Студопедия

КАТЕГОРИИ:


Архитектура-(3434)Астрономия-(809)Биология-(7483)Биотехнологии-(1457)Военное дело-(14632)Высокие технологии-(1363)География-(913)Геология-(1438)Государство-(451)Демография-(1065)Дом-(47672)Журналистика и СМИ-(912)Изобретательство-(14524)Иностранные языки-(4268)Информатика-(17799)Искусство-(1338)История-(13644)Компьютеры-(11121)Косметика-(55)Кулинария-(373)Культура-(8427)Лингвистика-(374)Литература-(1642)Маркетинг-(23702)Математика-(16968)Машиностроение-(1700)Медицина-(12668)Менеджмент-(24684)Механика-(15423)Науковедение-(506)Образование-(11852)Охрана труда-(3308)Педагогика-(5571)Полиграфия-(1312)Политика-(7869)Право-(5454)Приборостроение-(1369)Программирование-(2801)Производство-(97182)Промышленность-(8706)Психология-(18388)Религия-(3217)Связь-(10668)Сельское хозяйство-(299)Социология-(6455)Спорт-(42831)Строительство-(4793)Торговля-(5050)Транспорт-(2929)Туризм-(1568)Физика-(3942)Философия-(17015)Финансы-(26596)Химия-(22929)Экология-(12095)Экономика-(9961)Электроника-(8441)Электротехника-(4623)Энергетика-(12629)Юриспруденция-(1492)Ядерная техника-(1748)

Правове регулювання використання лісових ресурсів 4 страница




27) Рослинний світ - один з найважливіших елементів довкілля. Майже у всіх екосистемах рослини є базою для розвитку всієї системи, адже саме вони створюють початкову біологічну масу та біологічно зв'язують енергію в речовину. Тому рослинний світ підлягає особливій охороні з боку держави та суспільства.

Тривалий час правова охорона рослинного світу здійснювалась у рамках регламентації охорони та використання лісів, нелісова рослинність з точки зору законодавця залишалась практично без регулювання. Тільки у 1999 році був прийнятий ЗУ "Про рослинний світ", який і врегулював охорону нелісової рослинності.

В енциклопедичній літературі рослинний світ визначається як сукупність усіх рослинних організмів на певній території або на земній кулі, що утворюють флору й рослинність1 9. Стаття 3 ЗУ "Про рослинний світ" вказує, що рослинний світ - це сукупність усіх видів рослин, а також грибів та утворених ними угруповань на певній території.

Законодавче визначення поняття рослинного світу є досить широким, оскільки фактично включає усі види рослин, а також грибів та їхніх угруповань, і не відноситься тільки до дикорослих рослин. Незважаючи на це, сфера застосування названого ЗУ звужена, адже відповідно до ст. 2 ЗУ "Про рослинний світ" завданням законодавства України про рослинний світ є регулювання суспільних відносин у сфері охорони, використання та відтворення дикорослих та інших несільськогосподарського призначення судинних рослин, мохоподібних, водоростей, лишайників, а також грибів, їхніх угруповань і місцезростання. І в спеціальному законі чітко вказано, що відносини у сфері охорони, використання та відтворення рослин і багаторічних насаджень сільськогосподарського призначення регулюються відповідним законодавством України.

У зв'язку з цим спеціальний закон визначає об'єктами рослинного світу дикорослі та інші несільськогосподарського призначення судинні рослини, мохоподібні, водорості, лишайники, а також гриби на всіх стадіях розвитку та утворені ними природні угруповання. Таким чином, законодавчо під охорону законодавства про рослинний світ підпадають не тільки окремі види дикорослих рослин та грибів, але й їхні угруповання на певній території.

Дикорослими рослинами визнаються рослини, що природно зростають на певній території. Природні рослинні угруповання являють собою сукупність видів рослин, що зростають у межах певних ділянок і перебувають у тісній взаємодії як між собою, так і з умовами довкілля.

ЗУ "Про рослинний світ", поряд із термінами "рослинний світ" та "об'єкти рослинного світу", містить також у ст. 3 визначення поняття "природні рослинні ресурси". Природними рослинними ресурсами вважаються об'єкти рослинного світу, що використовуються або можуть бути використані населенням для потреб виробництва та інших потреб. Таким чином, поняття "природні рослинні ресурси" є вужчим за змістом від поняття "об'єкти рослинного світу".

Особливої уваги заслуговує також питання про співвідношення між поняттями "рослинний світ" та "ліс".

Тривалий час в українському законодавстві правове поняття лісу визначалося як сукупність землі, рослинності, в якій домінують дерева та чагарники, тварин, мікроорганізмів та інших природних компонентів, що у своєму розвитку біологічно взаємопов'язані, впливають один на одного і на навколишнє середовище (ст. 3 ЛК України в редакції від 21 січня 1994 р.). З 2006 року термін "ліс" визначається відповідно до ч. 1 ст. 1 ЛК України як "тип природних комплексів, у якому поєднуються переважно деревна та чагарникова рослинність з відповідними ґрунтами, трав'яною рослинністю, тваринним світом, мікроорганізмами та іншими природними компонентами, що взаємопов'язані у своєму розвитку, впливають один на одного і на навколишнє природне середовище". Однак слід пам'ятати, що юридичне поняття "ліс" не може розглядатися поза його органічним зв'язком із поняттям "рослинний світ", а самі "ліси є лише частиною рослинного світу, хоча і найвагомішою, і що лісове законодавство не забезпечує і не в змозі забезпечити охорону рослин поза територією земель державного лісового фонду".

Крім того, суттєве значення у зв'язку з цим має визначення співвідношення між лісовою та нелісовою рослинністю. Відповідно до ч. 2 ст. 4 ЛК України до лісового фонду України не належать:

- зелені насадження в межах населених пунктів (парки, сади, сквери, бульвари тощо), які не віднесені в установленому порядку до лісів;

- окремі дерева і групи дерев, чагарники на сільськогосподарських угіддях, присадибних, дачних і садових ділянках.

Відповідно до ст. 6 ЛК України лісовими ресурсами є деревні, технічні, лікарські та інші продукти лісу, що використовуються для задоволення потреб населення і виробництва та відтворюються у процесі формування лісових природних комплексів. До лісових ресурсів також належать корисні властивості лісів, що використовуються для задоволення суспільних потреб.

Виходячи зі змісту зазначеної норми ЛК України та норм ЗУ "Про рослинний світ", незаперечним є той факт, що у законодавстві лісові ресурси розглядаються як різновид природних рослинних ресурсів. У зв'язку з цим норми законодавства про використання та охорону природних рослинних ресурсів безпосередньо стосуються і мають загальне значення й щодо лісових ресурсів. Тому і лісова рослинність, і нелісова є складовими ширшого поняття - "рослинний світ".

Тому якщо розглядати рослинний світ та ліс як абсолютно самостійні та різні природні об'єкти, надто звужується поняття рослинного світу при включенні до нього лише нелісової рослинності. Проте, як випливає зі змісту ст. 4 ЗУ "Про рослинний світ" та поняття рослинного світу у ст. 3 цього Закону, лісові ресурси є різновидом природних рослинних ресурсів, а отже, поняття рослинного світу фактично охоплює за змістом як лісову, так і нелісову рослинність. Разом з тим потрібно зазначити, що сучасне законодавче визначення терміна "ліс" дає підстави вважати складовою рослинного світу не ліс взагалі як природний комплекс, а лише його основний елемент - лісову рослинність. У зв'язку з цим норми правового режиму рослинного світу повинні бути вихідними і мати загальний характер порівняно з нормами про використання та охорону лісової рослинності.

ЗУ "Про рослинний світ" оперує ще одним поняттям - "природні рослинні ресурси", під яким розуміють об'єкти рослинного світу, що використовуються або можуть бути використані населенням для потреб виробництва та інших потреб. Таким чином, це поняття є виключно експлуатаційним.

Природні рослинні ресурси за своєю екологічною, господарською, науковою, оздоровчою, рекреаційною цінністю та іншими ознаками поділяються на природні рослинні ресурси загальнодержавного та місцевого значення.

До природних рослинних ресурсів загальнодержавного значення належать:

а) об'єкти рослинного світу у межах: внутрішніх морських вод і територіального моря, континентального шельфу та виключної (морської) економічної зони України; поверхневих вод (озер, водосховищ, річок, каналів), що розташовані і використовуються на території більш ніж однієї області, а також їхніх при-токів усіх порядків; природних та біосферних заповідників, національних природних парків, а також заказників, пам'яток природи, ботанічних садів, дендрологічних парків, зоологічних парків, парків-пам'яток садово-паркового мистецтва загальнодержавного значення;

б) лісові ресурси державного значення;

в) рідкісні і такі, що перебувають під загрозою зникнення, судинні рослини, мохоподібні, водорості, лишайники, а також гриби, види яких занесені до Червоної книги України;

г) рідкісні і такі, що перебувають під загрозою зникнення, та типові природні рослинні угруповання, занесені до Зеленої книги України.

До природних рослинних ресурсів загальнодержавного значення законодавством України можуть бути віднесені й інші об'єкти рослинного світу.

До природних рослинних ресурсів місцевого значення належать дикорослі та інші несільськогосподарського призначення судинні рослини, мохоподібні, водорості, лишайники, а також гриби, не віднесені до природних рослинних ресурсів загальнодержавного значення.

28) Відходи та їх захоронення, переробка, транспортування справедливо вважаються однією з найважливіших проблем людства. В Україні в результаті утворення великих обсягів відходів проблема екологічної безпеки набула особливої гостроти. Більшість виробничих і побутових відходів утворюється у великих містах країни, що може призвести до забруднення навколишнього природного середовища. Крім того, певні види відходів належать до категорії небезпечних для життя і здоров'я людини. Особливу небезпеку для життя і здоров'я людини становлять радіоактивні відходи.

Законодавство України про відходи регулює процес поводження з відходами на всіх стадіях - від їх утворення до знешкодження, захоронення і утилізації. Основними нормативно-правовими актами в даній галузі є: Закон України "Про охорону навколишнього природного середовища" від 19 червня 1991 року, Закон України "Про відходи" від 5 березня 1998 року, Закон України "Про поводження з радіоактивними відходами" від 30 червня 1995 року, Закон України "Про загальнодержавну програму поводження з токсичними відходами" від 14 вересня 2000 року, Закон України "Про використання ядерної енергії та радіаційну безпеку" від 8 лютого 1995 року, Постанова Кабінету Міністрів України "Про затвердження Програми поводження із твердими побутовими відходами" від 4 березня 2004 року, розпорядження Уряду України "Про схвалення Концепції Загальнодержавної цільової екологічної програми поводження з радіоактивними відходами" від 1 серпня 2007 року та ін.

Закон України "Про відходи" від 5 березня 1998 року є базовим у регулюванні правовідносин з відходами. Ним визначаються правові, організаційні та економічні засади діяльності, пов'язаної із запобіганням або зменшенням обсягів утворення відходів, їх збиранням, перевезенням, зберіганням, обробленням, утилізацією та видаленням, знешкодженням та захороненням, а також з відверненням негативного впливу відходів на навколишнє природне середовище та здоров'я людини на території України.

До основних завдань з реалізації Закону належать: визначення основних принципів державної політики у сфері поводження з відходами; правове регулювання відносин щодо діяльності у сфері поводження з відходами; визначення основних умов, вимог і правил щодо екологічно безпечного поводження з відходами, а також системи заходів, спрямованих на організаційно-економічне стимулювання ресурсозбереження; забезпечення мінімального утворення відходів, розширення їх використання в господарській діяльності, запобігання шкідливому впливу відходів на навколишнє природне середовище та здоров'я людини.

Поняття відходів як правової категорії обґрунтовується в юридичній літературі та передбачається у нормативно-правових актах національного законодавства України про відходи, а також у правових актах Європейського Союзу. Так, згідно із Законом України "Про відходи" від 5 березня 1998 року із змінами від 2012 року відходи - це будь-які речовини, матеріали і предмети, що утворилися у процесі виробництва чи споживання, а також товари (продукція), що повністю або частково втратили свої споживчі властивості і не мають подальшого використання за місцем їх утворення чи виявлення і від яких їх власник позбувається, має намір або повинен позбутися шляхом утилізації чи видалення. Між тим Державний класифікатор відходів ДК 005-1996' розширює їх поняття, включає відходи, які утворені внаслідок природних та техногенних катастроф.

Необхідність здійснення класифікації передбачається Законом України "Про відходи", який встановлює вимоги до класифікації відходів та їх паспортизації (ст. 6). У нормативно-правових актах розрізняють такі види відходів: за сферою їх утворення: відходи виробництва, споживання та побутові відходи; за агрегатним станом: тверді, рідкі, газоподібні; залежно від фізичного стану, в якому вони перебувають: газоподібні, рідинні, тверді, сумішеві; за ступенем (рівнем) небезпеки і характером впливу на навколишнє природне середовище і здоров'я людини: безпечні і небезпечні відходи (токсичні, біологічні, вибухонебезпечні, вогненебезпечні, радіоактивні тощо); за їх приналежністю: відходи, що перебувають у власності відповідних суб'єктів, та безхазяйні відходи; за суспільною корисністю; залежно від засобу подальшого поводження тощо.

Номенклатура відходів закріплена в Державному класифікаторі України "Класифікатор відходів", ДК 005-96, затвердженому Держстандартом України 29 лютого 1996 року, що ведеться з метою надання різнобічної та обґрунтованої інформації про утворення, накопичення, оброблення (перероблення), знешкодження та видалення відходів. Державний класифікатор відходів дозволяє уніфіковано описати відходи, які утворилися в різних регіонах та за різними видами економічної діяльності. З метою гармонізації української законодавчо-нормативної бази з європейською здійснюється робота по його вдосконаленню стосовно європейських стандартів і європейського каталогу відходів.

Залежно від сфери утворення відходи поділяються на відходи виробництва та споживання і побутові відходи. Найпоширенішими є відходи виробництва. Відповідно до "Класифікатора відходів" до них належать: залишки сировини, матеріалів, напівфабрикатів тощо, які утворені в процесі виробництва продукції і втратили свої споживчі властивості; супутні гірничі породи та залишкові продукти (шлам, пил, відсіви тощо); новоутворені речовини і їх суміші, що не є метою даного виробництва (шлак, зола, кубові залишки, інші тверді утворення); залишкові продукти сільськогосподарського виробництва (у тому числі тваринництва), лісівництва; бракована, некондиційна продукція чи забруднена небезпечними речовинами і не придатна до використання.

До відходів споживання належить непридатна до експлуатації продукція, вироби, медичні препарати, які втратили свої споживчі властивості і в яких містяться певні хімічні та біологічні компоненти, що потребують небезпечного видалення. Серед них особливе місце займають побутові відходи. Це відходи, що утворюються в процесі життя і діяльності людини в житлових та нежитлових будинках (тверді, великогабаритні, ремонтні, рідкі, крім відходів, пов'язаних з виробничою діяльністю підприємств) і не використовуються за місцем їх накопичення. Вони можуть бути твердими та рідкими.

Тверді побутові відходи -це відходи, які утворюються в процесі життя і діяльності людини і накопичуються у житлових будинках, громадських, навчальних, лікувальних, торговельних та інших закладах (це харчові відходи, предмети дорожнього вжитку, сміття, опале листя, відходи від прибирання і поточного ремонту квартир, макулатура, скло, метал, полімерні матеріали тощо) і не мають подальшого використання за місцем їх утворення.

Рідкі побутові відходи -господарчо-побутові (від миття, прання тощо) та каналізаційні стоки (за винятком промислових) за відсутності централізованого водовід ведення.

Особлива увага в законодавстві приділяється небезпечним відходам, тому що вони самостійно або при вступі в контакт із іншими речовинами можуть заподіяти шкоду навколишньому природному середовищу і здоров'ю людини. Небезпечними є відходи, що мають фізичні, хімічні, біологічні чи інші небезпечні властивості, які створюють або можуть створити значну небезпеку для навколишнього природного середовища і здоров'я людини та потребують спеціальних методів і засобів поводження з ними. Залежно від шкідливості їх властивостей вони поділяються на токсичні, біологічні, вибухонебезпечні, вогненебезпечні і радіоактивні відходи.

Токсичними (отрутними) є відходи, які при влученні всередину організму через органи дихання, травлення або через шкіру здатні викликати смерть людини або робити на нього сильний негативний вплив. Питання управління токсичними відходами знайшли відображення у Загальнодержавній програмі поводження з токсичними відходами, затвердженій Законом України від 14 вересня 2000 року "Про Загальнодержавну програму поводження з токсичними відходами". З метою визначення основних напрямів діяльності держави у сфері поводження з токсичними відходами передбачається прийняття Загальнодержавної програми поводження з небезпечними відходами до 2015 року.

Під вибухонебезпечними відходами розуміються тверді або рідкі відходи, які самі по собі здатні до хімічної реакції з виділенням газів такої температури і тиску і з такою швидкістю, що викликає ушкодження навколишніх предметів.

Найнебезпечнішими є радіоактивні відходи. Поняття радіоактивних відходів закріплюється в Законі України "Про поводження з радіоактивними відходами" від 30 червня 1995 року. До них належать матеріальні об'єкти та субстанції, активність радіонуклідів або радіоактивне забруднення яких перевищує межі, встановлені діючими нормами, за умови, що використання цих об'єктів та субстанцій не передбачається. V свою чергу такі відходи, залежно від рівня звільнення яких від контролю органу державного регулювання ядерної та радіаційної безпеки, підрозділяються на довгоіснуючі і короткоіснуючі

Закон України "Про відходи" додатково виділяє групу відходів - відходи як вторинна сировина. До цієї групи належать відходи, для утилізації та переробки яких в Україні існують відповідні технології та виробничо-технологічні й/або економічні передумови.

Постановою Кабінету Міністрів України від 26 липня 2001 року "Про впровадження системи збору, сортування, транспортування, переробки і утилізації відходів як вторинної сировини" передбачаються окремі тарифи за збір тари (упакування) з картону, паперу, скла, металу, пластмас, дерева. Найбільш повно в законодавстві врегульоване питання відносно збирання і переробки металобрухту. Спеціальним нормативним актом у цій галузі є Закон України "Про металобрухт" від 5 травня 1999 року, який регулює відносини, що виникають у процесі здійснення операцій з металобрухтом. Закон вводить поняття металобрухту та операцій з ним (заготівлю, переробку, металургійну переробку брухту чорних і кольорових металів), визначає вимоги до суб'єктів господарювання, які здійснюють операції з металобрухтом, державне регулювання, контроль та нагляд за здійсненням операцій у цій сфері.

29) Економічний механізм охорони навколишнього природного середовища містить цілий ряд інструментів впливу на матеріальні інтереси підприємств та окремих працівників.

Лімітування природокористування — дієвий елемент механізму охорони навколишнього природного середовища. Існують підприємства, котрі, з екологічної точки зору, краще було б закрити або перепрофілювати, тобто перевести на випуск іншої продукції, що завдавало б менше шкоди навколишньому середовищу. Наприклад, целюлозопаперовий комбінат можна перепрофілювати в меблеву фабрику. Проте, з економічної точки зору, а часом і з соціальної, це не завжди реально, оскільки підприємство може бути постачальником потрібних суспільству товарів та робочих місць. У цьому випадку його діяльність в галузі природокористування деякий час регулюється не нормативами ГДС та ГДВ, а індивідуальними лімітами, тобто ТПВ.

Довгий час природокористування в країні було безкоштовним, тобто підприємства використовували землю, воду та інші природні ресурси, а також забруднювали навколишнє природне середовище безкоштовно. Лише у випадку сильного забруднення з катастрофічними наслідками для навколишнього середовища підприємства виплачували штрафи, але не

Рис. 3.4. Поєднання адміністративних та економічних методів управління природокористуванням

завжди. Така безвідповідальність зумовлювала нераціональне використання природних ресурсів.

З метою заохочення дбайливого використання природних ресурсів та відшкодування державі частини витрат на охорону та відновлення природних ресурсів навколишнього середовища, з 50-х років поступово впроваджується плата за окремі види ресурсів, котрі вилучаються з природи.

На початку 90-х років було запроваджено платність природокористування, що передбачає плату за практично всі природні ресурси, за забруднення навколишнього природного середовища, розташування в ньому відходів виробництва та за інші види впливів. При цьому плата за понадлімітне використання та забруднення в декілька разів перевищує плату за використання та забруднення в межах встановлених нормативів (лімітів). Однак внесення плати за використання та забруднення не звільняє природокористувача від виконання заходів з ОНПС та відшкодування збитків.

Одним з важливих методів економічного управління є фінансування, тобто надання грошових коштів на чітко визначені природоохоронні заходи. Джерелами фінансування можуть бути бюджетні кошти, власні кошти підприємств (собівартість продукції або прибуток), банківські кредити та різні екологічні фонди.

Створення екологічних фондів також є одним з економічних методів управління в природокористуванні. Під фондами слід розуміти установи, покликані надавати будь-яку матеріальну допомогу, та самі грошові матеріальні кошти, а також їхні джерела. Наприклад, в екологічні фонди надходять платежі всіх підприємств за природокористування. А потім ці кошти видаються на проведення невідкладних та дорогих природоохоронних заходів. Крім цього, підприємства можуть робити внески у фонди екологічного страхування.

Важливим економічним методом управління є правильне застосування матеріального стимулювання — забезпечення зацікавленості, вигідності для підприємства та його працівників природоохоронної діяльності. При цьому передбачається застосування не лише заохочувальних заходів, але й покарань.

До заохочувальних заходів належать:

— встановлення податкових пільг (сума прибутку, з котрого стягується податок, зменшується на величину, що повністю або частково відповідає природоохоронним видаткам;

— звільнення від оподаткування екологічних фондів та природоохоронного майна;

— застосування заохочувальних цін та надвишок на екологічно чисту продукцію;

— застосування пільгового кредитування підприємств, котрі ефективно здійснюють ОНПС (зниження процента за кредит або безпроцентне кредитування);

— запровадження спеціального додаткового оподаткування екологічно шкідливої продукції та продукції, що випускається із застосуванням екологічно небезпечних технологій;

— штрафи за екологічні правопорушення.

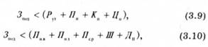
Підприємства будуть активно працювати в галузі природоохоронної діяльності, коли буде розроблено та широко впроваджено такий механізм стимулювання, при котрому дотримується наступна нерівність:

де З под — видатки підприємства на природоохоронну діяльність;

Р ут — прибуток від утилізації відходів;

Пп — пільги оподаткування;

К п — кредитні пільги;

Ц н — надвишка до ціни;

П п.в — плата за понаднормативне використання ресурсів природи;

П н.з — плата за понаднормативне забруднення навколишнього середовища;

П с.р — плата за розташування відходів в навколишньому середовищі;

Ш — штрафи;

Д н — додаткове оподаткування.

Елементи формули (3.9) повинні збільшувати прибуток, котрий залишається у розпорядженні підприємства за умови реалізації ефективної природоохоронної діяльності, а елементи формули (3.10) — знижувати його, коли підприємство намагається заощаджувати на природоохоронних видатках.

Заходи щодо стимулювання за результатами природоохоронної діяльності повинні бути передбачені і для окремих працівників підприємства, котрі беруть безпосередню участь у ній.

30) Нині міжнародне екологічне право налічує більше 1500 багатосторонніх універсальних (глобальних) і регіональних конвенцій (угод, договорів, протоколів) і понад 3000 двосторонніх договорів, що стосуються прямо або побічно екологічних проблем.

На початку XX ст., коли міжнародне співтовариство вперше звернуло свої погляди на проблеми стану природного середовища, процес створення міжнародних екологічних норм відбувався шляхом звичаєвої правотворчості. Одна з таких норм звичаєвого права, що набула згодом підтвердження в рішеннях міжнародних судових і арбітражних органів, вимагала, щоб держави під час використання національних природних ресурсів не заподіювали шкоди території і законним інтересам інших держав.

Період до і під час Другої світової війни не вирізнявся високою активністю в розвитку міжнародного екологічного права. Хоча на регіональному рівні процес екологічної нормотворчості відбувався. Так, у 1933 р. була укладена Конвенція про охорону флори і фауни на Африканському континенті, а в 1940 р. - аналогічна Конвенція для Західної півкулі.

Створення ООН та її спеціалізованих установ значно прискорило розвиток міжнародного екологічного права. Генеральна Асамблея ООН 18 грудня 1962 р. прийняла резолюцію 1831 (XVII) "Економічний розвиток і охорона природи". В ній наголошувалося, що природоохоронні заходи мають проводитися завчасно або принаймні одночасно з економічним розвитком на основі національного законодавства держав і міжнародного права. Це положення резолюції багато в чому збігається із сучасною концепцією "сталого розвитку".

Епохальною подією в розвитку екологічного права стала Конференція ООН із середовища, що оточує людину, яка відбулася 5-16 червня 1972 р. в Стокгольмі (Швеція). 114 держав взяли участь у її роботі. Конференція прийняла Декларацію принципів і План дій. За юридичним значенням ці документи належать до так званого "м'якого права", тобто не є юридично обов'язковими. Проте вони поклали початок широкої і багаторічної діяльності всього міжнародного співтовариства з цього питання, зокрема, Програми ООН з навколишнього середовища (ЮНБП). Стокгольмська конференція дала потужний імпульс у справі інтенсивного розвитку екологічного права як на міжнародному, так і національному рівні. З метою розвитку ідей і пропозицій, висловлених на Конференції в Стокгольмі, було прийнято: Конвенцію ЮНЕСКО про охорону всесвітньої культурної і природної спадщини 1972 р.; Конвенцію про міжнародну торгівлю видами дикої фауни і флори, що перебувають під загрозою зникнення 1973 р.; Конвенцію про заборону військового або будь-якого ворожого використання засобів впливу на природне середовище 1977 р.; Боннську конвенцію про збереження мігруючих видів диких тварин 1979 р.; Конвенцію про транскордонне забруднення повітря на великі відстані 1979 р.; Конвенцію ООН з морського права 1982 р.; Угоду про тропічні ліси 1983 р.; Віденську конвенцію про охорону озонового шару 1985 р. та ін.

У червні 1992 р., як згадувалося вище, в Ріо-де-Жанейро відбулася Конференція ООН з навколишнього середовища і розвитку, покликана підбити підсумки за 20-річний період після Стокгольмської конференції і визначити головні напрями розвитку екологічного права напередодні XXI ст. Результати Конференції Ріо виявилися меншими за очікувані: два декларативні документи і дві конвенції. В червні 1997 р. спеціальна сесія Генеральної Асамблеї ООН під назвою "Ріо + 5" розглянула стан справ в екологічній сфері за п'ять років, що минули після Конференції в Ріо-де-Жанейро. Висновок був невтішний - принципового поліпшення не настало, людство, як і раніше, прямує до екологічної катастрофи.

Міжнародне екологічне право розвивається. Правда, на регіональному рівні цей процес відбувається швидше, ніж на глобальному. Держави багатьох регіонів приймають міжнародно-правові акти з питань організації охорони навколишнього середовища в цілому або окремих компонентів, а також регулювання використання природних ресурсів. Прикладами таких угод є Бухарестська конвенція про захист Чорного моря від забруднення 1992 р., Гельсінська конвенція про захист морського середовища району Балтійського моря 1992 р., Угода СНД про взаємодію в галузі екології й охорони навколишнього природного середовища 1992 р. та Протокол про обов'язки, права і відповідальність учасників Угоди 1992 р.

Проте рівень інтеграції міжнародного співтовариства, що постійно зростає, вимагає адекватних універсальних міжнародно-правових засобів щодо запобігання екологічній катастрофі.

Після Конференції 1992 р. була здійснена спроба кодифікувати міжнародне екологічне право. Група фахівців розробила проект Міжнародного пакту з навколишнього середовища і розвитку, який, на думку авторів, після підписання та ратифікації має стати базисним актом міжнародного екологічного права. Проект пакту був представлений в березні 1995 р. на ювілейному Конгресі ООН з міжнародного публічного права (Нью-Йорк), де отримав позитивні відгуки. На жаль, подальшого розвитку ця ініціатива не отримала.

Слід підкреслити, що на початку XXI ст. сформувалися необхідні об'єктивні передумови для ухвалення кодифікуючого акта з міжнародного екологічного права, в якому має бути закріплений принцип екологічний безпеки як один з основних принципів міжнародного права.

Саміт ООН з проблем зміни клімату, що відбувся 7-18 грудня 2009 р. в Копенгагені, продемонстрував зростання суперечностей між розвинутими країнами і країнами, що розвиваються, щодо різного бачення своїх обов'язків із захисту клімату. Спроби досягти згоди у визначенні глобальної екологічної стратегії довелося перенести на 2010 р. За підсумками саміту, його учасники так і не взяли на себе жодних конкретних кількісних зобов'язань. У котре була констатована необхідність скоротити викиди в навколишнє середовище до 2050 р. на 50 % від рівня 1990 р., що дасть змогу стримати підвищення середньої температури. Хоч угоду, що юридично зобов'язує, в Копенгагені не прийнято, більшість великих країн озвучили свої плани (або наміри) у сфері захисту клімату. Так, США і Китай готові до 2020 р. зменшити викиди вуглекислого газу в атмосферу на 14-17 % порівняно з 2005 р., країни ЄС - на 30, Росія - на 20-25 % порівняно з 1990 р. На кліматичних конференціях у Бонні (середина 2010 р.) і в Мехіко (листопад 2010 р.) країни спробують затвердити новий екологічний договір, який має змінити Кіотський, дія якого закінчується у 2012 р.




Поделиться с друзьями:


Дата добавления: 2014-11-06; Просмотров: 725; Нарушение авторских прав?; Мы поможем в написании вашей работы!


Нам важно ваше мнение! Был ли полезен опубликованный материал? Да | Нет



studopedia.su - Студопедия (2013 - 2026) год. Все материалы представленные на сайте исключительно с целью ознакомления читателями и не преследуют коммерческих целей или нарушение авторских прав! Последнее добавление




Генерация страницы за: 0.017 сек.