Студопедия

КАТЕГОРИИ:


Архитектура-(3434)Астрономия-(809)Биология-(7483)Биотехнологии-(1457)Военное дело-(14632)Высокие технологии-(1363)География-(913)Геология-(1438)Государство-(451)Демография-(1065)Дом-(47672)Журналистика и СМИ-(912)Изобретательство-(14524)Иностранные языки-(4268)Информатика-(17799)Искусство-(1338)История-(13644)Компьютеры-(11121)Косметика-(55)Кулинария-(373)Культура-(8427)Лингвистика-(374)Литература-(1642)Маркетинг-(23702)Математика-(16968)Машиностроение-(1700)Медицина-(12668)Менеджмент-(24684)Механика-(15423)Науковедение-(506)Образование-(11852)Охрана труда-(3308)Педагогика-(5571)Полиграфия-(1312)Политика-(7869)Право-(5454)Приборостроение-(1369)Программирование-(2801)Производство-(97182)Промышленность-(8706)Психология-(18388)Религия-(3217)Связь-(10668)Сельское хозяйство-(299)Социология-(6455)Спорт-(42831)Строительство-(4793)Торговля-(5050)Транспорт-(2929)Туризм-(1568)Физика-(3942)Философия-(17015)Финансы-(26596)Химия-(22929)Экология-(12095)Экономика-(9961)Электроника-(8441)Электротехника-(4623)Энергетика-(12629)Юриспруденция-(1492)Ядерная техника-(1748)

Техниг. Система




СИ.

P1 – Н/м2, V1 – м3, тогда Zпол – Н * м = Дж

P1 – кг/м2; V1 – м3; Zпол – кг * м

 

Работа нагнетателя будет

Zнаг = P2 * F * S2 = P2 * V2,

 

где S2 – ход поршня в период нагнетателя.

На диаграмме Zнаг выражается площадью F=c-2-3-a-c.

Подставим величины Zвс, Zсж и Zнаг в выражение Zин.

 

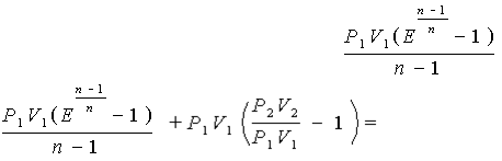
Zпол = -p1V1 -∫v1v2 pdV +p2V2 = -p1V1 + p2V2 =  
   
    Zпол (за цикл) =      

 

Полная работа за цикл в n раз больше работы, затрачиваемой только на сжатие.

 

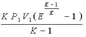
    Zад =

 

Где K – показатель адиабаты.

Определим работу в изолированном процессе.

При n=1   pV=p1V1 Zиз = ∫v1v2 pdV = ∫v1v2 p d = p1 V1P1P2 =   p1V1|lnp|p=p1p=p2 = p1V1(lnp2 - lnp1) = p1V1ln * p2/p1 = p1V1lnE
= ln x + c log = log a – log b  
  Zизот = p1V1 l n E

 

 

Температура газа в конце сжатия

Пусть имеем начальное состояние газа при p1 и t1. T1 = 273 + t1.

Необходимо сжать газ до давления p2 и определить его температуру t2 или T2. Воспользуемся уравнением состояния.

P1V1 = GRT1 отсюда

P2V2 = GRT2

T2 = T1 *

Воспользуемся уравнением процесса

P1V1n = P2V2n

 

       
 
   


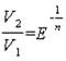
T2 =T1 * E * = T1 *

- выражение для конечной температуры.

 

 

Если процесс адиабатический при n = k;

 

 

Для изотермического процесса при n = 1.

 
 

T2 = T1 * = T1

 

 

Если обозначим:

Δt = T2 – T1, то можно получить следующее выражение

       
 
   
 


Δt = T1 * - T1 = T1 (- 1)

 

 




Поделиться с друзьями:


Дата добавления: 2014-01-15; Просмотров: 411; Нарушение авторских прав?; Мы поможем в написании вашей работы!


Нам важно ваше мнение! Был ли полезен опубликованный материал? Да | Нет



studopedia.su - Студопедия (2013 - 2026) год. Все материалы представленные на сайте исключительно с целью ознакомления читателями и не преследуют коммерческих целей или нарушение авторских прав! Последнее добавление




Генерация страницы за: 0.009 сек.