Студопедия

КАТЕГОРИИ:


Архитектура-(3434)Астрономия-(809)Биология-(7483)Биотехнологии-(1457)Военное дело-(14632)Высокие технологии-(1363)География-(913)Геология-(1438)Государство-(451)Демография-(1065)Дом-(47672)Журналистика и СМИ-(912)Изобретательство-(14524)Иностранные языки-(4268)Информатика-(17799)Искусство-(1338)История-(13644)Компьютеры-(11121)Косметика-(55)Кулинария-(373)Культура-(8427)Лингвистика-(374)Литература-(1642)Маркетинг-(23702)Математика-(16968)Машиностроение-(1700)Медицина-(12668)Менеджмент-(24684)Механика-(15423)Науковедение-(506)Образование-(11852)Охрана труда-(3308)Педагогика-(5571)Полиграфия-(1312)Политика-(7869)Право-(5454)Приборостроение-(1369)Программирование-(2801)Производство-(97182)Промышленность-(8706)Психология-(18388)Религия-(3217)Связь-(10668)Сельское хозяйство-(299)Социология-(6455)Спорт-(42831)Строительство-(4793)Торговля-(5050)Транспорт-(2929)Туризм-(1568)Физика-(3942)Философия-(17015)Финансы-(26596)Химия-(22929)Экология-(12095)Экономика-(9961)Электроника-(8441)Электротехника-(4623)Энергетика-(12629)Юриспруденция-(1492)Ядерная техника-(1748)

Застосування MathCad у математичному аналізі




Й спосіб. Будуємо графік функції, визначаємо наближені значення лівої та правої точок відрізка (-3,5 і 0), де розташовується один з коренів, Після чого ці значення заносимо у 3-й та 4-й маркери функції root.

Розв’язок.

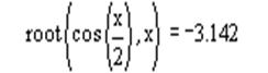
1-й спосіб. Будуємо графік функції (рис. 5.25), визначаємо наближене значення одного з коренів , а потім використовуємо функцію root.

Рис. 5.25

 

 

Коренем рівняння буде значення -3.142.

Коренем рівняння буде значення -3.142.

MathCad надає можливість проведення таких операцій:

- диференціювання;

- інтегрування;

- визначення границь;

- обчислення сум;

- обчислення добутків;

- розклад у ряд Тейлора.

Ці дії можна виконувати за допомогою кнопок панелі Математичного аналізу та кнопок панелі Символіка.

Диференціювання можна виконувати чисельно і символьно.

Символьне диференціювання дозволяє отримати результат у вигляді формул із невеликою похибкою. Чисельне диференціювання програє в точності обчислення, але більш швидке, що є суттєвим при розв’язуванні задач, де обчислюються похідні багато разів. Обчислювати можна як похідні

першого порядку, так і похідні вищих порядків, а також часткові похідні. Недоцільно розв’язувати чисельним способом похідні більше ніж 6-го порядку, бо похибка обчислення стає досить великою. При виконанні чисельного диференціювання необхідно задати значення Х.

Для обчислення похідних потрібно обрати одну з кнопок або , що знаходяться на панелі Математичного аналізу (перша використовується для обчислення похідних 1-го порядку, друга – для для обчислення похідних вищих порядків). У нижній маркер слід ввести ім’я змінної, у верхній - функцію чи посилання на неї.

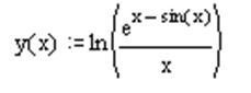
Приклад 1. Продиференціювати функцію символьно.




Поделиться с друзьями:


Дата добавления: 2014-01-13; Просмотров: 446; Нарушение авторских прав?; Мы поможем в написании вашей работы!


Нам важно ваше мнение! Был ли полезен опубликованный материал? Да | Нет



studopedia.su - Студопедия (2013 - 2026) год. Все материалы представленные на сайте исключительно с целью ознакомления читателями и не преследуют коммерческих целей или нарушение авторских прав! Последнее добавление




Генерация страницы за: 0.008 сек.