Студопедия

КАТЕГОРИИ:


Архитектура-(3434)Астрономия-(809)Биология-(7483)Биотехнологии-(1457)Военное дело-(14632)Высокие технологии-(1363)География-(913)Геология-(1438)Государство-(451)Демография-(1065)Дом-(47672)Журналистика и СМИ-(912)Изобретательство-(14524)Иностранные языки-(4268)Информатика-(17799)Искусство-(1338)История-(13644)Компьютеры-(11121)Косметика-(55)Кулинария-(373)Культура-(8427)Лингвистика-(374)Литература-(1642)Маркетинг-(23702)Математика-(16968)Машиностроение-(1700)Медицина-(12668)Менеджмент-(24684)Механика-(15423)Науковедение-(506)Образование-(11852)Охрана труда-(3308)Педагогика-(5571)Полиграфия-(1312)Политика-(7869)Право-(5454)Приборостроение-(1369)Программирование-(2801)Производство-(97182)Промышленность-(8706)Психология-(18388)Религия-(3217)Связь-(10668)Сельское хозяйство-(299)Социология-(6455)Спорт-(42831)Строительство-(4793)Торговля-(5050)Транспорт-(2929)Туризм-(1568)Физика-(3942)Философия-(17015)Финансы-(26596)Химия-(22929)Экология-(12095)Экономика-(9961)Электроника-(8441)Электротехника-(4623)Энергетика-(12629)Юриспруденция-(1492)Ядерная техника-(1748)

Передаточные функции и уравнения замкнутой системы

.

Где,.


2. Можно переносить внешнее (входное) воздействие вперед или назад по цепи таким образом, чтобы не менялась передача сигнала на выход этой цепи.

При переносе внешнего (входного) воздействия по цепи вперед следует добавлять передаточную функцию тех звеньев, через которые сделан перенос.

При переносе внешнего воздействия по цепи назад следует добавлять передаточ­ную функцию, обратную передаточной функции звеньев, через которые сделан перенос.

 
 

3. Последовательно соединенные звенья можно менять местами без изменения общей передаточной функции цепи.

4. Можно производить перенос звена параллельного контура вперед или назад по цепи с соответствующими добавлениями.

При переносе звена вперед следует добавить передаточную функцию, обратную передаточной функции звеньев, через которые сделан перенос.

При переносе звена назад надо добавить передаточную функцию тех звеньев, через которые сделан перенос.

 

 
 

 


5. Можно переносить место включения звена обратной связи вперед или назад.

Перенося место включения звена обратной связи вперед или назад, поступаем точно так же в случае 4.

 
 

 

 



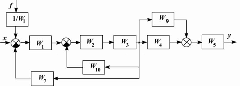
Пример.

Пусть имеется сложная разомкнутая цепь

 

 


Сначала сделаем перенос по внешнему воздействию. Затем по правилу 4 и 5 получим:

 

 

 

, 9

 


Второй шаг преобразования по правилу 1:

 
 

,

 


 
 

Снова произведем преобразование:

 

:

 

Окончательно получим общие передаточные функции по каждой из двух входных величин

,

.


Из цепи звеньев любой сложности получатся замкнутая система при помощи единичной отрицательной обратной связи. Эту обратную связь называют главной. Местная обратная связь может быть внутри в составе разомкнутой цепи.

 
 

Пусть имеются внешние воздействия: задающее g (t) и возмущающее f (t),

и задана передаточная функция разомкнутой цепи:

где N (s) и L (s) – многочлены с единичными коэффициентами при младших членах;

K – общий коэффициент усиления всей разомкнутой цепи.

Передаточные функции замкнутой системы записываются отдельно для каждой комбинации входа и выхода и для каждого внешнего воздействия в отдельности.


Возмущающее воздействие f (t) может быть приложено в любом месте. Но, используя правила структурных преобразований, всегда можно выделить ту часть схемы, через которую проходят сигналы от f (t) на выход х, в виде передаточной функции М (s). Для задающего воздействия схема прохождения сигналов сохраняется в полном виде W (s).

 
 

На выходе имеем x = x 1 + x 2.

 

Основные соотношения в изображениях Лапласа будут иметь вид

E = GX

X = W (s) E + M (s) F


В расчетах САУ применяют три основных вида передаточных функций замкнутой системы

1. Главная передаточная функция замкнутой системы – отношение выхода к задающему воздействию при f (t) = 0:

при F =0 имеем X = W (s) E, Х =(GX) W (s), .

окончательно, , или .

 

2. Передаточная функция замкнутой системы для ошибки отношение ошибки к задающему воздействию при f (t) = 0:

или .


3. Передаточная функция замкнутой системы по возмущающему воздействию отношение выхода к возмущающему воздействию при g (t)= 0

При G =0 имеем

X = W (s)(– Х)+ M (s) F,

.

Окончательно

, или .

Так как при g (t) = 0 имеем Е = – Х, то передаточная функция замкнутой системы для ошибки по возмущающему воздействию

<== предыдущая лекция | следующая лекция ==>
Структурные преобразования | Частотные характеристики замкнутой системы
Поделиться с друзьями:


Дата добавления: 2014-01-14; Просмотров: 801; Нарушение авторских прав?; Мы поможем в написании вашей работы!


Нам важно ваше мнение! Был ли полезен опубликованный материал? Да | Нет



studopedia.su - Студопедия (2013 - 2026) год. Все материалы представленные на сайте исключительно с целью ознакомления читателями и не преследуют коммерческих целей или нарушение авторских прав! Последнее добавление




Генерация страницы за: 0.01 сек.