Студопедия

КАТЕГОРИИ:


Архитектура-(3434)Астрономия-(809)Биология-(7483)Биотехнологии-(1457)Военное дело-(14632)Высокие технологии-(1363)География-(913)Геология-(1438)Государство-(451)Демография-(1065)Дом-(47672)Журналистика и СМИ-(912)Изобретательство-(14524)Иностранные языки-(4268)Информатика-(17799)Искусство-(1338)История-(13644)Компьютеры-(11121)Косметика-(55)Кулинария-(373)Культура-(8427)Лингвистика-(374)Литература-(1642)Маркетинг-(23702)Математика-(16968)Машиностроение-(1700)Медицина-(12668)Менеджмент-(24684)Механика-(15423)Науковедение-(506)Образование-(11852)Охрана труда-(3308)Педагогика-(5571)Полиграфия-(1312)Политика-(7869)Право-(5454)Приборостроение-(1369)Программирование-(2801)Производство-(97182)Промышленность-(8706)Психология-(18388)Религия-(3217)Связь-(10668)Сельское хозяйство-(299)Социология-(6455)Спорт-(42831)Строительство-(4793)Торговля-(5050)Транспорт-(2929)Туризм-(1568)Физика-(3942)Философия-(17015)Финансы-(26596)Химия-(22929)Экология-(12095)Экономика-(9961)Электроника-(8441)Электротехника-(4623)Энергетика-(12629)Юриспруденция-(1492)Ядерная техника-(1748)

Законы Ньютона. Масса и сила

Движение и покой относительны. Если по отношению к одной системе отсчета тело покоится, то относительно других систем отсчета оно может двигаться. Так, пилот летящего самолета находится в движении относительно Земли и в покое относительно самолета. Всякое тело, движется оно или покоится, окружено множеством других тел, внешних по отношению к нему. Все факты говорят о том, что изменение движения тела происходит лишь в результате его взаимодействия с внешними телами.

Первый закон Ньютона утверждает: всякая материальная точка (тело) сохраняет состояние покоя или равномерного прямолинейного движения до тех пор, пока воздействие со стороны других тел не выведет ее из этого состояния.

Стремление тела сохранять состояние покоя или равномерного прямолинейного движения называется инертностью. Поэтому первый закон Ньютона называют законом инерции.

Первый закон Ньютона выполняется не во всякой системе отсчета. Системы, в

которых он выполняется, называют инерциальными системами отсчета. Инерциальной системой отсчета является такая система, относительно которой материальная точка, свободная от внешних воздействий, покоится или движется равномерно и прямолинейно. Следовательно, первый закон Ньютона утверждает, что инерциальные системы отсчета существуют.

Опыты показали, что с очень высокой степенью точности можно считать инерциальной гелиоцентрическую систему отсчета. Начало координат этой системы находится в центре Солнца, а оси проведены в направлениях трех определенных удаленных звезд. Можно считать инерциальной всякую систему отсчета, которая покоится или движется равномерно и прямолинейно относительно какой-либо инерциальной системы. Всякая система отсчета, движущаяся ускоренно по отношению к инерциальной системе, является неинерциальной. Система отсчета, связанная с Землей, – лабораторная система отсчета – неинерциальна вследствие суточного вращения Земли. Однако в большинстве практических задач эффекты, обусловленные неинерциальностью лабораторной системы отсчета, пренебрежимо малы (максимальное ускорение точек земной поверхности не превосходит 0,5% ускорения свободного падения), и эту систему отсчета приближенно можно считать инерциальной.

Таким образом, причина возникновения или изменения движения тела известна –

действие на него других тел. Количественной мерой действия одного тела на другое является векторная величина, называемая силой . Под действием сил тела либо изменяют скорость своего движения и приобретают ускорения (динамическое проявление сил), либо, деформируясь, изменяют свою форму и размеры (статическое проявление сил). Сила, действующая на тело, полностью определена, если указаны ее численное значение, направление действия и точка приложения.

Единица силы в СИ – Ньютон (Н).

Из опыта известно, что при одинаковых воздействиях различные тела неодинаково изменяют скорость своего движения, т.е. ускорение зависит не только от величины воздействия, но и от свойств самого тела, его «меры инертности». В качестве «меры инертности» при поступательном движении вводят положительную скалярную величину т, называемую массой тела (инертной массой).

Единица массы в СИ – килограмм (кг).

Второй закон Ньютона – основной закон динамики поступательного движения – отвечает на вопрос, как изменяется механическое движение материальной точки (тела) под действием приложенных к ним сил: ускорение, приобретаемое телом, прямо пропорционально вызывающей его силе и обратно пропорциональной массе тела:

. (2.1.1)

Учитывая, что ,

. (2.1.2)

Векторная величина , численно равная произведению массы материальной точки (тела) на ее скорость и имеющая направление скорости, называется количеством движения (импульсом) этой материальной точки (тела).

Тогда . (2.1.3)

Выражение 2.1.3 – более общая формулировка второго закона Ньютона, так как это уравнение применимо не только к телам с постоянной, но и с переменной массой: скорость изменения импульса материальной точки (тела) равна действующей силе. Из 2.1.3 следует, что . Вектор , равный произведению силы на время ее действия, называется импульсом силы.

Учитывая, что изменение импульса тела

,

где и начальная и конечная скорости тела соответственно, то второй закон

Ньютона можно сформулировать так: изменение импульса тела за некоторый про-

межуток времени равно импульсу действующей на него силы.

В механике существует принцип независимости сил: если на материальную точку действует одновременно несколько сил, то каждая сообщает материальной точке ускорение, как будто других сил нет. Поэтому силы и ускорения можно раскладывать на составляющие, что приводит к существенному упрощению при решении задач. Кроме того, если на материальную точку одновременно действует несколько сил, то их можно заменить одной эквивалентной им результирующей силой, равной их векторной (геометрической) сумме:

. (2.1.4)

 


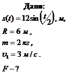
Пример 2.1.1. Материальная точка массой описывает криволинейную траекторию по закону . В некоторый момент времени материальная точка находится в положении А, радиус кривизны траектории в котором равен . Скорость точки в этот момент времени . Определить величину силы, действующей на точку.

Решение:

По второму закону Ньютона (2.1.1). Ускорение материальной точки при движении по криволинейно траектории

, где , .

Скорость точки в произвольный момент времени .

Т.к. по условию задачи в некоторый момент времени скорость точки известна и равна , то , откуда и .

Таким образом , .

Искомая сила .

Ответ: .

 

 

Пример 2.1.2. Материальная точка массой совершает движение согласно уравнениям . Определить величину и направление силы, действующей на точку, в момент времени .

Решение:

По второму закону Ньютона .

Ускорение материальной точки ,

где , , .

Таким образом, .

Искомая сила . Направляющие косинусы (косинусы углов, которые вектор силы составляет с направлениями координатных осей ): ;

;

.

Ответ: ; ; ; .


Третий закон Ньютона: всякое действие материальных точек (тел) друг на друга носит характер взаимодействия: силы, с которыми действуют друг на друга материальные точки (тела), всегда равны по модулю, противоположно направлены и действуют вдоль прямой, соединяющей эти точки.Еслисила, действующая на первое тело со стороны второго, а сила, действующая на второе тело со стороны первого, то

. (2.1.5)

Эти силы приложены к разным телам, поэтому их нельзя складывать или вычитать (рис. 2.1.1).

Равенство сил по величине имеет место всегда и не зависит от того, движутся ли взаимодействующие тела, или находятся в состоянии покоя. В инерциальных системах отсчета все силы возникают (и исчезают) только парами (одна сила приложена к одному телу, другая, равная ей, к другому телу) и являются силами одной природы.

 

<== предыдущая лекция | следующая лекция ==>
Из одной системы отсчета в другую | Силы в механике
Поделиться с друзьями:


Дата добавления: 2014-01-20; Просмотров: 2453; Нарушение авторских прав?; Мы поможем в написании вашей работы!


Нам важно ваше мнение! Был ли полезен опубликованный материал? Да | Нет



studopedia.su - Студопедия (2013 - 2026) год. Все материалы представленные на сайте исключительно с целью ознакомления читателями и не преследуют коммерческих целей или нарушение авторских прав! Последнее добавление




Генерация страницы за: 0.01 сек.