Студопедия

КАТЕГОРИИ:


Архитектура-(3434)Астрономия-(809)Биология-(7483)Биотехнологии-(1457)Военное дело-(14632)Высокие технологии-(1363)География-(913)Геология-(1438)Государство-(451)Демография-(1065)Дом-(47672)Журналистика и СМИ-(912)Изобретательство-(14524)Иностранные языки-(4268)Информатика-(17799)Искусство-(1338)История-(13644)Компьютеры-(11121)Косметика-(55)Кулинария-(373)Культура-(8427)Лингвистика-(374)Литература-(1642)Маркетинг-(23702)Математика-(16968)Машиностроение-(1700)Медицина-(12668)Менеджмент-(24684)Механика-(15423)Науковедение-(506)Образование-(11852)Охрана труда-(3308)Педагогика-(5571)Полиграфия-(1312)Политика-(7869)Право-(5454)Приборостроение-(1369)Программирование-(2801)Производство-(97182)Промышленность-(8706)Психология-(18388)Религия-(3217)Связь-(10668)Сельское хозяйство-(299)Социология-(6455)Спорт-(42831)Строительство-(4793)Торговля-(5050)Транспорт-(2929)Туризм-(1568)Физика-(3942)Философия-(17015)Финансы-(26596)Химия-(22929)Экология-(12095)Экономика-(9961)Электроника-(8441)Электротехника-(4623)Энергетика-(12629)Юриспруденция-(1492)Ядерная техника-(1748)

Экономика. Конспект лекций. 1. Содержание и условия общего макроэкономического равновесия.Множество разнотипных рынков, существующих в экономике




МАКРОЭКОНОМИЧЕСКОЕ РАВНОВЕСИЕ В НАРОДНОМ ХОЗЯЙСТВЕ

1. Содержание и условия общего макроэкономического равновесия. Множество разнотипных рынков, существующих в экономике, переплетены в сложную национальную рыночную систему, где изменения на одном рынке влекут за собой многочисленные и значительные изменения на других. Национальное рыночное хозяйство в целом, подобно частичным рынкам, характеризуется общим равновесием.

Общее экономическое равновесие (ОЭР) – устойчивое состояние экономики, при котором: 1) потребители максимизируют значение функции полезности; 2) производители максимизируют полученную прибыль; 3) рыночные цены обеспечивают равенство спроса и предложения; 4) ресурсы в обществе разделены эффективно.

В основе ОЭР лежит механизм саморегулирования. Макроэкономическое равновесие всей национальной экономики позволяет поддерживать:

– динамичный устойчивый рост национального производства;

– стабильный уровень цен на основе свободного рыночного ценообразования и контроля инфляции;

– высокий уровень занятости;

– равновесный внешнеторговый баланс страны.

2. Теоретические взгляды на равновесие в народном хозяйстве. Впервые на возможность ОЭР в экономике обратил внимание А. Смит в середине XVIII в., высказав предположение о «невидимой руке провидения», которое направляет корыстные действия людей к общему благу. Последователи А. Смита (неоклассическая школа) исходят из автоматизма в формировании ОЭР, так как предложение товаров, по их мнению, создает спрос: ведь никто не будет производить товары и выносить их на рынок, если их там никто не купит. Поэтому ОЭР соблюдается при

AS=AD,(15)

где AS– совокупное предложение; AD– совокупный спрос.

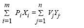
Механизм перехода с макроэкономического уровня равновесия к ОЭР в рамках этой концепции разработал Л. Вальрас (см. вопрос 33). Общее экономическое равновесие по Л. Вальрасу:

(16)

 

где m– перечень благ; n– перечень факторов, затраченных на производство товара; xn– количество произведенных благ; p1...pn– цены произведенных благ; y1...yn– цены проданных факторов; y1...yn– проданные и потребленные факторы.

"Экономика. Конспект лекций"

Из формулы следует, что общее предложение конечных продуктов в денежном выражении должно быть равно общему спросу на них в виде суммы доходов, полученных их собственниками.

Д.М. Кейнс, исходя из опыта Великой депрессии 30-х гг. XX в., обосновал невозможность достижения ОЭР без государственного вмешательства в экономику. Он же доказал, что равновесие между AD и AS является производным от баланса инвестиций и сбережений в экономике. Следовательно, по Д.М. Кейнсу ОЭР соблюдается при

S = I,(17)

где S– общие сбережения населения; I– общие инвестиции в экономику.

3. Моделирование равновесия. Как и на многие другие хозяйственные процессы, протекающие в рыночной экономике, в современной экономической теории нет единства взглядов в отношении ОЭР. Однако их можно свести к двум позициям: а) классическому подходу и б) кейнсианскому подходу.

Каждая из перечисленных концепций имеет свою модель ОЭР. Классическая модель ОЭР предполагает:

а) экономику совершенной конкуренции;

б) полную саморегуляцию рынка;

в) деньги как счетную единицу;

г) полную занятость населения и полную загрузку производственных мощностей;

д) результатом производства является производственная функция лишь по одному единственному фактору – труду.

По этой модели формирование ОЭР будет происходить следующим образом (рис. 8):

 

Рис. 8. Классическая модель ОЭР

ND– спрос на труд; NS– предложение труда.

В квадранте III формируется равновесие на рынке труда, где устанавливается ставка заработной платы (W1) и количество занятых (N1).

В квадранте IV путем проецирования равновесного значения занятых (N1)на кривую производственных возможностей y (N)получаем равновесный объем национального продукта.

В квадранте I равновесный объем национального продукта предполагает равенство совокупного предложения со спросом. Совокупное предложение представлено вертикальной линией AS, так как в условиях полной занятости производство максимально загружено и не может быть увеличено. Пересечение AS и AD дает не только равновесный объем прозиводства у, но и равновесную цену (P1).

В квадранте II откладывается равновесная цена труда, которая, как и цена товара в квадранте I, зависит от количества денег в обращении, т. е. MV = PQ. Если предложение денег вырастет, то равновесие не нарушится, а лишь перейдет на более высокий уровень цен. Именно это и демонстрируют сдвиги кривых AD к AD? и W к W? квадрантах I и II.

В целом классическая модель при одновременном равновесном состоянии рынков факторов производства, денег и благ показывает возможность достижения ОЭР.

Кейнсианцы, определяя ОЭР, исходят из отличных от классической школы суждений:

а) в экономике отсутствует гибкость цен и полная саморегуляция, что вызывает необходимость вмешательства государства (опосредованно, через экономическую политику);

"Экономика. Конспект лекций"

б) не предложение предопределяет спрос, а наоборот. Поэтому исходным является не рынок труда (квадрант III), а рынок благ (квадрант I);

в) рынок денег не отделен от остальных рынков, а цены являются не номинальными величинами, а важным фактором формирования ОЭР.




Поделиться с друзьями:


Дата добавления: 2014-01-07; Просмотров: 221; Нарушение авторских прав?; Мы поможем в написании вашей работы!


Нам важно ваше мнение! Был ли полезен опубликованный материал? Да | Нет



studopedia.su - Студопедия (2013 - 2026) год. Все материалы представленные на сайте исключительно с целью ознакомления читателями и не преследуют коммерческих целей или нарушение авторских прав! Последнее добавление




Генерация страницы за: 0.015 сек.