Студопедия

КАТЕГОРИИ:


Архитектура-(3434)Астрономия-(809)Биология-(7483)Биотехнологии-(1457)Военное дело-(14632)Высокие технологии-(1363)География-(913)Геология-(1438)Государство-(451)Демография-(1065)Дом-(47672)Журналистика и СМИ-(912)Изобретательство-(14524)Иностранные языки-(4268)Информатика-(17799)Искусство-(1338)История-(13644)Компьютеры-(11121)Косметика-(55)Кулинария-(373)Культура-(8427)Лингвистика-(374)Литература-(1642)Маркетинг-(23702)Математика-(16968)Машиностроение-(1700)Медицина-(12668)Менеджмент-(24684)Механика-(15423)Науковедение-(506)Образование-(11852)Охрана труда-(3308)Педагогика-(5571)Полиграфия-(1312)Политика-(7869)Право-(5454)Приборостроение-(1369)Программирование-(2801)Производство-(97182)Промышленность-(8706)Психология-(18388)Религия-(3217)Связь-(10668)Сельское хозяйство-(299)Социология-(6455)Спорт-(42831)Строительство-(4793)Торговля-(5050)Транспорт-(2929)Туризм-(1568)Физика-(3942)Философия-(17015)Финансы-(26596)Химия-(22929)Экология-(12095)Экономика-(9961)Электроника-(8441)Электротехника-(4623)Энергетика-(12629)Юриспруденция-(1492)Ядерная техника-(1748)

Энергетические соотношения при питании RL-нагрузки от источника прямоугольного переменного напряжения




Этот режим реализуется в мостовой схеме, работающей в режиме противовключения (рис. 39). Основываясь на полученных выражениях для коллекторных токов транзисторов, определяем среднюю за период мощ­ность, рассеиваемую за время насыщенного состояния в одном транзисторе мостовой схемы . Полагаем, что выходное сопротивление транзистора, проводящего ток в прямом направлении, и результирующее сопро­тивление ветви, состоящей из параллельно включенных диода и транзисто­ру проводящего ток в обратном направлении, одинаковы и равны R,,.,M.

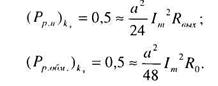
Мощность рассеиваемая в одном транзисторе и одном диоде:

 


 


Мощности рассеивания согласно Рр.и1 (10) при различных значениях к, и а представлены на рис. 40. Мощность, рассеиваемая в одном транзисторе другой диагонально расположенной пары, определяется выражением (10) при замене k,на (1-к,). Мощность, рассеиваемая в насыщенном состоянии во всех транзисторах и диодах мостовой схемы, определяется следующим выражением:

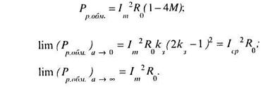
Зависимость Ррм от коэффициента заполнения /с„ при различных значе­ниях а=Т/х представлена на рис. 41. Заменяя в (11) 2RIMX на Ro, получим выражение для мощности, рассеиваемой в обмотке:



 

Зависимость мощности, рассеиваемой в активном сопротивлении обмотки, от вели­чины к, при различных значениях а графи­чески представляется рис. 41.

Рассеиваемая мощность минимальна при к, = 0,5, то есть при 1ср=0.

При этом Мощность существенно зависит от метода коммутации транзистора. Возможны два метода переключения.

1. Каждый процесс переключения начи­нается с запирания ранее насыщенной па­ры транзисторов. Тогда отпираются дио­ды, шунтирующие другую пару транзи­сторов, и только после этого начинается отпирание второй пары транзисторов. Для осуществления этого режима необходима задержка отпирания очередной пары тран­зисторов на время не менее времени рас­сасывания неосновных носителей тока в запираемой паре транзисторов. Мощность, рассеиваемая в транзисторах за время пе­реключения, в режиме минимальна и оп­ределяется тем же методом, что и в схеме с блокирующим диодам.

 

2. Переключение двух пар транзисторов начинается одновременно. Однако в течение време­ни рассасывания запираемые транзисторы продолжают проводить ток, и в схеме образуются так называемые сквозные токи вследствие одновременно отрытого состояния последовательно включенных транзисторов. Сквоз­ной ток больше тока в нагрузке и может достигать В1п > 1т. Очевидно, что мощность, рассеиваемая в транзисторах за время переключения, при этом возрастает. Мощность, рассеиваемая в паре последовательно включенных Транзисторов, при наличии сквозных токов, определяется:

 




Поделиться с друзьями:


Дата добавления: 2014-01-15; Просмотров: 478; Нарушение авторских прав?; Мы поможем в написании вашей работы!


Нам важно ваше мнение! Был ли полезен опубликованный материал? Да | Нет



studopedia.su - Студопедия (2013 - 2025) год. Все материалы представленные на сайте исключительно с целью ознакомления читателями и не преследуют коммерческих целей или нарушение авторских прав! Последнее добавление




Генерация страницы за: 0.009 сек.