Студопедия

КАТЕГОРИИ:


Архитектура-(3434)Астрономия-(809)Биология-(7483)Биотехнологии-(1457)Военное дело-(14632)Высокие технологии-(1363)География-(913)Геология-(1438)Государство-(451)Демография-(1065)Дом-(47672)Журналистика и СМИ-(912)Изобретательство-(14524)Иностранные языки-(4268)Информатика-(17799)Искусство-(1338)История-(13644)Компьютеры-(11121)Косметика-(55)Кулинария-(373)Культура-(8427)Лингвистика-(374)Литература-(1642)Маркетинг-(23702)Математика-(16968)Машиностроение-(1700)Медицина-(12668)Менеджмент-(24684)Механика-(15423)Науковедение-(506)Образование-(11852)Охрана труда-(3308)Педагогика-(5571)Полиграфия-(1312)Политика-(7869)Право-(5454)Приборостроение-(1369)Программирование-(2801)Производство-(97182)Промышленность-(8706)Психология-(18388)Религия-(3217)Связь-(10668)Сельское хозяйство-(299)Социология-(6455)Спорт-(42831)Строительство-(4793)Торговля-(5050)Транспорт-(2929)Туризм-(1568)Физика-(3942)Философия-(17015)Финансы-(26596)Химия-(22929)Экология-(12095)Экономика-(9961)Электроника-(8441)Электротехника-(4623)Энергетика-(12629)Юриспруденция-(1492)Ядерная техника-(1748)

Понятие о приведенной массе ударяемой системы




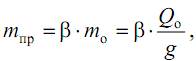
Упругую систему с распределенной массой (mo=Qo/g, Qo – вес системы) удобно мысленно заменить системой, обладающей теми же упругими свойствами, но с приве денной массой mпр, сосредоточенной в точке соударения

где β – коэффициент приведения, который зависит от закона изменения скоростей точек системы по ее объему (всегда β<1).

Величина коэффициента β определяется по признаку равенства кинетической энергии системы с исходной распределенной массой mo и приведенной массой mпр, то есть приведенная масса mпр при скорости V должна иметь ту же кинетическую энергию, что и система массой mo с учетом неравномерного распределения скоростей ее точек по объему:

где dQo (dmo) – вес (масса) произвольной элементарной частицы системы, движущейся в первый момент после удара со скоростью Vx; V – скорость точки соударения тел.

Таким образом, найдем

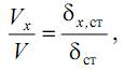
В соответствии с принятыми нами гипотезами, можем записать, что скорости различных точек системы соотносятся так же, как соотносятся перемещения этих точек под действием статически приложенных нагрузок:

где δx,ст – статическая деформация произвольной точки системы (движущейся при ударе со скоростью Vx); δст – статическая деформация точки приложения нагрузки (движущейся при ударе со скоростью V).

Тогда коэффициент β можно найти так:




Поделиться с друзьями:


Дата добавления: 2014-01-14; Просмотров: 677; Нарушение авторских прав?; Мы поможем в написании вашей работы!


Нам важно ваше мнение! Был ли полезен опубликованный материал? Да | Нет



studopedia.su - Студопедия (2013 - 2026) год. Все материалы представленные на сайте исключительно с целью ознакомления читателями и не преследуют коммерческих целей или нарушение авторских прав! Последнее добавление




Генерация страницы за: 0.013 сек.