Студопедия

КАТЕГОРИИ:


Архитектура-(3434)Астрономия-(809)Биология-(7483)Биотехнологии-(1457)Военное дело-(14632)Высокие технологии-(1363)География-(913)Геология-(1438)Государство-(451)Демография-(1065)Дом-(47672)Журналистика и СМИ-(912)Изобретательство-(14524)Иностранные языки-(4268)Информатика-(17799)Искусство-(1338)История-(13644)Компьютеры-(11121)Косметика-(55)Кулинария-(373)Культура-(8427)Лингвистика-(374)Литература-(1642)Маркетинг-(23702)Математика-(16968)Машиностроение-(1700)Медицина-(12668)Менеджмент-(24684)Механика-(15423)Науковедение-(506)Образование-(11852)Охрана труда-(3308)Педагогика-(5571)Полиграфия-(1312)Политика-(7869)Право-(5454)Приборостроение-(1369)Программирование-(2801)Производство-(97182)Промышленность-(8706)Психология-(18388)Религия-(3217)Связь-(10668)Сельское хозяйство-(299)Социология-(6455)Спорт-(42831)Строительство-(4793)Торговля-(5050)Транспорт-(2929)Туризм-(1568)Физика-(3942)Философия-(17015)Финансы-(26596)Химия-(22929)Экология-(12095)Экономика-(9961)Электроника-(8441)Электротехника-(4623)Энергетика-(12629)Юриспруденция-(1492)Ядерная техника-(1748)

Искусственные спутники Земли

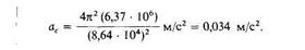
Пример 7.

Чему равно центростремительное ускорение тела на экваторе, обусловленное вра­щением Земли?

Решение: В данном случае Т= 1 сутки = = 8,64 • 104 с, R = R3 = 6370 км. Подставляя данные значения в (3-9), получаем

Это всего лишь 0,35%от величины g = 9,8 м/с2.

Таким образом, если бы Земля была идеально сферической, то на экваторе человек был бы на 0,35% легче, чем около полюса. Это одна из причин, объясняющих, почему в более высоких широтах труднее побить спортивные рекорды, чем на экваторе.

 

Люди, не изучавшие физику, часто задают вопрос: «Что удерживает спутники Земли от падения?»

Не должен ли спутник после прекращения работы ракетных дви­гателей падать к центру Земли с ускоре­нием свободного падения g, как и все дру­гие тела вблизи поверхности Земли?

Ответ является утвердительным: да, спутники, ле­тающие по околоземной орбите, испыты­вают ускорение 9,8 м/с2, направленное к центру Земли. В противном слу­чае они бы улетели по касательной к по­верхности Земли.

Любое тело движется по окружности с ускорением v2/R. Если окружностью является околоземная орби­та, то ускорение обеспечивается силой тя­жести и, следовательно,

g = v2c /R3, (3-10)

где vc называется орбитальной или пер­вой космической скоростью, a

R3 = 6370 км-радиус Земли. Из (3-10) нахо­дим

Это минимальное значение скорости, необ­ходимое для вывода тела на околоземную орбиту.

Это значение согласуется с хорошо из­вестным временем обращения многочис­ленных околоземных искусственных спут­ников, начиная с первого.

Впервые подоб­ные вычисления выполнил (около 300 лет тому назад) Исаак Ньютон.

Он предлагал выстрелить из огром­ной пушки с вершины горы. Ньютон предсказал, что если когда-либо удастся достичь начальной скорости пушечного ядра, равной 8 км/с, то ядро будет вра­щаться вокруг Земли.

 

 

Законы Ньютона

 

Законы были сформулированы Исааком Ньютоном в конце XVII века.

 

<== предыдущая лекция | следующая лекция ==>
Ускорение, связанноес изменением на­правления скорости, называется центростре­мительным ускорением ас | Второй закон Ньютона
Поделиться с друзьями:


Дата добавления: 2014-01-13; Просмотров: 770; Нарушение авторских прав?; Мы поможем в написании вашей работы!


Нам важно ваше мнение! Был ли полезен опубликованный материал? Да | Нет



studopedia.su - Студопедия (2013 - 2026) год. Все материалы представленные на сайте исключительно с целью ознакомления читателями и не преследуют коммерческих целей или нарушение авторских прав! Последнее добавление




Генерация страницы за: 0.011 сек.