Студопедия

КАТЕГОРИИ:


Архитектура-(3434)Астрономия-(809)Биология-(7483)Биотехнологии-(1457)Военное дело-(14632)Высокие технологии-(1363)География-(913)Геология-(1438)Государство-(451)Демография-(1065)Дом-(47672)Журналистика и СМИ-(912)Изобретательство-(14524)Иностранные языки-(4268)Информатика-(17799)Искусство-(1338)История-(13644)Компьютеры-(11121)Косметика-(55)Кулинария-(373)Культура-(8427)Лингвистика-(374)Литература-(1642)Маркетинг-(23702)Математика-(16968)Машиностроение-(1700)Медицина-(12668)Менеджмент-(24684)Механика-(15423)Науковедение-(506)Образование-(11852)Охрана труда-(3308)Педагогика-(5571)Полиграфия-(1312)Политика-(7869)Право-(5454)Приборостроение-(1369)Программирование-(2801)Производство-(97182)Промышленность-(8706)Психология-(18388)Религия-(3217)Связь-(10668)Сельское хозяйство-(299)Социология-(6455)Спорт-(42831)Строительство-(4793)Торговля-(5050)Транспорт-(2929)Туризм-(1568)Физика-(3942)Философия-(17015)Финансы-(26596)Химия-(22929)Экология-(12095)Экономика-(9961)Электроника-(8441)Электротехника-(4623)Энергетика-(12629)Юриспруденция-(1492)Ядерная техника-(1748)

Цилиндрические зенкеры

Цилиндрические зенкеры получили наибольшее распространение в механообработке. Они могут быть хвостовыми (рис. 5.2, а)и насадными (рис. 5.2, б). К основным конструктивным элементам зенкеров отно­сятся: режущая часть (заборный конус), калибрующая часть, число кана­вок (зубьев), форма канавок, крепежная часть. К геометрическим пара­метрам относятся: угол при вершине , передние γ и задние α углы, углы наклона канавок ω и главных режущих кромок λ.

 


Рис. 5.2. Цилиндрические зенкеры:

а - хвостовой; б – насадной

 

Рис. 5.3. Режущая часть зенкера:

а - элементы режущей части; б - формы заточки зубьев зенкера

 

 

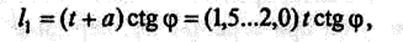
где t - глубина резания; а –дополнительный размер, облегчающий вход зенкера в отверстие, а = (0,5... 1,0)t; φ – главный угол в плане (половина угла при вершине).

При обработке сталей угол φ = 60°. С целью повышения стойкости зенкеров рекомендуется дополнительная заточка по уголкам под углом φ1 = 30°. При обработке чугунов угол φ = 60° или 45°.

Режущая часть зенкера предназначена для удаления припуска. Ее длина (рис. 5.3)

Калибрующая часть зенкера обеспечивает необходимую точность размера отверстия, направляет зенкер в процессе обработки отверстия и служит запасом на его переточку. На ней расположены цилиндрические ленточки шириной f = 0,8...2,0 мм для d = 10...80 мм. Радиальное биение ленточек должно быть не более 0,04...0,06 мм.

Для снижения трения и исключения возможности защемления в от­верстии у зенкера предусматривается обратная конусность по ленточкам в пределах 0,04...0,10 мм на 100 мм длины в зависимости от диаметра инструмента. У твердосплавных зенкеров уменьшение диаметра задается в пределах 0,05... 0,08 мм на длине режущей пластины, а диаметр корпуса инструмента занижается на 0,01... 0,02 мм по отношению к размеру конца твердосплавной пластины.

Увеличение ширины ленточек твердосплавных зенкеров нецелесо­образно, так как оно сопровождается налипанием на них мелкой стружки и приводит к снижению стойкости инструмента. При увеличении обрат­ной конусности наблюдаются вибрации и происходит быстрая потеря размера зенкера при его переточке.

 

 

Число канавок. Зенкеры изго­тавливают, как правило, с тремя (хвостовые) или четырьмя (насад­ные) канавками. Применяются также насадные зенкеры крупных размеров (d > 58 мм) с шестью и более канавками. В тяжелом ма­шиностроении для снятия больших припусков применяют двузубые зенкеры (зенкеры-улитки), насажи­ваемые на оправки (рис. 5.4). Они имеют короткие и большие по объ­ему канавки и служат для обработ­ки отверстий диаметром до 300 мм.

Канавки зенкеров обычно винтовые, но могут быть и прямыми, на­пример у твердосплавных зенкеров для обработки сталей и чугунов вы­сокой твердости. У сборных зенкеров со вставными ножами, в том числе с напайными твердосплавными пластинами, канавки косые, наклонные к оси.

На рис. 5.5 показаны некоторые формы канавок, применяемые раз­ными инструментальными заводами. Криволинейная форма канавок (рис. 5.5, а...д) позволяет упростить изготовление зенкеров и сократить число операций, но требует специальных фасонных фрез. Канавки пря­молинейного профиля (рис. 5.5, е)часто используются при оснащении насадных зенкеров напайными твердосплавными пластинами.

Рис. 5.5. Основные формы канавок зенкеров

Передний угол γN ввиду малой длины главных режущих кромок и радиального их расположения можно определить по формуле

Отсюда при заданном значении γN угол наклона стружечных кана­вок tgω = tg γN sinφ.

При проектировании новых зенкеров рекомендуются следующие значения этих углов: при обработке сталей γN = 8... 12°, чугунов γN = 6... 10°, цветных металлов γN = 25...30°, твердых сталей и чугунов γN = 0...5°.

Для повышения прочности режущих кромок у зенкеров с напайными твердосплавными пластинами создают угол наклона главной режущей кромки (рис. 5.6), предохраняющий от выкрашивания место стыка главных режущих и вспомогательных кромок. Рекомендуется брать угол λ = 12... 15°. При этом сход стружки происходит в направлении к хвосто­вику, а режущая кромка имеет превышение r0 над осевой плоскостью, отсюда


 

Рис. 5.6. Угол λ наклона главной режущей кромки зенкера

Задний угол α у зенкеров, как и у спиральных сверл, создается за­точкой по плоскости или по конической и винтовой поверхностям. Для контроля осевого биения режу­щих кромок при заточке или до­водке на задней поверхности око­ло режущей кромки необходимо оставлять узкую ленточку шири­ной 0,03...0,05 мм (см. рис. 5.3, а ). При этом величина биения режу­щей кромки должна быть не бо­лее 0,05...0,06 мм. Заточка узкой ленточки крайне необходима, так как биение режущих кромок ока­зывает большое влияние на нор­мальную работу зенкеров и осо­бенно зенкеров, оснащенных твердым сплавом.

 

Рис. 5.7. Расположение полей допусков на обработанное отверстие

<== предыдущая лекция | следующая лекция ==>
Зенкеры | И зенкеры № 1 и 2
Поделиться с друзьями:


Дата добавления: 2014-01-20; Просмотров: 1365; Нарушение авторских прав?; Мы поможем в написании вашей работы!


Нам важно ваше мнение! Был ли полезен опубликованный материал? Да | Нет



studopedia.su - Студопедия (2013 - 2026) год. Все материалы представленные на сайте исключительно с целью ознакомления читателями и не преследуют коммерческих целей или нарушение авторских прав! Последнее добавление




Генерация страницы за: 0.013 сек.