Студопедия

КАТЕГОРИИ:


Архитектура-(3434)Астрономия-(809)Биология-(7483)Биотехнологии-(1457)Военное дело-(14632)Высокие технологии-(1363)География-(913)Геология-(1438)Государство-(451)Демография-(1065)Дом-(47672)Журналистика и СМИ-(912)Изобретательство-(14524)Иностранные языки-(4268)Информатика-(17799)Искусство-(1338)История-(13644)Компьютеры-(11121)Косметика-(55)Кулинария-(373)Культура-(8427)Лингвистика-(374)Литература-(1642)Маркетинг-(23702)Математика-(16968)Машиностроение-(1700)Медицина-(12668)Менеджмент-(24684)Механика-(15423)Науковедение-(506)Образование-(11852)Охрана труда-(3308)Педагогика-(5571)Полиграфия-(1312)Политика-(7869)Право-(5454)Приборостроение-(1369)Программирование-(2801)Производство-(97182)Промышленность-(8706)Психология-(18388)Религия-(3217)Связь-(10668)Сельское хозяйство-(299)Социология-(6455)Спорт-(42831)Строительство-(4793)Торговля-(5050)Транспорт-(2929)Туризм-(1568)Физика-(3942)Философия-(17015)Финансы-(26596)Химия-(22929)Экология-(12095)Экономика-(9961)Электроника-(8441)Электротехника-(4623)Энергетика-(12629)Юриспруденция-(1492)Ядерная техника-(1748)

Расчет выхода хлебобулочных изделий

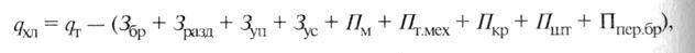
Выход хлеба — это основной технико-экономический показа­тель работы предприятия. Выход — это количество готовой про­дукции, получаемой из 100 кг муки и другого сырья, вносимого в соответствии с утвержденной рецептурой. Выход хлеба (кг) обусловлен выходом теста и технологическими затратами и поте­рями и определяется по формуле

 

где qт — выход теста из 100 кг муки, кг

Технологические затраты 3, кг:

Збр — затраты сухого вещества при брожении полуфабрикатов (опары, теста, заквасок и пр.);

Зразд — затраты муки при разделке;

Зуп — упек;

Зус — усушка.

Технологичес­кие потери П, кг:

Пм — потери муки до начала замеса полуфабрикатов;

Пт.мех — механические потери теста от стадии замеса до посадки тестовых заготовок в печь;

Пкр — потери в виде крошек и лома хлеба;

Пшт — потери от неточности массы штучного хлеба;

Ппер.бр — потери при переработке брака хлеба.

 

 

Технологические затраты неизбежны, поэтому для увеличения выхода хлеба их необходимо сводить к минимуму. Технологичес­кие потери неоправданы и вызваны несовершенством или не­удовлетворительным состоянием оборудования. По возможности их необходимо также сводить к минимуму.

Потери муки Пм зависят от ее распыла при хранении и пере­возке и от отходов при просеивании. Применение бестарного хранения муки в сочетании с пневматическим перемещением существенно (до 0,03 %) снижает эти потери.

Механические потери Пт.мех связаны с потерями тестовой крошки в виде отходов формования и распыляющейся муки через неплотности делительных машин. При замене дежей на тестоприготовительные агрегаты эти потери сокращаются с 0,06 до 0,03 %. Улучшение состояния соответствующего оборудова­ния также снижает их величину.

Затраты сухого вещества на брожение Збр обусловлены умень­шением массы полуфабриката за счет сбраживания углеводов и потерей диоксида углерода, части спирта и летучих кислот. Также они связаны с испарением влаги при замесе, брожении и разделке теста. Суммарные затраты Збр составляют 2,5...3 %. При использовании жидких опар с сокращенным периодом брожения эти затраты снижаются до 1,5...2 %.

Затраты муки при разделке Зразд определяются расходом муки на посыпку рабочих органов тесторазделочного оборудования, для того чтобы не прилипало тесто, и могут быть частично или полностью устранены при обдувке теста воздухом и путем нане­сения на рабочие поверхности водоотталкивающих (антиадгези­онных) покрытий (фторопласт и др.).

Потери в виде крошки и лома при выбивке хлеба из форм, укладке его на лотки и других операциях составляют 0,02...0,03 %; потери от неточности массы штучного хлеба -0,4...1% потери при переработке брака хлеба — 0,02 %.

 

С целью рационального использования муки и снижения про­изводственных потерь для каждого сорта хлеба устанавливаются плановые нормы выхода с учетом степени механизации, мощнос­ти предприятия и других показателей. Норма выхода хлеба зави­сит от рецептуры (при увеличении количества дополнительного сырья — сахара, жира и т. д. — выход хлеба возрастает), от массы хлеба, содержания влаги в муке. Чем меньше влаги в муке, тем больше выход хлеба; изменение содержания влаги на 1 % изменя­ет выход хлеба на 1,6...1,7 %. Норма выхода устанавливается на базисное содержание влаги муки, равное 14,5 %. Повышение выхода хлеба на 1,4... 1,5 % дает экономию 1 % муки.

 

 

<== предыдущая лекция | следующая лекция ==>
Хранение хлеба | Введение. Список дополнительной литературы
Поделиться с друзьями:


Дата добавления: 2014-01-06; Просмотров: 1305; Нарушение авторских прав?; Мы поможем в написании вашей работы!


Нам важно ваше мнение! Был ли полезен опубликованный материал? Да | Нет



studopedia.su - Студопедия (2013 - 2026) год. Все материалы представленные на сайте исключительно с целью ознакомления читателями и не преследуют коммерческих целей или нарушение авторских прав! Последнее добавление




Генерация страницы за: 0.011 сек.