Студопедия

КАТЕГОРИИ:


Архитектура-(3434)Астрономия-(809)Биология-(7483)Биотехнологии-(1457)Военное дело-(14632)Высокие технологии-(1363)География-(913)Геология-(1438)Государство-(451)Демография-(1065)Дом-(47672)Журналистика и СМИ-(912)Изобретательство-(14524)Иностранные языки-(4268)Информатика-(17799)Искусство-(1338)История-(13644)Компьютеры-(11121)Косметика-(55)Кулинария-(373)Культура-(8427)Лингвистика-(374)Литература-(1642)Маркетинг-(23702)Математика-(16968)Машиностроение-(1700)Медицина-(12668)Менеджмент-(24684)Механика-(15423)Науковедение-(506)Образование-(11852)Охрана труда-(3308)Педагогика-(5571)Полиграфия-(1312)Политика-(7869)Право-(5454)Приборостроение-(1369)Программирование-(2801)Производство-(97182)Промышленность-(8706)Психология-(18388)Религия-(3217)Связь-(10668)Сельское хозяйство-(299)Социология-(6455)Спорт-(42831)Строительство-(4793)Торговля-(5050)Транспорт-(2929)Туризм-(1568)Физика-(3942)Философия-(17015)Финансы-(26596)Химия-(22929)Экология-(12095)Экономика-(9961)Электроника-(8441)Электротехника-(4623)Энергетика-(12629)Юриспруденция-(1492)Ядерная техника-(1748)

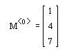
Приклад. Розв’язок.Виділити 0-й стовпчик матриці М




Розв’язок. Виділити 0-й стовпчик матриці М.

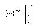
Виділення рядка матриці виконується таким чином:

Для виділення елемента матриці слід ввести з допомогою кнопки ім’я матриці з нижніми індексами (номер рядка та номер стовпчика) і натиснути символ “=“ або “→“, залежно від того, як визначені елементи матриці: чисельно чи символьно.

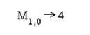
Приклад. Виділити з матриці М елемент, розташований на перетині 1-го рядка і 4-го стовпчика.

Розв’язок.

Вищеперераховані дії можуть бути виконані символьним чи чисельним способом.

6) Символьне обчислення суми елементів матриці виконується за допомогою кнопки .

Приклад. Обчислити суму елементів матриці М.

Розв’язок.

Приклади:

Обчислення суми елементів стовпчика матриці .

Обчислення суми елементів рядка матриці .

Обчислення суми довільних елементіів матриці

M0,0+M0,2→4

 




Поделиться с друзьями:


Дата добавления: 2014-01-13; Просмотров: 493; Нарушение авторских прав?; Мы поможем в написании вашей работы!


Нам важно ваше мнение! Был ли полезен опубликованный материал? Да | Нет



studopedia.su - Студопедия (2013 - 2026) год. Все материалы представленные на сайте исключительно с целью ознакомления читателями и не преследуют коммерческих целей или нарушение авторских прав! Последнее добавление




Генерация страницы за: 0.01 сек.