Студопедия

КАТЕГОРИИ:


Архитектура-(3434)Астрономия-(809)Биология-(7483)Биотехнологии-(1457)Военное дело-(14632)Высокие технологии-(1363)География-(913)Геология-(1438)Государство-(451)Демография-(1065)Дом-(47672)Журналистика и СМИ-(912)Изобретательство-(14524)Иностранные языки-(4268)Информатика-(17799)Искусство-(1338)История-(13644)Компьютеры-(11121)Косметика-(55)Кулинария-(373)Культура-(8427)Лингвистика-(374)Литература-(1642)Маркетинг-(23702)Математика-(16968)Машиностроение-(1700)Медицина-(12668)Менеджмент-(24684)Механика-(15423)Науковедение-(506)Образование-(11852)Охрана труда-(3308)Педагогика-(5571)Полиграфия-(1312)Политика-(7869)Право-(5454)Приборостроение-(1369)Программирование-(2801)Производство-(97182)Промышленность-(8706)Психология-(18388)Религия-(3217)Связь-(10668)Сельское хозяйство-(299)Социология-(6455)Спорт-(42831)Строительство-(4793)Торговля-(5050)Транспорт-(2929)Туризм-(1568)Физика-(3942)Философия-(17015)Финансы-(26596)Химия-(22929)Экология-(12095)Экономика-(9961)Электроника-(8441)Электротехника-(4623)Энергетика-(12629)Юриспруденция-(1492)Ядерная техника-(1748)

Эластичность




Эластичность спроса по цене. Точечная и дуговая

Эластичность представляет собой выраженное в процентах изме­нение одной переменной (спроса или предложения) в ответ на выра­женное в процентах изменение другой переменной (цены или дохода). В общем случае под эластичностью понимается отношение процент­ного изменения функции к процентному изменению аргумента16:

 

Эластичность спроса относительно цены показывает относительное изменение объема спроса под влиянием изменения цены на один процент17.

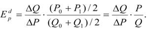
Вычисляется по формуле

где P - первоначальная цена; Q - первоначальное количество покупае­мой продукции; ∆Q - изменение объёма спроса; ∆P - изменение цены. Эластичность спроса по цене обычно представляет собой отрицатель­ную величину. Это связано с тем, что когда цена товара повышается, то спрос на данный товар сокращается, поэтому ∆Q/∆P < 0.

Существует два способа расчета ценовой эластичности спроса: то­чечная и дуговая эластичность.

1. Точечная эластичность может быть определена, если провести касательную к кривой спроса. Наклон кривой спроса в любой своей точке, как известно, определяется значением тангенса угла касательной с осью X.

Значение точечной эластичности обратно пропорционально тан­генсу угла наклона [34]:

2. Во избежание неопределенности в расчетах обычно используют средние для анализируемого периода значения цены и количества про­дукции. Такой способ расчета позволяет вычислить коэффициент дуго­вой эластичности.

Формула эластичности при этом принимает вид

Если определенное процентное изменение цены ведет к больше­му процентному изменению спроса на данную продукцию, то спрос считается эластичным и коэффициент эластичности при этом больше единицы (рис. 14).

Рис. 14. Важнейшие виды эластичности спроса: абсолютно неэластичный спрос (ED = 0), совершенно эластичный спрос (ED =∞), единичной

эластичности (ED = 1); эластичный (ED > 1), неэластичный (ED < 1)

 

Если же процентное изменение цены на какой-нибудь товар не со­провождается изменением его требуемого количества, то спрос счита­ется неэластичным (рис. 14). Очевидно, что при неэластичном спросе коэффициент эластичности меньше единицы. Обычно неэластичный спрос существует на многие виды продуктов питания (хлеб, соль, спички), на медикаменты, другие предметы первой необходимости.

Если коэффициент эластичности равен нулю, то спрос абсолютно неэластичен, т.е. никакое изменение цены не влечет за собой измене­ние количества требуемой продукции. Это бывает, например, при ре­ализации жизненно необходимых для определенной группы больных лекарств (инсулина для диабетиков). При этом кривая спроса при­нимает вид прямой линии, параллельной оси ординат, - линии цены (рис. 14).

Когда при неизменной цене или ее крайне незначительных измене­ниях спрос на продукцию уменьшается или увеличивается до предела покупательских возможностей, его называют абсолютно эластичным. Такое возможно на совершенно конкурентном рынке или в условиях инфляции: при ничтожно малом снижении цен или в ожидании их по­вышения потребитель старается потратить свои деньги, чтобы уберечь их от обесценения, вложив в материальные блага. Коэффициент абсо­лютно эластичного спроса приближается к бесконечности, а линия аб­солютно эластичного спроса на графике имеет вид параллельной оси абсцисс прямой, т.е. линии количества продукции (рис. 14).

На рынке может сложиться ситуация, когда процентное изменение цены приведет к равному по величине процентному изменению коли­чества требуемой продукции. Например, снижение цены на 10% ведет к росту объема продажи также на 5%. При этом коэффициент эластич­ности равен единице. Такой случай называется единичной (унитар­ной) эластичностью.

 




Поделиться с друзьями:


Дата добавления: 2014-11-06; Просмотров: 591; Нарушение авторских прав?; Мы поможем в написании вашей работы!


Нам важно ваше мнение! Был ли полезен опубликованный материал? Да | Нет



studopedia.su - Студопедия (2013 - 2026) год. Все материалы представленные на сайте исключительно с целью ознакомления читателями и не преследуют коммерческих целей или нарушение авторских прав! Последнее добавление




Генерация страницы за: 0.011 сек.