Студопедия

КАТЕГОРИИ:


Архитектура-(3434)Астрономия-(809)Биология-(7483)Биотехнологии-(1457)Военное дело-(14632)Высокие технологии-(1363)География-(913)Геология-(1438)Государство-(451)Демография-(1065)Дом-(47672)Журналистика и СМИ-(912)Изобретательство-(14524)Иностранные языки-(4268)Информатика-(17799)Искусство-(1338)История-(13644)Компьютеры-(11121)Косметика-(55)Кулинария-(373)Культура-(8427)Лингвистика-(374)Литература-(1642)Маркетинг-(23702)Математика-(16968)Машиностроение-(1700)Медицина-(12668)Менеджмент-(24684)Механика-(15423)Науковедение-(506)Образование-(11852)Охрана труда-(3308)Педагогика-(5571)Полиграфия-(1312)Политика-(7869)Право-(5454)Приборостроение-(1369)Программирование-(2801)Производство-(97182)Промышленность-(8706)Психология-(18388)Религия-(3217)Связь-(10668)Сельское хозяйство-(299)Социология-(6455)Спорт-(42831)Строительство-(4793)Торговля-(5050)Транспорт-(2929)Туризм-(1568)Физика-(3942)Философия-(17015)Финансы-(26596)Химия-(22929)Экология-(12095)Экономика-(9961)Электроника-(8441)Электротехника-(4623)Энергетика-(12629)Юриспруденция-(1492)Ядерная техника-(1748)

Решение. Из графика видно, чтоF(0)=0,1; F(15)=0,6; F(20)=0,8; F(25)=0,9

Из графика видно, что F(0)=0,1; F(15)=0,6; F(20)=0,8; F(25)=0,9.

Следовательно

1) вероятность того, что прибыль произвольно взятого месяца будет заключена в пределах от 15 до 25 тыс. долл., равна F(25) - F(15)= 0,9 – 0,6 = 0,3

2) вероятность того, чтоприбыль произвольно взятого месяца будет не менее 20 тыс. долл., равна 1- F(20)=1-0,8 = 0,2

3) вероятность того, что в произвольно взятом месяце будут убытки, равна F(0)=0,1

Функцией плотности распределения случайной величины Х называют f(x), являющуюся первой производной функции распределения F(x): f(x) = F’(x)

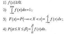
Плотность распределения существует только для непрерывных случайных величин и имеет следующие основные свойства:

Пример. Функция распределения непрерывной случайной величины Х задана выражением:

Найти: Коэффициент а, плотность распределения f(x); вероятность попадания случайной величины на участок от 0,25 до 0,5.

<== предыдущая лекция | следующая лекция ==>
Законы распределения случайных величин. Описание случайных величин | Числовые характеристики случайных величин. Так как функцияF(x) непрерывна, то при х=1 ах2=1
Поделиться с друзьями:


Дата добавления: 2014-01-13; Просмотров: 302; Нарушение авторских прав?; Мы поможем в написании вашей работы!


Нам важно ваше мнение! Был ли полезен опубликованный материал? Да | Нет



studopedia.su - Студопедия (2013 - 2025) год. Все материалы представленные на сайте исключительно с целью ознакомления читателями и не преследуют коммерческих целей или нарушение авторских прав! Последнее добавление




Генерация страницы за: 0.011 сек.