Студопедия

КАТЕГОРИИ:


Архитектура-(3434)Астрономия-(809)Биология-(7483)Биотехнологии-(1457)Военное дело-(14632)Высокие технологии-(1363)География-(913)Геология-(1438)Государство-(451)Демография-(1065)Дом-(47672)Журналистика и СМИ-(912)Изобретательство-(14524)Иностранные языки-(4268)Информатика-(17799)Искусство-(1338)История-(13644)Компьютеры-(11121)Косметика-(55)Кулинария-(373)Культура-(8427)Лингвистика-(374)Литература-(1642)Маркетинг-(23702)Математика-(16968)Машиностроение-(1700)Медицина-(12668)Менеджмент-(24684)Механика-(15423)Науковедение-(506)Образование-(11852)Охрана труда-(3308)Педагогика-(5571)Полиграфия-(1312)Политика-(7869)Право-(5454)Приборостроение-(1369)Программирование-(2801)Производство-(97182)Промышленность-(8706)Психология-(18388)Религия-(3217)Связь-(10668)Сельское хозяйство-(299)Социология-(6455)Спорт-(42831)Строительство-(4793)Торговля-(5050)Транспорт-(2929)Туризм-(1568)Физика-(3942)Философия-(17015)Финансы-(26596)Химия-(22929)Экология-(12095)Экономика-(9961)Электроника-(8441)Электротехника-(4623)Энергетика-(12629)Юриспруденция-(1492)Ядерная техника-(1748)

Виробничий пил, шум, вібрація




ПИЛ. Виробничий пил підрозділяється на органічний і неорганічний. До органічного відноситься рослинний пил (дерев'яна, бавовняна та ін.), тваринний (шерсть та ін.), штучна органічна (пластмасова та ін.). До неорганічного пилу відноситься мінеральна (кварцова, силікатна та ін.), металева (залізна, алюмінієва, бронзова та ін.). Ступінь дисперсності чи розміри частинок пилу визначають тривалість перебування їх у повітрі, а також глибину їх проникнення в органи дихання. Пил надходить всередину організму через органи дихання.

Пил здатний викликати захворювання легень, але також може викликати захворювання інших органів. Професійні захворювання легень, що викликаються пилом називаються пневмоконіозами. Форми цього захворювання різні. Вони визначаються видом пилу.

Найбільш агресивним пилом є кремнієвий, що містить оксиди кремнію. Виходячи з цього, допустимі норми даються за умови вмісту в них оксидів кремнію. При наявності в них понад 70 вільного диоксиду кремнію вміст такого пилу допускається не більше 1 мг/м3, а при вмісті в ньому диоксиду кремнію від 10 до 70 – 2 мг/м3.

Для захисту від негативної дії виробничого пилу на організм працюючих застосовують як колективні, так і індивідуальні методи захисту.

Пил та шкідливі і небезпечні речовини та матеріали за характером дії на працюючого поділяють на:

  • токсичні;
  • подразнюючі;
  • канцерогенні;
  • мутагенні;
  • інертні.

ВІБРАЦІЇ. Природа вібрації енергетична. Причиною вібрації є не зрівноважені сили, які діють при повернено поступальному русі та обертальному. На автомобільному транспорті мають місце різносторонні джерела вібрації. На самому автомобілі та інших дорожніх транспортних засобах їх викликають працюючі двигуни. У виробничих цехах і дільницях вібрації викликаються працюючими двигунами технологічного обладнання та інструментом. Нерівності дороги викликають також вібрації у транспортних засобів, що рухаються по ним.

Нормативними документами за основний оціночний параметр вібрації прийнята швидкість, яка називається віброшвидкістю. В практиці використовують не абсолютне значення вібрації, а відносне. Воно являє собою логарифм відношення абсолютного значення віброшвидкості до так званої стандартної швидкості, яка дорівнює 5e-8 м/с.

Одиниця відносної віброшвидкості називається децибелом (дБ).

За ГОСТ 12.1.012-2004 вібрації підрозділяються на загальні і локальні. Загальні вібрації передаються через опорні поверхні на сидячої чи стоячої людини. Залежно від джерела загальні вібрації підрозділяються на транспортні, транспортно-технологічні і технологічні.

Під дією загальних вібрацій в організмі може бути порушена діяльність центральної нервової системи. Локальні вібрації неблагоприємно відображаються на кровоносних судинах. Цей процес не обмежується місцем безпосереднього контакту частин тіла з джерелом вібрації, а розповсюджується, викликаючи спадки навіть судин серця.

Для захисту від вібрацій використовуються колективні та індивідуальні методи.

ШУМ (за ДСТУ 2325-93) – коливання частинок навколишнього середовища, що сприймається органами слуху людини як небажані сигнали.

Природу шуму складають коливальні процеси у повітряному середовищі. Оцінку шуму виконують за різними параметрами. До них відносяться звуковий тиск, інтенсивність і потужність.

Звуковий тиск являє собою коливання частинок середовища. Звукова інтенсивність є питома величина. Вона являє собою кількість енергії, яка переноситься звуковою хвилею в одиницю часу через одиницю площі, перпендикулярної до напрямку руху звукової хвилі. Звукова потужність - це загальна кількість звукової енергії, яка виділяється джерелом в одиницю часу.

Органи слуху людини реагують пропорційно не на абсолютні величини звукових тиску, інтенсивності і потужності, а на логарифми їх відносин величин, які називаються рівнями.

Рівень інтенсивності звуку визначається за формулою:


де l0 - порогова інтенсивність звуку, яка дорівнює 10 -12 Вт/м2.

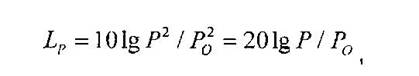
Рівень звукового тиску буде


де Р0 - порогвий звуковий тиск, 2e-5 Па.

Рівень звукової потужності визначається формулою


де W0 - порогове значення звукової потужності, яка дорівнює 10-12 Вт.




Поделиться с друзьями:


Дата добавления: 2014-01-07; Просмотров: 451; Нарушение авторских прав?; Мы поможем в написании вашей работы!


Нам важно ваше мнение! Был ли полезен опубликованный материал? Да | Нет



studopedia.su - Студопедия (2013 - 2026) год. Все материалы представленные на сайте исключительно с целью ознакомления читателями и не преследуют коммерческих целей или нарушение авторских прав! Последнее добавление




Генерация страницы за: 0.013 сек.