Студопедия

КАТЕГОРИИ:


Архитектура-(3434)Астрономия-(809)Биология-(7483)Биотехнологии-(1457)Военное дело-(14632)Высокие технологии-(1363)География-(913)Геология-(1438)Государство-(451)Демография-(1065)Дом-(47672)Журналистика и СМИ-(912)Изобретательство-(14524)Иностранные языки-(4268)Информатика-(17799)Искусство-(1338)История-(13644)Компьютеры-(11121)Косметика-(55)Кулинария-(373)Культура-(8427)Лингвистика-(374)Литература-(1642)Маркетинг-(23702)Математика-(16968)Машиностроение-(1700)Медицина-(12668)Менеджмент-(24684)Механика-(15423)Науковедение-(506)Образование-(11852)Охрана труда-(3308)Педагогика-(5571)Полиграфия-(1312)Политика-(7869)Право-(5454)Приборостроение-(1369)Программирование-(2801)Производство-(97182)Промышленность-(8706)Психология-(18388)Религия-(3217)Связь-(10668)Сельское хозяйство-(299)Социология-(6455)Спорт-(42831)Строительство-(4793)Торговля-(5050)Транспорт-(2929)Туризм-(1568)Физика-(3942)Философия-(17015)Финансы-(26596)Химия-(22929)Экология-(12095)Экономика-(9961)Электроника-(8441)Электротехника-(4623)Энергетика-(12629)Юриспруденция-(1492)Ядерная техника-(1748)

Емкостные датчики




Емкостные датчики перемещений имеют широкую сферу применения. Они могут использоваться как самостоятельно для определения положения и перемещения объектов, так и входить в состав других датчиков, в которых перемещения отдельных элементов вызываются воздействием на них различных сил, давления, температуры и т.д. Поскольку емкостные датчики могут измерять перемещения объектов, изготовленных практически из любых материалов, они применяются повсеместно. Из уравнения (3.20), приведенного в главе 3, следует, что емкость плоского конденсатора обратно пропорциональна расстоянию между пластинами. Принцип действия емкостных датчиков основывается либо на изменении геометрии конденсатора (т.е. на изменении расстояния между пластинами), либо на изменении емкости за счет размещения между пластинами различных материалов: электропроводных или диэлектрических. Изменения емкости, как правило, преобразуются в переменный электрический сигнал. Емкостные датчики могут быть однополярными (в их состав входит только один конденсатор), дифференциальными (в их состав входят два конденсатора) или мостовыми (здесь уже используются четыре конденсатора). В случае дифференциальных или мостовых датчиков, один или два конденсатора являются либо постоянными, либо переменными, включенными навстречу друг другу.

В примере, показанном на рис. 7.5, рассматриваются три пластины одинаковой площади А. Эти пластины формируют два конденсатора С1 и С2. На две крайние пластины подаются синусоидальные сигналы одинаковой амплитуды, но с разностью фаз, равной 180°. Поскольку оба конденсатора являются одинаковыми, токи через них взаимно уничтожают друг друга, и потенциал центральной пластины практически равен нулю. Теперь рассмотрим ситуацию, когда центральная пластина сместилась вниз на расстояние х (рис. 7.5Б). Это приведет к изменению емкостей конденсаторов С1 и С2:

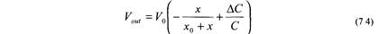
При этом амплитуда сигнала на центральной пластине будет пропорциональна величине перемещения х, а фаза — направлению движения Амплитуду выходного сигнала можно найти из выражения

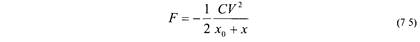
При выполнении условия х<<х0, выходное напряжение практически линейно зависит от перемещения. Второй член суммы соответствует исходному рассогласованию двух конденсаторов и является основной причиной возникновения напряжения смещения выходного сигнала Краевые эффекты на концах пластин и действие электростатических сил также относятся к причинам появления напряжения смещения В результате действия силы притяжения или отталкивания между двумя заряженными пластинами, они ведут себя как пружины Мгновенное значение этой силы определяется выражением:

На практике при измерении перемещения электропроводного объекта, его поверхность часто играет роль пластины конденсатора На рис 7 6А показана принципиальная схема однополярного емкостного датчика, в котором одна из пластин конденсатора соединена с центральным проводником коаксиального кабеля, а другой пластиной является сам объект Отметим, что собственная пластина датчика окружается заземленным экраном, что позволяет улучшать линейность и уменьшать краевые эффекты Типовой емкостной датчик работает на частотах 3-МГц диапазона и может детектировать перемещения быстро двигающихся объектов Частотные характеристики такого датчика со встроенным электронным интерфейсом лежат в диапазоне 40 кГц Емкостные датчики приближения очень эффективны при работе с электропроводными объектами, при этом они измеряют емкость между электродом и самим объектом Емкостные датчики также достаточно хорошо работают и с непроводящими объектами, но при этом их точность несколько ухудшается Любой объект, попадающий в окрестность электрода, обладает своими собственными диэлектрическими свойствами, которые изменяют емкость между электродом и корпусом датчика, что, в свою очередь, приводит к появлению выходного сигнала, пропорционального расстоянию между объектом и детектором. Для повышения чувствительности и снижения краевых эффектов в однополярном емкостном датчике применяют активное экранирование. При этом экран размещается вокруг нерабочих сторон электрода и на него подается напряжение, равное напряжению на электроде. Поскольку напряжения на экране и электроде имеют одинаковые амплитуды и фазы, между ними нет электрического поля, и все компоненты, расположенные за экраном не оказывают никакого влияния на работу датчика. Этот метод экранирования проиллюстрирован на рис. 7.7.

 

В последние годы очень популярными стали мостовые емкостные датчики перемещений [2]. На рис. 7.8А показан линейный мостовой емкостной датчик перемещений [3], состоящий из двух групп плоских электродов, расположенных параллельно на фиксированном расстоянии d. Для увеличения емкости расстояние между электродами делается достаточно маленьким. Стационарная группа электродов состоит из четырех прямоугольных элементов, а подвижная группа — из двух. Все шесть элементов имеют одинаковые размеры (размер боковой стороны равен b). Для увеличения диапазона линейности желательно делать размер каждого элемента, как можно, большим (здесь, как правило, начинают сказываться ограничения по механической прочности). Четыре электрода стационарной группы перекрестно соединены друг с другом электрическими проводами, что делается для формирования емкостной схемы мостового типа.

На мостовую схему подается синусоидальное напряжение с частотой 5...50 кГц. Дифференциальный усилитель усиливает разность напряжений между парой электродов в подвижной группе. Выходной сигнал усилителя поступает на вход синхронного детектора. Емкость конденсатора, сформированного двумя параллельными пластинами, расположенными на фиксированном расстоянии друг от друга, пропорциональна площади части подвижной пластины, расположенной напротив соответствующей области стационарной пластины. На рис.7.8Б показана эквивалентная схема датчика перемещений с конфигурацией емкостного моста. Величина конденсатора С1 определяется выражением:

Остальные значения емкостей вычисляются по аналогичным уравнениям. Отметим, что емкости конденсаторов, расположенных напротив друг друга, приблизительно равны между собой: С1 = С3, а С2 = С4. Нарушение симметричности расположения пластин приводит к разбалансу моста и появлению сигнала на выходе дифференциального усилителя. Емкостная мостовая схема обладает всеми достоинствами, присущими любой мостовой схеме: линейностью и высокой помехозащищенностью. Подобные датчики могут быть реализованы не только с плоскими электродами. Такой метод построения датчиков применим к любым симметричным конфигурациям (например, для построения детекторов вращательного движения).




Поделиться с друзьями:


Дата добавления: 2014-01-20; Просмотров: 2549; Нарушение авторских прав?; Мы поможем в написании вашей работы!


Нам важно ваше мнение! Был ли полезен опубликованный материал? Да | Нет



studopedia.su - Студопедия (2013 - 2026) год. Все материалы представленные на сайте исключительно с целью ознакомления читателями и не преследуют коммерческих целей или нарушение авторских прав! Последнее добавление




Генерация страницы за: 0.009 сек.