Студопедия

КАТЕГОРИИ:


Архитектура-(3434)Астрономия-(809)Биология-(7483)Биотехнологии-(1457)Военное дело-(14632)Высокие технологии-(1363)География-(913)Геология-(1438)Государство-(451)Демография-(1065)Дом-(47672)Журналистика и СМИ-(912)Изобретательство-(14524)Иностранные языки-(4268)Информатика-(17799)Искусство-(1338)История-(13644)Компьютеры-(11121)Косметика-(55)Кулинария-(373)Культура-(8427)Лингвистика-(374)Литература-(1642)Маркетинг-(23702)Математика-(16968)Машиностроение-(1700)Медицина-(12668)Менеджмент-(24684)Механика-(15423)Науковедение-(506)Образование-(11852)Охрана труда-(3308)Педагогика-(5571)Полиграфия-(1312)Политика-(7869)Право-(5454)Приборостроение-(1369)Программирование-(2801)Производство-(97182)Промышленность-(8706)Психология-(18388)Религия-(3217)Связь-(10668)Сельское хозяйство-(299)Социология-(6455)Спорт-(42831)Строительство-(4793)Торговля-(5050)Транспорт-(2929)Туризм-(1568)Физика-(3942)Философия-(17015)Финансы-(26596)Химия-(22929)Экология-(12095)Экономика-(9961)Электроника-(8441)Электротехника-(4623)Энергетика-(12629)Юриспруденция-(1492)Ядерная техника-(1748)

Сочетания




Сочетанием из n элементов по m (иногда читают просто: из n по m) называется m-элементное подмножество некоторого n-элементного множества.

Таким образом, чтобы назвать какой – либо объект сочетанием из n по m, необходимо проверить одновременное выполнение следующих условий (существенных признаков понятия «сочетание»):

1. Заданы два множества.

2. Одно из множеств является подмножеством другого.

3. Основное множество содержит n элементов.

4. Подмножество содержит m элементов.

Число сочетаний из n элементов по m обозначается через и вычисляется по формуле:

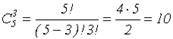
Пример: Сколькими способами можно составить букет из 3 цветов, если в вашем распоряжении 5 цветов: мак, роза, тюльпан, лилия, гвоздика?

Решение:

Основное множество: {мак, роза, тюльпан, лилия, гвоздика} => n=5

Соединение – букет из трех цветков => m=3

Проверим, важен ли порядок:

{тюльпан, лилия, гвоздика} и {лилия, тюльпан, гвоздика} – один и тот же букет => порядок неважен => это подмножество => это сочетание «из пяти по три».

(букетов) Ответ: 10 букетов

Генерирование сочетаний.

Опишем алгоритм генерирования всех k-элементных подмножеств n-элементного множества X. Можно принять X = {1,..., n}. Тогда каждому k-элементному подмножеству взаимнооднозначно со­ответствует возрастающая последовательность длины kс элементами из X:на­пример, подмножеству {3,5,1} соответствует последовательность (1,3,5). Мож­но легко указать алгоритм, с помощью которого генерируются все такие после­довательности. Для этого достаточно заме­тить, что при таком порядке, последовательностью, непосредственно следующей за последовательностью (a1,..., аk), является (b1,...,bk) = (a1,...,ap-i,ap + 1 ,ap + 2,...,ap + k-p+1), где p=max{i:ai<n-k+1}.

Более того, последовательностью, непосредственно следующей за (b1,…,bk), является

(c1,...,ck) = (b1,...,bp’-1,bp +1, bp +2,..., bp> +k-p’ + 1), где

(будем предполагать, что последовательности (a1,...,ak) и (b1,...,bk) отлича­ются от (n-k+1,...,n) — последней последовательности в нашем порядке.

Это приводит к следующему простому алгоритму.

Алгоритм. (Генерирование всех k-элементных подмножеств множе­ства {1,...,n}.)

Данные: n, к.

Результат: последовательность всех k-элементных подмножеств множества {1,...,n}.

1.begin

2. for i:=1 to k do A[i]:=i; (*первое подмножество*)

3. p:=k;

4. while p≥1 do

5. begin write (A[1],…,A[k]);

6. if A[k]=n then p:=p-1 else p:=k;

7. if p≥1 then

8. for i:=k downto p do A[i]:=A[p]+i-p+1;

9. end;

10.end.

Последовательность всех 4-элементных подмножеств множества {1,...,6}, полученная с помощью этого алгоритма, выглядит следующим образом:


       
       
       
       
       
       
       
       
       
       
       
       
       
       
       




Поделиться с друзьями:


Дата добавления: 2014-01-20; Просмотров: 503; Нарушение авторских прав?; Мы поможем в написании вашей работы!


Нам важно ваше мнение! Был ли полезен опубликованный материал? Да | Нет



studopedia.su - Студопедия (2013 - 2026) год. Все материалы представленные на сайте исключительно с целью ознакомления читателями и не преследуют коммерческих целей или нарушение авторских прав! Последнее добавление




Генерация страницы за: 0.01 сек.