різні симетруючі пристрої, які або замикають вхід струму на зовнішню поверхню фідера, або компенсують цей струм, або взагалі виключають оболонку фідера з кола живлення вібратора.

Розглянемо деякі типи симетруючих пристроїв.

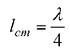
Чвертьхвильовий симетруючий стакан. Це циліндр, радіус якого більше радіуса оболонки (рис. 3.18). Зовнішня поверхня фідера й внутрішня стакана являють собою коаксіальну лінію. Ця лінія має довжину й короткозамкнена на кінці. Вхідний опір стакана Вхідний опір між точками "а" і "б" виявляється дуже великим і струм не може відгалужуватися на зовнішню оболонку фідера, що й забезпечує симетрію живлення.

 

Рис. 3.18

 

Щілинний симетруючий пристрій (рис. 3.19). Зовнішній провідник коаксіального фідера розрізається на кінці із двох сторін щілинами довжиною В результаті утвориться короткозамкнений чвертьхвильовий відрізок двопровідної лінії. Маючи великий вхідний опір, він не дозволяє струмам відгалужуватися на зовнішню оболонку фідера. Оскільки опір між точками "а" і "б" великий, то плечі вібратора на частоті випромінювання електрично розв'язані, незважаючи на гальванічний зв'язок між ними. Краї щілин звичайно роблять такі, що розширюються, щоб забезпечувалося узгодження хвильового опору фідера із вхідним опором вібратора.

Рис. 3.19

 

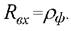
U-Коліно (рис. 3.20). Це вигнутий коаксіальний фідер довжиною до внутрішнього проводу якого приєднуються плечі вібратора. Зовнішня оболонка фідера для живлення плечей не використовується й заземлюється. Напруги й струми в точках "а" і "б" рівні по величині й протилежні по фазі, що й потрібно для симетричного живлення антени. Крім симетруовання U-коліно зменшує вхідний опір вібратора в 4 рази. У зв'язку із цим його зручно застосовувати для живлення петльового вібратора Пістелькорса, вхідний опір якого складає 300 Ом, стандартним фідером з

Рис. 3.20

 

 

<== предыдущая лекция | следующая лекция ==>
Способи розширення смуги пропускання симетричного вібратора | Основні способи холодильної обробки м'яса
Поделиться с друзьями:


Дата добавления: 2014-01-07; Просмотров: 1431; Нарушение авторских прав?; Мы поможем в написании вашей работы!


Нам важно ваше мнение! Был ли полезен опубликованный материал? Да | Нет



studopedia.su - Студопедия (2013 - 2026) год. Все материалы представленные на сайте исключительно с целью ознакомления читателями и не преследуют коммерческих целей или нарушение авторских прав! Последнее добавление




Генерация страницы за: 0.013 сек.