Студопедия

КАТЕГОРИИ:


Архитектура-(3434)Астрономия-(809)Биология-(7483)Биотехнологии-(1457)Военное дело-(14632)Высокие технологии-(1363)География-(913)Геология-(1438)Государство-(451)Демография-(1065)Дом-(47672)Журналистика и СМИ-(912)Изобретательство-(14524)Иностранные языки-(4268)Информатика-(17799)Искусство-(1338)История-(13644)Компьютеры-(11121)Косметика-(55)Кулинария-(373)Культура-(8427)Лингвистика-(374)Литература-(1642)Маркетинг-(23702)Математика-(16968)Машиностроение-(1700)Медицина-(12668)Менеджмент-(24684)Механика-(15423)Науковедение-(506)Образование-(11852)Охрана труда-(3308)Педагогика-(5571)Полиграфия-(1312)Политика-(7869)Право-(5454)Приборостроение-(1369)Программирование-(2801)Производство-(97182)Промышленность-(8706)Психология-(18388)Религия-(3217)Связь-(10668)Сельское хозяйство-(299)Социология-(6455)Спорт-(42831)Строительство-(4793)Торговля-(5050)Транспорт-(2929)Туризм-(1568)Физика-(3942)Философия-(17015)Финансы-(26596)Химия-(22929)Экология-(12095)Экономика-(9961)Электроника-(8441)Электротехника-(4623)Энергетика-(12629)Юриспруденция-(1492)Ядерная техника-(1748)

Типовые звенья дискретных цепей




Практически сложные линейные дискретные цепи высоких порядков выполняются в виде соединения более простых структур - звеньев 1-го и 2-го порядка, составленных на основе канонических структур.

Рис. 1. Звено 1-го порядка.

 

 

Рис.2. Звено 2-го порядка.

 

Типовые звенья могут соединяться каскадно, параллельно, в цепь обратной связи.

 

а) Каскадное соединение. При этом системные функции входящие в соединение, перемножаются (рис. 3).

 

Рис. 3.

 

Y(z) = X(z)[H1(z)*H2(z)*H3(z)]

H(z) = H1(z)*H2(z)*H3(z)

 

б) Параллельное соединение. При этой системные функции складываются (рис. 4).

Рис. 4.

 

Y(z) = X(z)[H1(z)+H2(z)+H3(z)]

H(z) = H1(z)+H2(z)+H3(z)

 

в) Включение цепи с системной функцией H2(z) в цепь обратной связи другой ЛДЦ с системной функцией H1(z) (рис. 5).

 

Рис. 5.

 

 

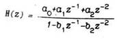
ПРИМЕР 1. Заданы системные функции двух ЛДЦ.

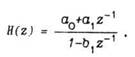
- (рекурсивная цепь) и

- (нерекурсивная цепь).

Определить системную функцию сложной ЛДЦ при различных видах соединения заданных ЛДЦ.

а) При каскадном соединении очевидно:

б) При параллельном соединении:

в) При включении H2(z) в цепь обратной связи ЛДЦ H1(z):

 

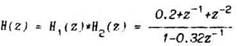
ПРИМЕР 2. Задана системная функция 2 -го порядка:

 

Требуется реализовать эту функцию в виде каскадного соединения двух звеньев 1-го порядка.

 

РЕШЕНИЕ. Найдя корни полиномов числителя и знаменателя, и воспользовавшись теоремой Виета, заданную системную функцию можно представить в виде:

 

 

Структурно-логическая схема реализации, очевидно, будет иметь вид:

Рис. 6.

 




Поделиться с друзьями:


Дата добавления: 2014-01-07; Просмотров: 486; Нарушение авторских прав?; Мы поможем в написании вашей работы!


Нам важно ваше мнение! Был ли полезен опубликованный материал? Да | Нет



studopedia.su - Студопедия (2013 - 2026) год. Все материалы представленные на сайте исключительно с целью ознакомления читателями и не преследуют коммерческих целей или нарушение авторских прав! Последнее добавление




Генерация страницы за: 0.01 сек.