Студопедия

КАТЕГОРИИ:


Архитектура-(3434)Астрономия-(809)Биология-(7483)Биотехнологии-(1457)Военное дело-(14632)Высокие технологии-(1363)География-(913)Геология-(1438)Государство-(451)Демография-(1065)Дом-(47672)Журналистика и СМИ-(912)Изобретательство-(14524)Иностранные языки-(4268)Информатика-(17799)Искусство-(1338)История-(13644)Компьютеры-(11121)Косметика-(55)Кулинария-(373)Культура-(8427)Лингвистика-(374)Литература-(1642)Маркетинг-(23702)Математика-(16968)Машиностроение-(1700)Медицина-(12668)Менеджмент-(24684)Механика-(15423)Науковедение-(506)Образование-(11852)Охрана труда-(3308)Педагогика-(5571)Полиграфия-(1312)Политика-(7869)Право-(5454)Приборостроение-(1369)Программирование-(2801)Производство-(97182)Промышленность-(8706)Психология-(18388)Религия-(3217)Связь-(10668)Сельское хозяйство-(299)Социология-(6455)Спорт-(42831)Строительство-(4793)Торговля-(5050)Транспорт-(2929)Туризм-(1568)Физика-(3942)Философия-(17015)Финансы-(26596)Химия-(22929)Экология-(12095)Экономика-(9961)Электроника-(8441)Электротехника-(4623)Энергетика-(12629)Юриспруденция-(1492)Ядерная техника-(1748)

Формула для динамического коэффициента




Скорость движения точки соударения в момент удара

Скорость V точки соударения тел определяется по теореме об изменении количества движения, согласно которой при неупругом ударе количество движения до удара равно количеству движения после удара (см. курс теоретической механики), то есть

Запишем закон сохранения энергии для системы, испытывающей удар, согласно которому сумма кинетической энергии T системы в момент удара и работы A по перемещению груза Q на величину динамического перемещения δдин должна равняться потенциальной энергии динамической деформации системы

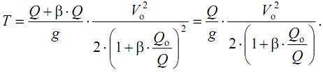
Найдем кинетическую энергию системы в момент удара:

 

Подставляя в эту формулу выражение для скорости V из формулы (21.2), получим

Работа груза Q на перемещении δдин:

 

 

Найдем потенциальную энергию деформации системы

Величину динамической нагрузки Qдин можно определить, зная величину статической нагрузки Q и динамический коэффициент

Подставляя найденные величины в выражение (21.3) и учитывая, что динамическое перемещение , получим

Решая полученное квадратичное уравнение, найдем

Если учесть, что груз падает с высоты h, то можем записать

Таким образом, для расчета конструкции при ударном нагружении необходимо определить напряжения и деформации в системе, как если бы она была загружена статической нагрузкой равной по величине нагрузке динамической (ударной). Затем найденные «статические» величины домножаются на динамический коэффициент (21.4):

Проанализируем формулу (21.4):

1) Мгновенная нагрузка (h=0 или Vo=0). При подстановке этих данных в формулу (21.4) получим, что kд=2. То есть, даже если груз мгновенно устанавливается на конструкцию с нулевой высоты или с нулевой скоростью, то напряжения в системе превышают соответствующие статические величины в два раза!

2) Расчет без учета массы груза по сравнению с массой конструкции (Qo<<Q, то есть Qo/Q≈0). В этом случае формула (21.4) приобретает следующий более простой вид, который наиболее часто используется в расчетной практике:

3) Способ снижения динамического коэффициента. Как видим из формул (21.4) и (21.5), едва ли не единственным способом снижения динамического коэффициента является увеличение величины δст – деформации конструкции при статическом нагружении. То есть при проектировании конструкций, работающих на удар, необходимо стремиться к увеличению податливости системы путем увеличения длины элементов конструкции, установкой буферных пружин (амортизаторов), замены материала другим, с меньшим модулем упругости («постелить соломку»), выравниванием площадей поперечного сечения.

Пример 1. Продольный удар

Проанализируем ударное воздействие груза весом Q при падении с высоты h на две колонны – ступенчатую с площадями ступеней A1 и A2 и длиной каждой из ступеней l, а также равномерную площадью A1 и длиной 3·l.

Необходимо сравнить динамические коэффициенты.

Решение

Рассмотрим статическое (неударное) приложение груза Q к колоннам и найдем статические напряжения и деформации каждой из них.

а) статические значения максимальных напряжений

б) статические значения абсолютных деформаций

Заметим, что , так как

в) динамический коэффициент по формуле (21.5)

Заметим, что , так как .

г) динамические значения напряжений и деформаций

Как видим, несмотря на то, что первая колонна имеет меньшую площадь сечения, динамические напряжения в ней будут меньше, чем в ступенчатой колонне, так как поглощение энергии удара во втором случае происходит не по всей длине стержня, а на наиболее ослабленном участке.

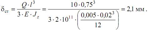
Пример 2. Ударный изгиб

Проанализируем ударное воздействие груза весом Q=1 кг при падении с высоты h=10 см на консольно закрепленную балку длиной l=0,75 м прямоугольного сечения 5×20 мм. Материал балки – сталь, [σ]=160 МПа.

Необходимо определить динамический коэффициент, напряжения и деформации в балке. Проверить на прочность.

Решение

Рассмотрим статическое (неударное) приложение груза Q к балке и найдем статические напряжения и деформации.

а) наибольшие статические значения напряжений

б) статические значения деформаций конца балки

в) динамический коэффициент по формуле (21.5)

г) динамические значения напряжений и деформаций

Как видим, динамические значения превышают не только соответствующие статические величины, но и допускаемые значения – прочность не обеспечена!

 




Поделиться с друзьями:


Дата добавления: 2014-01-14; Просмотров: 4062; Нарушение авторских прав?; Мы поможем в написании вашей работы!


Нам важно ваше мнение! Был ли полезен опубликованный материал? Да | Нет



studopedia.su - Студопедия (2013 - 2026) год. Все материалы представленные на сайте исключительно с целью ознакомления читателями и не преследуют коммерческих целей или нарушение авторских прав! Последнее добавление




Генерация страницы за: 0.011 сек.