Студопедия

КАТЕГОРИИ:


Архитектура-(3434)Астрономия-(809)Биология-(7483)Биотехнологии-(1457)Военное дело-(14632)Высокие технологии-(1363)География-(913)Геология-(1438)Государство-(451)Демография-(1065)Дом-(47672)Журналистика и СМИ-(912)Изобретательство-(14524)Иностранные языки-(4268)Информатика-(17799)Искусство-(1338)История-(13644)Компьютеры-(11121)Косметика-(55)Кулинария-(373)Культура-(8427)Лингвистика-(374)Литература-(1642)Маркетинг-(23702)Математика-(16968)Машиностроение-(1700)Медицина-(12668)Менеджмент-(24684)Механика-(15423)Науковедение-(506)Образование-(11852)Охрана труда-(3308)Педагогика-(5571)Полиграфия-(1312)Политика-(7869)Право-(5454)Приборостроение-(1369)Программирование-(2801)Производство-(97182)Промышленность-(8706)Психология-(18388)Религия-(3217)Связь-(10668)Сельское хозяйство-(299)Социология-(6455)Спорт-(42831)Строительство-(4793)Торговля-(5050)Транспорт-(2929)Туризм-(1568)Физика-(3942)Философия-(17015)Финансы-(26596)Химия-(22929)Экология-(12095)Экономика-(9961)Электроника-(8441)Электротехника-(4623)Энергетика-(12629)Юриспруденция-(1492)Ядерная техника-(1748)

Типы и виды линии связи




Амплитудная модуляция (АМ) – образование сигнала путем изменения амплитуды гармонического колебания (несущей) пропорционально мгновенным значениям напряжения или тока другого, более низкочастотного электрического сигнала.

Модуляция – образование сигнала путем изменения параметров переносчика под воздействием сообщения.

Несущая частота – высокочастотный периодический сигнал, параметры которого изменяются.

Частотная модуляция (ЧМ) – модуляция, при которой мгновенные значения сообщения (тока или напряжения) изменяют частоту переносчика (несущей), оставляя неизменной его амплитуду.

Амплитудно-импульсная модуляция (АИМ) – это изменение амплитуды импульсной последовательности пропорционально мгновенному значению сообщения.

Широтно-импульсная модуляция (ШИМ) – это изменение длительности импульсов импульсной последовательности пропорционально мгновенному значению сообщения.

Частотно-импульсная модуляция (ЧИМ) – изменение частоты импульсов импульсной последовательности пропорционально мгновенному значению сообщения.

Кодоимпульсная модуляция (КИМ) – передача в дискретные моменты времени кодовой комбинации, отображающей мгновенное значение сообщения в эти моменты.

Дельта-модуляция – передача положительным или отрицательным импульсом знака приращения сообщения при его дифференциальном квантовании.

Разностно-дискретная модуляция – передача знака приращения сообщения при обычном квантовании.

КОНТРОЛЬНЫЕ ВОПРОСЫ

1. Дайте определение понятию «модуляция».

2. Дайте характеристику амплитудной модуляции.

3. Дайте характеристику частотной модуляции.

4. Дайте характеристику амплитудно-импульсной модуляции.

5. Дайте характеристику широтно-импульсной модуляции.

6. Дайте характеристику частотно-импульсной модуляции.

7. Дайте характеристику кодоимпульсной модуляции.

8. Дайте характеристику дельта-модуляции.

9. Дайте характеристику лямбда-дельта-модуляции.

10. Дайте характеристику разностно-дискретной модуляции.

11. Дайте характеристику и приведите полосу пропускания периодической последовательности видеоимпульсов.

12. Дайте характеристику и приведите полосу пропускания непериодической последовательности видеоимпульсов.

13. Дайте характеристику и приведите полосу пропускания непериодической последовательности радиоимпульсов.

6. ЛИНИИ И КАНАЛЫ СВЯЗИ В ТЕЛЕМЕХАНИКЕ

6.1. ЛИНИИ СВЯЗИ И ИХ КЛАССИФИКАЦИЯ

Линия связи – это физическая среда, по которой передаются сигналы контроля и управления.

В телемеханике сигналы контроля и управления представляют собой электромагнитные колебания в большом частотном диапазоне (табл. 6.1).

Канал связи – это совокупность технических средств для независимой передачи информации от источника к получателю. Он состоит из линии связи и аппаратуры связи.

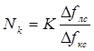
Передача сигналов по заданному каналу осуществляется независимо от других каналов. Число каналов в одной линии связи при одновременной передаче всех сигналов определяется полосой пропускания линии связи и полосой частот канала связи:

, (6.1)

где – число каналов связи;

К – коэффициент, учитывающий защитные полосы при частотном разделении и защитные интервалы при временном разделении;

– полоса пропускания линии связи;

– полоса пропускания канала связи.

Для организации каналов связи применяются типы и виды линии связи, приведённые в табл. 6.1 [8].

Проводные линии связи, используемые только для передачи телемеханической информации, называют физическими проводными линиями связи. Их использование только для целей телемеханики экономически нецелесообразно, поэтому прокладку таких линий связи на большие расстояния производят только в исключительных случаях. Как правило, для этого используются имеющиеся линии связи, служащие для передачи потоков информации или энергии.

Наиболее массовые телефонные, телеграфные, каналы звукового вещания имеют типовую полосу пропускания, нормированные входной и выходной уровни сигналов, помех и другие технические показатели.

Полоса пропускания линии связи – это непрерывный диапазон частот, для которого отношение амплитуды выходного сигнала к амплитуде входного превышает некоторый заранее заданный предел.

 

Таблица 6.1

Тип линии связи Вид линии связи Диапазон частот
Электрическая (проводная) Воздушная Симметричный кабель Коаксиальный кабель Линия электропередач (ЛЭП) 0 ÷ 200 кГц 0 ÷ 1 Мгц 0 ÷ 15 МГц 50 кГц ÷ 500 кГц
Радио (беспроводная) Радиосвязь Радиорелейная Космическая 10 кГц ÷ 3×106 МГц 30МГц ÷ 3×104 МГц 30МГц ÷ 3×104 МГц
Оптическая Оптическая с открытой средой Волоконно-оптическая (0,3 ÷ 1015) Гц (0,3 ÷ 1015) Гц

 

Например, телефонный канал имеет полосу пропускания от 300 Гц до 3400 Гц. Такой сигнал может быть уплотнён каналами телемеханики с полосой пропускания (120 ÷ 140) Гц, число таких вторичных каналов в этой полосе частот до 24.

Кроме телефонного канала для передачи телемеханических сообщений могут использоваться и другие диапазоны частот, стандартизированные в системе связи:

– подтональный диапазон с полосой пропускания (40 ÷ 300) Гц,

– тональный диапазон с полосой пропускания (300 ÷ 3400) Гц,

– надтональный с полосой пропускания (3400 ÷ 5300) Гц,

– высокочастотный с полосой пропускания свыше (5300) Гц.

Для организации вторичных каналов применяется специальная аппаратура уплотнения, обеспечивающая максимальную скорость передачи информации по одному каналу (50 ÷ 75) Бод. Она построена по известным способам разделения сигналов – временному, частотному или частотно-временному.

Скорость передачи, выражаемая в Бодах, используется для характеристики импульсных сигналов и равна числу импульсов, передаваемых в одну секунду.

6.2. ПРОВОДНЫЕ ЛИНИИ СВЯЗИ

Проводные линии связи имеют следующие основные характеристики.

Воздушные линии связи (см. табл. 6.1) состоят из металли­ческих проводов, подвешенных с помощью изоляторов и специальной арматуры на столбах. В зависимости от условий, в которых находятся под­вешенные провода (гололед, ветер и т.п.), различают воздушные линии связи четырех типов: облегченного, нормального, усиленного и особо уси­ленного. В качестве проводов (линейной проволоки) применяют провода:

– стальной диаметрами 5; 4; 3; 2,5; 2; 1,5 мм;

– медный диаметрами 4; 3,5 и 3 мм;

– биметаллический сталемедный (стальной провод с медным покры­тием толщиной до 0,2 мм) диаметрами 4; 3; 2; 1,6 мм;

– биметаллический сталеалюминиевый диаметрами 2,6 ÷ 6,5 мм.

Стальная воздушная линия пропускает частоты до 30 кГц. Медная воздушная линия является лучшей по качеству: она позволяет пропускать частоты до 180 кГц. Недостатки воздушных линий связи – подвержен­ность внешним помехам, малая надежность, большая утечка при ухудше­нии атмосферных условий (гроза, дождь, гололед), большие затраты ма­териалов при сооружении и необходимость постоянного профилакти­ческого обслуживания. При сезонном изменении температуры на 80 °С активное сопротивление проводов изменяется примерно в 1,5 раза.

Кабельные линии связи. Кабель состоит из изолированных параллельных проводников, заключенных в общую влагозащитную оболочку и иногда в броневые покровы. Различают подземные, подводные и воздушные кабели.

Конструктивно кабели бывают симметричными и коаксиальными (см. табл. 6.1). Симметричные кабели подразделяют на кабели парной и четвёрочной скрутки. Коаксиальный кабель состоит из круглого провод­ника, концентрически расположенного внутри другого полого проводника (цилиндра) так, что оси обоих проводников оказываются совмещенными. Внешний провод выполняют в виде цилиндрической оплетки из тонких медных проволочек или алюминиевой трубки, защищенной пластмассовой или металлической оболочкой.

Различают высокочастотные (полоса частот выше 10 кГц) и низкочастотные (до 10 кГц) кабели. Коаксиальные кабели всегда высоко­частотные; их целесообразно применять, начиная с частоты 60 кГц. Полоса пропускания такого кабеля достигает нескольких мегагерц. Для телеме­ханики применяют в основном симметричные многожильные кабели с различной изоляцией:

– трубчатой, выполненной из бумажной или пластмассовой ленты, наложенной на жилу кабеля в виде трубки;

– кордельной, состоящей из корделя (нити или жгута), расположенного на жиле кабеля спирально, и накладываемой поверх корделя ленты; эта конструкция кабеля экономичнее трубчатой, но обладает малой жёсткостью при повторных перемотках кабеля в процессе его изготовления.

Температурные колебания сопротивления у подземных кабелей значи­тельно меньше, чем у воздушных линий. Однако кабели, обладая более тонкими жилами (не более 1,4 мм), имеют значительно большие сопротив­ление и коэффициент затухания.

Проводные линии связи характеризуются первичными и вторичными параметрами.

Первичные параметры проводных линий связи – погонные активное сопротивление проводов R (Ом/км), индуктивность L (Гн/км), емкость С (Ф/км) и проводимость изоляции проводов G (Сим-км).

Активное сопротивление определяют из выражения

R = R 0 + Rп.э+ Rбл + Rм, (6.2)

где R 0 сопротивление постоянного тока; Rп.э – сопротивление поверх­ностного эффекта; Rбл сопротивление эффекта близости; Rм сопро­тивление потерь в металле (в соседних кабельных цепях и защитной металлической оболочке).

Для кабельной линии учитывают все четыре слагаемых в (6.2), а для воздушной – только первые два, поскольку Rбл и Rм, пренебрежимо малы по сравнению с R 0 и Rn. Активное сопротивление постоянного тока R 0зависит от диаметра провода, материала, температуры и способа скрутки жил (для кабеля).

Сопротивление переменному току учитывается членом Rп.э.

Эффект близости, так же как и поверхностный эффект, тем сильнее, чем больше магнитная проницаемость материала, диаметр провода и частота тока. Эффект близости возникает за счет взаимного влияния рядом располо­женных токонесущих проводов, так как магнитное поле каждого из двух проводов создает вихревые токи в соседнем проводе. Взаимодействие вихревых токов с основным током приводит к увеличению плотности тока на обращенных друг к другу поверхностях проводов. Сопротивление Rбл увеличивается также при уменьшении расстояния между проводами.

Сопротивление потерь Rм в металле возникает из-за того, что вихревые токи, создаваемые внешним магнитным полем цепи, нагревают окружающие металлические части.

Индуктивность проводов L зависит главным образом от расстояния между проводами, диаметра провода (уменьшается с увели­чением диаметра) и в меньшей мере – от материала провода (у стали L больше, чем у меди) и частоты тока (возрастает с увеличением частоты).

Емкость проводов С зависит от расстояния между проводами (увеличивается с уменьшением расстояния), диаметра провода и мате­риала диэлектрика между проводами цепи. Произведение LC = em, где m и e – соответственно магнитная и диэлектрическая проницаемости. Для воздушной линии LC = 1, для кабеля LC = e.

Проводимость изоляции (утечка) G зависит от типа изоляции, частоты тока (возрастает с увеличением частоты) и климатических условий. Для воздушных цепей на утечку влияют также гололед и иней. В табл. 6.2 приведены примеры некоторых проводных линий связи [8] и их первичных параметров.

Если первичные параметры линии связи неизменны для любого участка её длины, то такая линия называется однородной. Однородность обеспечивается постоянством конструктивных размеров. Неоднородная линия обладает различными первичными параметрами на разных участках. В телемеханике применятся однородные линии.

 

Таблица 6.2




Поделиться с друзьями:


Дата добавления: 2014-01-20; Просмотров: 1426; Нарушение авторских прав?; Мы поможем в написании вашей работы!


Нам важно ваше мнение! Был ли полезен опубликованный материал? Да | Нет



studopedia.su - Студопедия (2013 - 2026) год. Все материалы представленные на сайте исключительно с целью ознакомления читателями и не преследуют коммерческих целей или нарушение авторских прав! Последнее добавление




Генерация страницы за: 0.006 сек.