Студопедия

КАТЕГОРИИ:


Архитектура-(3434)Астрономия-(809)Биология-(7483)Биотехнологии-(1457)Военное дело-(14632)Высокие технологии-(1363)География-(913)Геология-(1438)Государство-(451)Демография-(1065)Дом-(47672)Журналистика и СМИ-(912)Изобретательство-(14524)Иностранные языки-(4268)Информатика-(17799)Искусство-(1338)История-(13644)Компьютеры-(11121)Косметика-(55)Кулинария-(373)Культура-(8427)Лингвистика-(374)Литература-(1642)Маркетинг-(23702)Математика-(16968)Машиностроение-(1700)Медицина-(12668)Менеджмент-(24684)Механика-(15423)Науковедение-(506)Образование-(11852)Охрана труда-(3308)Педагогика-(5571)Полиграфия-(1312)Политика-(7869)Право-(5454)Приборостроение-(1369)Программирование-(2801)Производство-(97182)Промышленность-(8706)Психология-(18388)Религия-(3217)Связь-(10668)Сельское хозяйство-(299)Социология-(6455)Спорт-(42831)Строительство-(4793)Торговля-(5050)Транспорт-(2929)Туризм-(1568)Физика-(3942)Философия-(17015)Финансы-(26596)Химия-(22929)Экология-(12095)Экономика-(9961)Электроника-(8441)Электротехника-(4623)Энергетика-(12629)Юриспруденция-(1492)Ядерная техника-(1748)

Аффинные преобразования на плоскости




Аффинное преобразование это такое преобразование, которое сохраняет параллельность линий, но не обязательно углы или длины.
В компьютерной графике все, что относится к двумерному случаю, принято обозначать символом 2D (2-dimension). Допустим, на плоскости введена прямолинейная координатная система. Тогда каждой точке М ставится в соответствие упорядоченная пара чисел (х, у) ее координат (рис. 1).

- произвольные числа
Где -
Вводя на плоскости еще одну прямолинейную систему координат, мы ставим в соответствие той же точке М другую пару чисел (х*, у*). Переход от одной прямолинейной координатной системы на плоскости к другой описывается следующими соотношениями:

 
 

Указанные выше формулы можно рассматривать двояко: либо сохраняется точка и изменяется координатная система в этом случае произвольная точка М остается той же, изменяются лишь ее координаты (х, у) (х*, у*), либо изменяется точка и сохраняется координатная система в этом случае формулы задают отображение, переводящее произвольную точку М(х, у) в точку М*(х*, у*), координаты которой определены в той же координатной системе. В дальнейшем будем интерпретировать формулы, как правило, что в заданной системе прямолинейных координат преобразуются точки плоскости.
В аффинных преобразованиях плоскости особую роль играют несколько важных частных случаев, имеющих хорошо прослеживаемые геометрические характеристики. При исследовании геометрического смысла числовых коэффициентов в формулах для этих случаев удобно считать, что заданная система координат является прямоугольной декартовой.
Наиболее часто применяются следующие приемы компьютерной графики: перенос, масштабирование, поворот, отражение. Алгебраические выражения и рисунки, поясняющие данные преобразования сведем в табл.1.

Аффинные преобразования на плоскости

Под переносом понимается смещение примитивов вывода на один и тот же вектор.
Масштабирование это увеличение или уменьшение всего изображения либо его части. При масштабировании координаты точек изображения умножаются на некоторое число.
Под поворотом понимается вращение примитивов вывода вокруг заданной оси. (В плоскости чертежа вращение происходит вокруг точки.)
Под отражением понимают получение зеркального отображения изображения относительно одной из осей (например X).
Выбор этих четырех частных случаев определяется двумя обстоятельствами:
1. Каждое из приведенных выше преобразований имеет простой и наглядный геометрический смысл (геометрическим смыслом наделены и постоянные числа, входящие в приведенные формулы).
2. Как доказывается в курсе аналитической геометрии, любое преобразование вида (*) всегда можно представить как последовательное исполнение (суперпозицию) простейших преобразований вида А, Б, В и Г (или части этих преобразований).
Таким образом, справедливо следующее важное свойство аффинных преобразований плоскости: любое отображение вида (*) можно описать при помощи отображений, задаваемых формулами А, Б, В и Г.
Для эффективного использования этих известных формул в задачах компьютерной графики более удобной является их матричная запись.
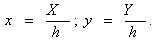
Для объединения этих преобразований вводят однородные координаты. Однородными координатами точки называется любая тройка одновременно не равных нулю чисел x1, x2, x3, связанных с заданными числами x и y следующими соотношениями:

Тогда точка M(х, у) записывается как M(hX, hY, h), где h 0 является масштабным множителем. Двумерные декартовы координаты могут быть найдены как

В проективной геометрии эти координаты вводятся для устранения неопределенностей, возникающих при задании бесконечноудаленных (несобственных) элементов. Однородные координаты можно интерпретировать как вложение промасштабированной с коэффициентом h плоскости в плоскость Z= h в трехмерном пространстве.
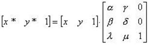
Точки в однородных координатах записываются трехэлементными вектор-строками. Матрицы преобразования должны иметь размер 3х3.
При помощи троек однородных координат и матриц третьего порядка можно описать любое аффинное преобразование плоскости.
В самом деле, считая h = 1, сравним две записи: помеченную символом (*) и нижеследующую, матричную:

Теперь можно использовать композиции преобразований, применяя одно результирующее вместо ряда преобразований, следующих друг за другом. Можно, например, сложную задачу разбить на ряд простых. Поворот точки А около произвольной точки В можно разбить на три задачи:
перенос, при котором В= 0 (где 0-начало координат);
поворот;
обратный перенос, при котором точка В возвращается на место и т. д.
Композиция наиболее общего вида из операций Т, D, R, M имеет матрицу:

Верхняя часть размером 2х2 - объединенная матрица поворота и масштабирования, a tx и ty описывают суммарный перенос.
К изложенным фундаментальным преобразованиям сводятся следующие:
прокручивание перемещение окна на поверхности визуализации (если перемещение ограничено только направлениями вверх и вниз, то оно называется вертикальным прокручиванием);

трансфокация постепенное изменение масштаба изображения;
кувыркание динамическое изображение примитивов вывода, вращающихся вокруг некоторой оси, ориентация которой непрерывно изменяется в пространстве;
панорамирование постепенный перенос изображения с целью создания зрительного ощущения движения.


 




Поделиться с друзьями:


Дата добавления: 2014-01-15; Просмотров: 6397; Нарушение авторских прав?; Мы поможем в написании вашей работы!


Нам важно ваше мнение! Был ли полезен опубликованный материал? Да | Нет



studopedia.su - Студопедия (2013 - 2025) год. Все материалы представленные на сайте исключительно с целью ознакомления читателями и не преследуют коммерческих целей или нарушение авторских прав! Последнее добавление




Генерация страницы за: 0.012 сек.