Студопедия

КАТЕГОРИИ:


Архитектура-(3434)Астрономия-(809)Биология-(7483)Биотехнологии-(1457)Военное дело-(14632)Высокие технологии-(1363)География-(913)Геология-(1438)Государство-(451)Демография-(1065)Дом-(47672)Журналистика и СМИ-(912)Изобретательство-(14524)Иностранные языки-(4268)Информатика-(17799)Искусство-(1338)История-(13644)Компьютеры-(11121)Косметика-(55)Кулинария-(373)Культура-(8427)Лингвистика-(374)Литература-(1642)Маркетинг-(23702)Математика-(16968)Машиностроение-(1700)Медицина-(12668)Менеджмент-(24684)Механика-(15423)Науковедение-(506)Образование-(11852)Охрана труда-(3308)Педагогика-(5571)Полиграфия-(1312)Политика-(7869)Право-(5454)Приборостроение-(1369)Программирование-(2801)Производство-(97182)Промышленность-(8706)Психология-(18388)Религия-(3217)Связь-(10668)Сельское хозяйство-(299)Социология-(6455)Спорт-(42831)Строительство-(4793)Торговля-(5050)Транспорт-(2929)Туризм-(1568)Физика-(3942)Философия-(17015)Финансы-(26596)Химия-(22929)Экология-(12095)Экономика-(9961)Электроника-(8441)Электротехника-(4623)Энергетика-(12629)Юриспруденция-(1492)Ядерная техника-(1748)

Determining Changes in Blood Volume in the Thorax

To relate blood volume changes to impedance changes, we use the simplified model of the thorax, described in Figure 25.5. We designate the cross sections of blood and tissue and their longitudinal impedances by A b, A t, Z b, and Z t, respectively. The total longitudinal impedance of the model is

(25.6)

 

where Z = longitudinal impedance of the model
  Z b = impedance of the blood volume
  Z t = impedance of the tissue volume


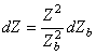
The relationship between the impedance change of the thorax and the impedance change of the blood volume is found by differentiating Equation 25.6 with respect to Z b:

(25.7)

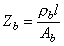
The impedance of the blood volume with blood resistivity rb based on the cylindrical geometry of Figure 25.5, is:

(25.8)

 

where rb = blood resistivity
  A b = cross-section of the blood area
  l = length of the thorax model


The relationship between changes in blood volume v b and the blood volume impedance is found by solving for the blood volume in Equation 25.8 and differentiating:

(25.9)

 

where v b = blood volume


We finally derive the dependence of the change in blood volume on the change in thoracic impedance by solving for dZ b in Equation 25.7 and substituting it into Equation 25.9:

(25.10)

 

     
 
Лекция 11. ИМПЕДАНСНЫЙ МЕТОД РЕГИСТРАЦИИ ЧАСТОТЫ ДЫХАНИЯ в мониторах  
 
   

 

 

 


<== предыдущая лекция | следующая лекция ==>
Simplified Model of the Impedance of the Thorax | Послеоперационный период
Поделиться с друзьями:


Дата добавления: 2014-01-07; Просмотров: 357; Нарушение авторских прав?; Мы поможем в написании вашей работы!


Нам важно ваше мнение! Был ли полезен опубликованный материал? Да | Нет



studopedia.su - Студопедия (2013 - 2026) год. Все материалы представленные на сайте исключительно с целью ознакомления читателями и не преследуют коммерческих целей или нарушение авторских прав! Последнее добавление




Генерация страницы за: 0.01 сек.