Студопедия

КАТЕГОРИИ:


Архитектура-(3434)Астрономия-(809)Биология-(7483)Биотехнологии-(1457)Военное дело-(14632)Высокие технологии-(1363)География-(913)Геология-(1438)Государство-(451)Демография-(1065)Дом-(47672)Журналистика и СМИ-(912)Изобретательство-(14524)Иностранные языки-(4268)Информатика-(17799)Искусство-(1338)История-(13644)Компьютеры-(11121)Косметика-(55)Кулинария-(373)Культура-(8427)Лингвистика-(374)Литература-(1642)Маркетинг-(23702)Математика-(16968)Машиностроение-(1700)Медицина-(12668)Менеджмент-(24684)Механика-(15423)Науковедение-(506)Образование-(11852)Охрана труда-(3308)Педагогика-(5571)Полиграфия-(1312)Политика-(7869)Право-(5454)Приборостроение-(1369)Программирование-(2801)Производство-(97182)Промышленность-(8706)Психология-(18388)Религия-(3217)Связь-(10668)Сельское хозяйство-(299)Социология-(6455)Спорт-(42831)Строительство-(4793)Торговля-(5050)Транспорт-(2929)Туризм-(1568)Физика-(3942)Философия-(17015)Финансы-(26596)Химия-(22929)Экология-(12095)Экономика-(9961)Электроника-(8441)Электротехника-(4623)Энергетика-(12629)Юриспруденция-(1492)Ядерная техника-(1748)

Динамічні характеристики

Сигнал порушення

Сигнал порушення — це електричний сигнал, необхідний активному датчику для роботи. Сигнал порушення описується інтервалом напруг і/або струму. Для деяких типів датчиків також необхідно вказувати частоту сигналу порушення і його стабільність. Вихід сигналу порушення за наведені межі може привести до зміни передатної функції датчика, і, отже, до викривлення вихідного сигналу. Приведемо приклад опису сигналу порушення:

Максимальний струм, що протікає через термістор:

У повітрі без збурень:........................ 50 мкА,

У воді:.................................................. 200 мкА.

 

У стаціонарних умовах датчик повністю описується своєю передатною функцією, діапазоном вимірюваних значень, каліброваними коефіцієнтами і т.д. Однак на практиці вихідний сигнал датчика не завжди досить точно відслідковує зміна зовнішнього сигналу. Причини цього полягають як у самому датчику, так і в його з'єднанні із джерелом зовнішніх впливів, що не дозволяє сигналам поширюватися з нескінченно великою швидкістю Можна сказати, що будь-який датчик має параметри, що залежать від часу, називаними динамічними характеристиками. Якщо датчик має обмежена швидкодія, він може реєструвати значення зовнішніх впливів, що відрізняються від реальних - динамічна погрішність.

Час розігріву — це час між подачею на датчик електричної напруги або сигналу порушення й моментом, коли датчик починає працювати, забезпечуючи необхідну точність вимірів. Багато датчиків мають несуттєвий час розігріву. Однак деякі детектори, що особливо працюють у пристроях з контрольованою температурою (термостатах), для свого розігріву вимагають секунди, а то й хвилини.

У теорії автоматичного керування прийнято описувати взаємозв'язок між входами й виходами пристрою у вигляді лінійних диференціальних рівнянь із постійними коефіцієнтами. Очевидно, що при розв'язку таких рівнянь можна визначити динамічні характеристики пристрою. Залежно від конструкцій датчиків, рівняння, що описують їх, можуть мати різний порядок.

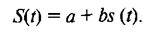
Датчики нульового порядку, що мають лінійну передатну функцію, можна описати наступними залежностями від часу t:

Коефіцієнт а називається зсувом, а b — статичною чутливістю. З виду рівняння видне, що воно описує датчики до складу яких не входять енергонакопичувальні елементи, такі як конденсатори або маси. Датчики нульового порядку ставляться до пристроїв миттєвої дії. Іншими словами, у таких датчиків немає необхідності визначати динамічні характеристики.

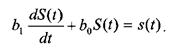
Диференціальні рівняння першого порядку описують поведінка датчиків, до складу яких входить один енергонакопичувальний елемент. Такі рівняння мають вигляд:

Типовий приклад датчика першого порядку - датчик температури, у якому роль енергонакопичувального елемента відіграє теплоємність. Для опису датчиків першого порядку існує кілька способів. Але виробники датчиків для цього найчастіше використовують частотні характеристики, що показують наскільки швидко датчик може зреагувати на зміну зовнішнього впливу. Для відображення відносного зменшення вихідного сигналу при збільшенні частоти застосовується амплітудно-частотна характеристика (рис.4.11А).

Рис. 4.11. Частотні характеристики: А - частотна характеристика датчика першого порядку; Б частотна характеристика датчика з обмеженням по верхній та нижній частоті зрізу, де tu та tL – відповідні постійні години.

 

Частотні характеристики прямо пов'язані зі швидкодією датчика, що виражається в одиницях зовнішнього впливу на одиницю часу. Які характеристики: АЧХ або швидкодія, використовуються для опису датчика, залежить від його типу, області застосування й переваг розроблювача.

Інший спосіб опису швидкодії полягає у визначенні часу, необхідного для досягнення вихідним сигналом датчика рівня 90% від стаціонарного або максимального значення при подачі на його вхід східчастого зовнішнього впливу. Для датчиків першого порядку дуже зручно використовувати параметр, називаний постійної часу. Постійна часу г є заходом інерційності датчика. У термінах електричних величин вона дорівнює добутку ємності на опір: t = CR. У теплових термінах під С и Л розуміються теплоємність і тепловий опір. Як правило, постійна часу досить легко виміряється. Тимчасова залежність системи першого порядку має вигляд:

де S -, що встановилося значення вихідного сигналу, t - час, а е - підстава натурального логарифма. Заміняючи t на t, одержуємо:

Іншими словами можна сказати, що після закінчення часу, рівного постійної часу, вихідний сигнал датчика досягає рівня, що становить приблизно 63% від значення, що встановилося. Аналогічно можна показати, що після закінчення часу, рівного двом постійним часу, рівень вихідного сигналу складе 86.5%, а після трьох постійних часу — 95%.

Частота зрізу характеризує найменшу або найбільшу частоту зовнішніх впливів, яку датчик може сприйняти без викривлень. Верхня частота зрізу показує наскільки швидко датчик реагує на зовнішній вплив, а нижня частота зрізу — з яким самим повільним сигналом він може працювати. На рис.4.11Б показана характеристика датчика, який має обмеження як по верхній, так і по нижній частоті зрізу. На практиці для встановлення зв'язку між постійною часу датчика першого порядку і його частотою зрізу f, як верхньої так і нижньої:

Фазове зрушення на певній частоті показує наскільки вихідний сигнал відстає від зовнішнього впливу (рис.4.11А). Зрушення виміряється або в градусах, або в радіанах і звичайно вказується для датчиків, що працюють із періодичними сигналами. Якщо датчик входить до складу вимірювальної системи зі зворотними зв'язками, завжди необхідно знати його фазові характеристики. Фазове зрушення датчика може знизити запас по фазі всієї системи в цілому й привести до виникнення нестабільності.

Диференціальні рівняння другого порядку описують поведінка датчиків із двома енергонакопичувальними елементами:

Прикладом датчика другого порядку є акселерометр, до складу якого входить маса й пружина.

На виходах датчиків другого порядку після подачі на їхні входи східчастого впливу практично завжди з'являються коливання. Ці коливання можуть бути дуже короткочасними, тоді говорять, що датчик демпфірован, або вони можуть тривати тривалий час, а то й постійно. Тривалі коливання на виході датчика є свідченням його неправильної роботи, тому їх треба намагатися уникати. Будь-який датчик другого порядку характеризується резонансною(власною) частотою, яка виражається в герцах або радіанах у секунду. На власній частоті відбувається значне збільшення вихідного сигналу датчика. Звичайно виробники вказують значення власної частоти датчика і його коефіцієнт загасання (демпфірування). Від резонансної частоти залежать механічні, теплові й електричні властивості детекторів. Звичайно робітник частотний діапазон датчиків вибирається або значно нижче власної частоти (принаймні на 60%), або вище її. Однак для деяких типів датчиків резонансна частота є робочою. Наприклад, детектори руйнування скла, використовувані в охоронних системах, настроюються на вузьку смугу частот у зоні частоти резонансу, характерну для акустичного спектра, виробленого склом, що розбиваються.

Демпфірування — це значне зниження або придушення коливань у датчиках другого й більш високих порядків. Коли вихідний сигнал установлюється досить швидко й не виходить за межі стаціонарного значення, говорять, що система має критичне загасання, а її коефіцієнт демпфірування рівний 1 (рис.4.12). Коли коефіцієнт загасання менше 1, і вихідний сигнал перевищує значення, що встановилося, говорять, що система недодемпфірована. А коли коефіцієнт загасання більше 1, і сигнал установлюється набагато повільніше, чим у системі із критичним загасанням, говорять, що система передемпфірована.

Для коливального вихідного сигналу, показаного на рис.2.10, коефіцієнт загасання або демпфірування визначається абсолютним значенням відносини більшої амплітуди до меншої пари послідовно взятих півхвиль коливань щодо значення, що встановилося, тобто можна записати:

 

Рис. 4.12. Вид вихідних сигналів у датчиках з різним коефіцієнтом демпфування

 

На рис.4.13 наведені можливі варіанти вихідних сигналів датчиків у відповідь на східчастий зовнішній вплив.

  Рис. 4.13 Варіанти вихідних сигналів: А – нескінченні верхня та нижні частоти; В – система першого порядку з обмеженою верхньою частотою зрізу; З – система першого порядку з обмеженою нижньою частотою зрізу; D - система першого порядку з обмеженням по верхній та нижні частоті зрізу; Е – система з вузькою полосою частот (резонансна система); F - широкополосна система з резонансом.

 

<== предыдущая лекция | следующая лекция ==>
Вихідний імпеданс | Фактори навколишнього середовища
Поделиться с друзьями:


Дата добавления: 2014-01-07; Просмотров: 1411; Нарушение авторских прав?; Мы поможем в написании вашей работы!


Нам важно ваше мнение! Был ли полезен опубликованный материал? Да | Нет



studopedia.su - Студопедия (2013 - 2026) год. Все материалы представленные на сайте исключительно с целью ознакомления читателями и не преследуют коммерческих целей или нарушение авторских прав! Последнее добавление




Генерация страницы за: 0.007 сек.