Студопедия

КАТЕГОРИИ:


Архитектура-(3434)Астрономия-(809)Биология-(7483)Биотехнологии-(1457)Военное дело-(14632)Высокие технологии-(1363)География-(913)Геология-(1438)Государство-(451)Демография-(1065)Дом-(47672)Журналистика и СМИ-(912)Изобретательство-(14524)Иностранные языки-(4268)Информатика-(17799)Искусство-(1338)История-(13644)Компьютеры-(11121)Косметика-(55)Кулинария-(373)Культура-(8427)Лингвистика-(374)Литература-(1642)Маркетинг-(23702)Математика-(16968)Машиностроение-(1700)Медицина-(12668)Менеджмент-(24684)Механика-(15423)Науковедение-(506)Образование-(11852)Охрана труда-(3308)Педагогика-(5571)Полиграфия-(1312)Политика-(7869)Право-(5454)Приборостроение-(1369)Программирование-(2801)Производство-(97182)Промышленность-(8706)Психология-(18388)Религия-(3217)Связь-(10668)Сельское хозяйство-(299)Социология-(6455)Спорт-(42831)Строительство-(4793)Торговля-(5050)Транспорт-(2929)Туризм-(1568)Физика-(3942)Философия-(17015)Финансы-(26596)Химия-(22929)Экология-(12095)Экономика-(9961)Электроника-(8441)Электротехника-(4623)Энергетика-(12629)Юриспруденция-(1492)Ядерная техника-(1748)

Модели изъятия

Вступ

Контрольні запитання.

1. Що називається визначником, мінором визначника, алгебраїчним доповненням?

2. Назвіть основні властивості визначників?

3. Сформулюйте методи обчислення визначників і поясніть їх суть.

Автоматика – це ділянка науки і техніки, яка займається теорією і принципами побудови систем керування без участі людини.

Автоматизація – це галузь техніки, яка займається застосуванням методівта засобів автоматьики для переведення технологічного процесу на автоматичне керування, тобто це заміна фізичної і розумової праці людини автоматичним регулюванням і керуванням.

Керування – це комплекс операцій, необхідних для забезпечення заданого ходу технологічного процесу, вимагаючи пуск і зупинку процесу.

Процес керування складається з багатьох елементарних операцій, які, за їх призначенням, можна обєднати в три групи

- Отримання і обробка інформації про фактичний стан технологічного процесу;

- Аналіз отриманої інформації і прийняття необхідного рішення про вплив на процес;

- Здійснення (реалізація) прийнятого рішення, тобто вплив (дія) на технологічний процес зміною матеріальних або енергетичних потоків.

У виробничому процесі розрізняють автоматичні та автоматизовані системи

Автоматичні системи функціонують самостійно, без участі людини

Автоматизовані системи у свому складі мають людину-оператора, як одну з ланок системи, яка виконує в виробничому процесі певні функції вручну

При цьому слід зауважити, що такі операції, які виконуються оператором вручну – профілактика обладнання, виявлення неполадок, ремонтні роботи по обслуговуванню системи і т. п., не відносяться до операцій функціонування системи в вибраному процесі.

Ступені (стадії) автоматизації

- Часткова

- Комплексна

- Повна

Часткова – автоматизовані основні виробничі процеси. Задача керування на цьому ступені зводиться до стабілізації заданих технологічних режимів в окремих апаратах (установках). Вона вирішується з длплмогою локальних систем автоматичного регулювання різноманітних технологічних параметрів, як температура, тиску, рівня,витрати, складу і т. п. (локальний – місцевий, той що не виходить за певні межі, обмежений рамками певного обєкту)

Комплексна – повністю автоматизований процес керування. Ручне керування залишається тільки для пуску і зупинки технологічного процесу і виведення технологічного апарату, або системи апаратів з аварійного стану. На цьому ступені автоматизації технологічних процесів обєднані у відділи та цехи. Завдання курування звадиться до забезпечення отримання продукції, необхідної якості при мінімальних затратахна її виробництво.

Системи керування на цьомуступені є складнішими за своєю структурою і функціональними характеристиками, вони вирішують задачі автоматичного розподілу навантаження між агрегатами, здійснюють пошук оптимальних технологічних режимів і видають завдання на локальні системи автоматичного регулювання для підтримання цих режимів.

Повна – всі операції ведуться автоматично. Цей ступінь забезпечує керуванняхімічним чи іншим виробництвом в цілому. Керування на цьому ступені включає в себе вирішення планово-економічних завдань, які визначають ефективність роботи цього виробництва.

Вирішення перерахованих вище задач на більш високих ступенях автоматизації (другому і третьому) неможливе без чіткого функціонування локальних САР, які здійснюють безпосередньо дію на технологічні процеси.

Це ставить високі вимоги до якості та надійності локальних САР.

Якість локальних процесів САР визначається вибором раціональної схеми автоматичного регулювання і законів регулювання технологічними процесами.

При цьому необхідно знати як властивості типових хіміко-технологічних процесів, так і автоматичних регуляторів, які застосовуються для їх автоматизації.

КОРИСТЬ від автоматизації виробничих процесів

1. Підвищення продуктивності праці

2. Підвищення екологічності установок

3. Полегшення умов праці та підвищення культури виробництва

4. Підвищення надійності роботи технологічного обладнання і зниження аварійності.

ПРИСТРОЇ (елементи) автоматизації

1. Пристрої автоматичного технологічного контролю

2. Пристрої автоматичного регулювання

3. Пристрої дистанційного керування

4. Пристрої автоматичного захисту та автоматичного ввімкнення резерву (АВР)

5. Пристрої автоматичного блокування

6. Пристрої автоматичного сигналізації

7. Пристрої автоматичного керування.

Системи автоматичного контролю здійснюють без участі людини контроль різних параметрів та величин, які характеризують роботу технологічного агрегату, установки, або протікання технологічного процесу. Тобто служать для отримання інформації про стан об’єкту і умови його роботи.

В більшості випадків система автоматичного контролю однієї величини складається з чотирьох елементів об’єкту, чутливого елементу, лінії зв’язку, і вимірювального пристрою.

ВС- вимірювальна схема

В(Р)П- відліковий (реєструючий) пристрій

Чутливий елемент розміщають безпосередньо в об’єкті контролю. Він сприймає величину параметру і перетворює її в відповідний сигнал, який надходить по лінії зв’язку до вимірювального пристрою.

Зі схеми видно, що передача сигналів від об’єкту до вимірювального пристрою йде тільки в одному напрямку. Такі системи автоматичного контролю називають розімкнутими.

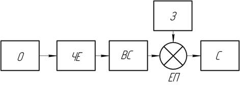
Системи автоматичного регулювання призначені для автоматичного підтримання параметрів процесу (стабілізуючі регулятори), а також для зміни їх за наперез заданим або невідомим законом (програмні, слідкуючі та екстремальні регулятори).

 

Приклад структурної схеми замкнутої САР

 

ВМ- виконавчий механізм

ЕП- елемент порівняння

З- блок завдання

ВС- вимірювальна схема

 

стабілізатор

програмні

слідкуючі або екстремальні

Системи автоматичного захисту служать для запобігання виникнення аварійних ситуацій в технологічних агрегатах і пристроях. В тому випадку коли якась величина що характеризує поведінку автоматизованого агрегату, досягнула свого критичного значення, система автоматичного захисту без участі людини діє на агрегат і частково, або повністю припиняє його роботу.

ЕЗ- елемент захисту

 

Системи автоматичного блокування служать для запобігання неправильної послідовності вмикань і вимикань механізмів, машин та апаратів.

Системи автоматичної сигналізації призначені для повідомлення обслуговуючого персоналу про стан того чи іншого технологічного обладнання, або по те як протікає той чи інший процес.

С- блок сигналізації

 

 

При досягненні контролюючим параметром, який сформував блок завдань З заданого значення в блоці сигналізації С утворюються акустичні, або оптичні сигнали, які сприймає людина. Для порівняння заданого і контрольованого параметру застосовується ЕП.

 

Инвестор имеет намерение достичь определенной величины фиксированного остаточного имущества и максимизировать уровень изъятий на основе данной временной структуры. Следовательно, его цель выглядит следующим образом:

max Y,

а правило принятия решения инвестором всегда формулируется следующим образом: осуществлять следует ту из инвестиций, которая обещает максимальный уровень доходов.

Необходимо проанализировать, как можно рассчитать уровень доходов Y инвестора, который:

учитывает определенный ряд базовых платежей М0, М1, …, МТ;

хочет иметь определенное остаточное имущество СТ;

желает иметь определенную временную структуру своих доходов f0, f1, fT;

осуществляет инвестицию, характеризующуюся денежным потоком z0, z1, zT;

осуществляет дополняющие инвестиции по ставкам процента h0, h1, hT;

осуществляет дополняющее заимствование по ставкам процента s0, s1, sT.

 

Общие правила расчета

В целях упрощения будем исходить из того, что не существуют ограничения по заимствованию. Если начать расчет с любым уровнем изъятия Y1 и определим, что фактическое остаточное имущество при этом уровне больше (меньше) желаемого остаточного имущества, то следует лишь повысить (снизить) уровень изъятия на подходящую величину и возобновить процедуру с соответственно измененным уровнем Y2. этот процесс следует повторять до тех пор, пока не будет определен «правильный» уровень доходов с достаточной точностью.

С помощью этого метода можно всегда найти достигаемый благодаря одной инвестиции уровень изъятия независимо от того, какую форму денежного потока имеет инвестиция и независимо от того, какую величину имеют остальные значимые для расчета данные. Единственная предпосылка, которая должна быть выполнена, формулируется следующим образом: вектор структуры изъятия должен иметь хотя бы один отличающийся от нуля элемент.

Если инвестор действует на несовершенном рынке капитала, то он может осуществить дополняющие инвестиции и заимствования на любую сумму, но при этом проценты по заимствованию выше, чем проценты по инвестированию.

Методика расчета достигаемого уровня доходов, который обеспечивает одна инвестиция, следующая:

1. Определяем величину Yk, которая приведет к большому остаточному имуществу (CT,k > CT) и Yk+1, которая приведет к маленькому остаточному имуществу (CT,k+1 < CT).

2. Далее рассчитаем Yk+2 с помощью линейной интерполяции. Формула интерполяции в этом случае выглядит следующим образом:

i. Yk+2 = Yk + (CT - CT,k) * (Yk+1 - Yk) / (CT,k+1 - CT,k) (1)

3. Если CT,k+2 достаточно близко по величине к желаемому остаточному имуществу CT, то расчеты можно завершить. В противном случае подставить Yk = Yk+2 и CT,k = CT,k+2 и рассчитать новый Yk+2 с помощью формулы (1).

 

Пример. Инвестор имеет плановый период, равный Т = 5 лет. Желаемое конечное остаточное имущество составляет С5 = 1500. остальные данные представлены в табл. 9.

Таблица 9. Исходная информация, располагаемая инвестором, который стремиться к максимальному доходу на несовершенном рынке капитала

Момент времени            
Базовые платежи            
Инвестиционный проект -1000          
Временная структура изъятий 1,0 1,2 1,0 1,2 1,4 1,6
Проценты по инвестированию   0,07 0,07 0,07 0,08 0,08
Проценты по заимствованию   0,11 0,11 0,12 0,12 0,12

 

Решение. Используя уровень изъятия Y1 = 100 рассчитаем связанное с ним изъятие остаточного имущества CT,1. Получим:

С0,1 = 500 – 1,0*100 – 1000 = -600,00

С1,1 = 100 – 1,2 *100 +200 – 1,11 * 600,00 = -486,00

С2,1 = 100 – 1,0 * 100 + 400 – 1,11 * 486,00 = -139,46

С3,1 = 100 – 1,2 * 100 + 600 – 1,12 * 139,46 = 423,80

С4,1 = 100 – 1,4 * 100 + 700 + 1,08 * 423,80 = 1117,71

С5,1 = 300 – 1,6 * 100 + 800 + 1,08 * 1117,71 = 2147,13

Очевидно, что Y1 слишком мало. Следующее значение – Y2 = 200. В результате расчетов получим:

С0,2 = 500 – 1,0 * 200 – 1000 = -700,00

С1,2 = 100 – 1,2 * 200 + 200 – 1,11 700,00 = -717,00

С2,2 = 100 – 1,0 * 200 + 400 – 1,11 * 717,00 = -495,87

С3,2 = 100 – 1,2 * 200 + 600 – 1,12 * 495,87 = -95,37

С4,2 = 100 – 1,4 * 200 + 700 – 1,12 * 95,37 = 413,18

С5,2 = 300 – 1,6 * 200 + 800 + 1,08 * 413,18 = 1226,25.

Y2 слишком велико. Поэтому сделаем первую интерполяцию, в результате чего получим:

Y3 = 100 + (1500 – 2147,13) * (200 – 100) / (1226,25 – 2147,13) = 170,27.

Рассчитаем остаточное имущество для полученного уровня изъятия:

С0,3 = 500 – 1,0 * 170,27– 1000 = -670,27

С1,3 = 100 – 1,2 * 170,27+ 200 – 1,11 * 670,27 = -648,32

С2,3 = 100 – 1,0 * 170,27+ 400 – 1,11 * 648,32 = -389,91

С3,3 = 100 – 1,2 * 170,27+ 600 – 1,12 * 389,91= 58,98

С4,3 = 100 – 1,4 * 170,27+ 700 – 1,12 * 58,987 = 625,32

С5,3 = 300 – 1,6 * 170,27+ 800 + 1,08 * 625,32 = 1502,91.

Y3 все еще мало. Следует осуществить вторую итерацию и получим значение нового уровня изъятия:

Y4 = 170,27 + (1500 – 1502,91) * (200 – 170,27) / (1226,25 – 1502,91) = 170,58

Соответствующее этому уровню изъятия остаточное имущество составляет:

С0,4 = 500 – 1,0 * 170,58 – 1000 = -670,58

С1,4 = 100 – 1,2 * 170,58 + 200 – 1,11 * 670,58 = -649,05

С2,4 = 100 – 1,0 * 170,58 + 400 – 1,11 * 649,05 = -391,02

С3,4 = 100 – 1,2 * 170,58 + 600 – 1,12 * 391,02 = 57,35

С4,4 = 100 – 1,4 * 170,58 + 700 – 1,12 * 57,35 = 623,13

С5,4 = 300 – 1,6 * 170,58 + 800 + 1,08 * 623,13 = 1500,04.

Полученный результат достаточно точен, поэтому дальнейшие расчеты проводить не следует.

 

Стремление к доходу и стремление к имуществу в сравнении. Решения, которые принимаются инвестором на основе цели стремления к доходу, могут приниматься другим образом при стремлении к имуществу. На совершенных рынках капитала цели максимизации имущества и максимизации дохода могут быть конкурирующими целями.

Пример. Инвестор планирует на промежуток времени, равный Т = 2 года. Проценты по заимствованию постоянно составляют s = 40, а проценты по инвестированию - h = 10. Базовые платежи и платежи, связанные с осуществлением проектов, а также желаемая структура изъятия представлены в табл. 10. Нужно рассчитать:

проект, максимизирующий доходы при остаточном имуществе, равном С2 = 250;

проект, максимизирующий остаточное имущество при уровне изъятий, равный Y = 40.

Таблица 10. Исходная информация, располагаемая инвестором, который на несовершенном рынке капитала стремится к максимальному доходу и максимальному имуществу

Момент времени      
Базовые платежи      
Временная структура изъятий 1,00 1,10 1,21
Инвестиция А -1000    
Инвестиция Б -1200    

Уровни изъятий Y при остаточном имуществе С2 = 250:

по проекту А = 198,48

по проекту Б = 182,17

Решение. Если применить общие правила решения, то можно установить, что оба проекта позволяют достичь уровня доходов Y, приведенного выше. Оптимальным по этому критерию является проект А.

Проверка:

С0,А = 500 – 1,00 * 198,48 – 1000 = -698,48

С1,А = 0 – 1,10 * 198,48 + 1460 – 1,4 * 698,48 = 263,80

С2,А = 200 –1,21 * 198,48 + 0 +1,1 *263,80 = 250,00.

При изменении цели изменится и порядок инвестиций. Если применить общие правила расчета, то получим следующие числовые значения остаточного имущества С2:

Остаточное имущество С2 при уровне изъятий Y =40:

по проекту А = 877,60

по проекту Б = 919,60.

В этом случае оптимальном является проект Б:

С0,Б = 500 – 1,00 * 40 – 1200 = - 740,00

С1,Б = 0 – 1,1 * 40 + 0 – 1,4 * 740,00 = - 1080,00

С2,Б = 200 – 1,21 * 40 + 2280 – 1,4 * 1080,00 = 919,60.

Достигаемый благодаря одной инвестиции уровень доходов Y можно – на основе общих правил расчета для случая стремления к имуществу – всегда однозначно рассчитать посредством обоснованного метода проб.

В случае несовершенного рынка капитала может возникнуть ситуация, при которой инвестор, желающий максимизировать свой доход, может принять решение, отличное от решения инвестора, стремящегося к максимизации имущества.

 


[1] Под «изоморфностью» здесь понимается соответствие между формой отображения (модели) и формой того, что нужно отобразить (область объекта).

[2] Импондерабиль – (фр.) неуловимый, неопределенный.

<== предыдущая лекция | следующая лекция ==>
Обчислення визначників методом ефективного зниження порядку | Связь с другими дисциплинами
Поделиться с друзьями:


Дата добавления: 2014-01-15; Просмотров: 570; Нарушение авторских прав?; Мы поможем в написании вашей работы!


Нам важно ваше мнение! Был ли полезен опубликованный материал? Да | Нет



studopedia.su - Студопедия (2013 - 2026) год. Все материалы представленные на сайте исключительно с целью ознакомления читателями и не преследуют коммерческих целей или нарушение авторских прав! Последнее добавление




Генерация страницы за: 0.015 сек.