Студопедия

КАТЕГОРИИ:


Архитектура-(3434)Астрономия-(809)Биология-(7483)Биотехнологии-(1457)Военное дело-(14632)Высокие технологии-(1363)География-(913)Геология-(1438)Государство-(451)Демография-(1065)Дом-(47672)Журналистика и СМИ-(912)Изобретательство-(14524)Иностранные языки-(4268)Информатика-(17799)Искусство-(1338)История-(13644)Компьютеры-(11121)Косметика-(55)Кулинария-(373)Культура-(8427)Лингвистика-(374)Литература-(1642)Маркетинг-(23702)Математика-(16968)Машиностроение-(1700)Медицина-(12668)Менеджмент-(24684)Механика-(15423)Науковедение-(506)Образование-(11852)Охрана труда-(3308)Педагогика-(5571)Полиграфия-(1312)Политика-(7869)Право-(5454)Приборостроение-(1369)Программирование-(2801)Производство-(97182)Промышленность-(8706)Психология-(18388)Религия-(3217)Связь-(10668)Сельское хозяйство-(299)Социология-(6455)Спорт-(42831)Строительство-(4793)Торговля-(5050)Транспорт-(2929)Туризм-(1568)Физика-(3942)Философия-(17015)Финансы-(26596)Химия-(22929)Экология-(12095)Экономика-(9961)Электроника-(8441)Электротехника-(4623)Энергетика-(12629)Юриспруденция-(1492)Ядерная техника-(1748)

ТЕМА 6. Оборот розничной торговли




ЗАДАЧИ

ТЕСТЫ

1. Оборот оптовой торговли –

а) это рациональная организация товародвижения;

б) это продажа товаров населению;

в) это мелкооптовый отпуск товаров со складов оптовых предприятий;

г) это продажа товаров другим предприятиям и организациям для последующей перепродажи или производственного потребления.

 

2. Формы оптового оборота розничной торговли:

а) оптово-складская;

б) централизованная доставка непосредственно в розничную сеть;

в) транзитная с участием в расчетах;

г) складская и транзитная.

 

3. Как рассчитывается показатель оптово-складской звенности товародвижения?

а) отношение оптового оборота розничной торговли к розничному;

б) отношение розничного оборота розничной торговли к сумме розничного и оптового (валового оборота розничной торговли);

в) отношение оптово-складского оборота к розничному;

г) отношение транзитного оборота к складскому.

 

4. Объясните, как называются данные каналы товародвижения. Какой из перечисленных каналов товародвижения для розничного звена предпочтительнее и почему?

а) “Производитель → Потребитель”;

б) “Производитель → Торговый посредник (розничный) → Потребитель”;

в) “Производитель → 1-й торговый посредник → 2-й и последующие посредники → Потребитель”.

 

 

Задача 1

Определите:

1. Структуру оптового оборота розничной торговли по формам товародвижения и его динамику;

2. Коэффициент звенности (складской);

3. Сумму излишней перевалки товаров через склады оптовой базы в отчетном году.

Таблица

Исходные данные для анализа оптового оборота

(тыс. руб.)

Показатели Прошлый год Отчетный год
Оборот розничной торговли    
Оборот оптовой торговли, всего. В том числе    
оптово-складской    
транзитный    

Задача 2

Определить влияние изменения структуры розничного оборота розничной торговли и других факторов (в совокупности) на отношение оптово-складского оборота к розничному.

 

Таблица

Оборот розничной торговли и оптово-складской оборот

по системе РПС

(тыс. руб.)

Группы товаров Оборот розничной торговли Оптово-складской оборот
Базисный год Отчетный год Базисный год Отчетный год
Продовольственные товары        
Непродовольствен-ные товары        
Итого        

 

Задача 3

Определите влияние изменения звенности товародвижения на уровень издержек обращения райпо за отчетный год. Процентное отношение оптово-складского оборота райпо к розничному увеличилось за отчетный год на 1,6 процентных пункта. Оборот розничной торговли райпо за отчетный год составил 165490 тыс.руб. Оборот оптовой торговли 90524 тыс. руб. Сумма издержек обращения оптовой торговли за отчетный год составила 15390 тыс. руб. В том числе по условно-постоянным статьям 6310 тыс. руб.

Задача 4

Определите объем продаж оптового предприятия и в том числе товаров с его складов в розничную торговую сеть и предприятия общественного питания в предстоящем году на основе данных таблицы.

В предстоящем году предполагается повысить значение коэффициента звенности товародвижения на 2,5 пункта, а объем реализации продукции и товаров через розничную торговую сеть и предприятия общественного питания на 12,3%.

 

Таблица

Исходные данные для планирования оптового оборота

(тыс. руб.)

Показатели Текущий год Предстоящий год Темп роста, %
Оборот розничной торговли торговой сети      
Оборот предприятий общественного питания      
Оборот оптовой торговли      
Удельный вес оптово-складского оборота, %   85,1     -1,3
Коэффициент звенности товародвижения, %   11,8    
Оптово-складской оборот      

Задача 5

Определите норматив товарных запасов в сумме и в днях на IV квартал предстоящего года по предприятию “Универсал”, осуществляющему оптовую и розничную реализацию товаров, на основе данных таблицы.

Таблица

Виды продаж Объем продаж Норматив запасов
за квартал, тыс. руб. Одноднев-ный дни тыс. руб.
Розничная        
Мелкооптовая        
Оптовая        
Итого        

 

Задача 6

Определите норматив товарных запасов в сумме и в днях на IV квартал предстоящего года по торговой фирме “Посредник”, осуществляющий оптовую и розничную реализацию товаров, используя данные таблицы:

 

 

Таблица

Расчет норматива товарных запасов

Виды продаж Объем продаж Норматив запасов
за год, тыс. руб. доля продаж в IV квартале,% дни тыс. руб.
Розничная   26,3    
Мелкооптовая   27,0    
Оптовая       603,3
Итого        

Задача 7

Определите план поступления товаров по торговой фирме “Колос” на основе следующих данных:

1. По расчетам объем продаж продовольственных товаров составит 15340 тыс. руб., непродовольственных - 18470 тыс. руб.

2. Товарные запасы на начало года продовольственных товаров - 4900 тыс. руб., непродовольственных - 7060 тыс. руб.

3. Товарные запасы на конец года по нормативу продовольственных товаров - 5050 тыс. руб., непродовольственных - 6800 тыс. руб.

 

Задача 8

Определите норматив товарных запасов по оптовому предприятию на II квартал предстоящего года. Расчеты произведите по формуле:

,

где Н - норматив товарных запасов, дни;

М - минимальный запас (М=Вс+Р);

- запас текущего пополнения.

 

Таблица

Расчет норматива товарных запасов по группе “Трикотажные изделия” на II квартал предстоящего года по оптовому предприятию

 

Показатели Условные обозна-чения Трико-тажные изделия
Запас на время подготовки товаров к продаже Вс 1,2
Количество разновидностей в представительном наборе   К  
Количество разновидностей, поступающих в одной партии   П  
Коэффициент комплектности П/К  
Интервал между очередными поступлениями, дни Т  
Страховой запас 40% от частоты поступления, дни Р  
Минимальный запас М  
Запас текущего пополнения Т/2к  
Расчетный норматив, дни Н  
План оптово-складского оборота на II квартал, тыс. руб.    
Однодневный оптово-складской оборот розничной торговлина II квартал, тыс. руб.    
Норматив товарных запасов в сумме, тыс. руб.    

 

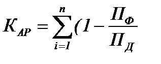
Задача 9

Сделайте оценку ритмичности поставки товара с учетом договоренности в контракте, что в I квартале текущего года поставка будет увеличиваться в связи с сезонностью спроса на товар, а во II квартале ежемесячно сокращаться.

Для оценки используйте формулу коэффициента аритмичности:

);

где ПД и ПФ - поставка (в натуральных или стоимостных

единицах) по условиям договора и факти чески за i-тый период времени;

n - число периодов поставки.

Таблица

Расчет ритмичности поставки

 

Месяцы Поставка, тыс. ед. Коэффициент отношения ПФД Абсолютное отклонение К от 1 (1-ПФД)
по договору ПД фактически ПФ
Январь        
Февраль        
Март        
Апрель        
Май        
Июнь        
Итого 2 250 2 250 -

Примечание: Чем ближе коэффициент аритмичности к 0, тем ритмичнее поставка, и чем он удаленнее от 0, тем существеннее аритмичность, что свидетельствует о существенном отклонении от условий договора (контракта).

 

Задача 10

Определите объем продаж оптового предприятия, в том числе со складов его в розничную торговую сеть и предприятия общественного питания в будущем году на основе данных таблицы.

В предстоящем году предполагается повышение коэффициента звенности на 3,5 пункта, а объем реализации товаров и продукции через розничную сеть и общественное питание увеличится на 10,5%.

 

 

Таблица

Исходные данные для планирования оптового оборота

(тыс. руб.)

Показатели Текущий год Планируемый год Планируемый год к текущему году, %
Оборот розничной торговли торговой сети      
Оборот предприятий общественного питания      
Оборот оптовой торговли      
Удельный вес оптово-складского оборота, %   87,1     -1,5
Коэффициент звенности товародвижения, %   12,8    
Оптово-складской оборот      

Задача 11

Произведите комплексный анализ следующих показателей по оптовой базе и по торговле системы райпотребсоюза:

1. Товарные запасы текущего хранения на оптовой базе райпотребсоюза на конец отчетного года в таблице “Исходные данные о товарных запасах”.

2. Товарооборачиваемость по оптовой базе райпотребсоюза за отчетный год и влияние изменения структуры складского оборота на оборачиваемость товаров в таблицах “Расчет средних товарных запасов по оптовой базе за отчетный год”, “Товарооборачиваемость по оптовой базе за отчетный год”, “Расчет влияния изменения структуры оборота розничной торговли на оборачиваемость товаров по оптовой базе райпотребсоюза за отчетный год”.

3. Товарные запасы текущего хранения в торговле системы райпотребсоюза на конец отчетного года представлены в таблице “Состояние товарных запасов по торговле системы райпотребсоюза на конец отчетного года”.

Таблица 1

Расчет показателей оборота оптовой торговли

(тыс. руб.)

Показатели Отчетный год План оборота розничной торговлиI квартала
Всего В том числе товаров Всего В том числе товаров
прод. непрод. прод. непрод.
Оборот розничной торговли торговой сети            
Всего оборот оптовой торговли                        
В том числе транзитный            
Мелкооп-товая продажа товаров со склада базы            

Таблица 2

Исходные данные о товарных запасах

(тыс. руб.)

Показатели Товарные запасы на определенную дату отчетного года
на 01.01 на 01.04. на 01.07 на 01.10 на 01.01. пл. года
Товарные запасы, всего в том числе:          
продовольственных товаров          
непродовольственных товаров          

Решение оформите в ниже представленных таблицах и напишите выводы.

Таблица 3

Товарные запасы оптовой базы райпотребсоюза

на конец отчетного года

(тыс. руб.)

Товарные группы Товарные запасы на складах базы всего Норматив запасов I квартала планируемого года Отклонение от норматива Однодневный оборот I квартала планируемого года
сумма дни
Итого прод. товаров          
Итого непрод. товаров            
Всего товаров          

 

Таблица 4

Расчет средних товарных запасов

по оптовой базе за отчетный год

(тыс. руб.)

Товарные группы Товарные запасы Сред-ние товар-ные запасы
на 01.01 на 01.04. на 01.07 на 01.10 на 01.01. плани-руемого года
Итого продовольственных товаров            
Итого непродовольственных товаров            
Всего товаров            

 

Таблица 5

Оборачиваемость товаров по оптовой базе за отчетный год

Товар-ные группы Факти-ческая обора-чивае- мость прош-лого года, дни Средние товарные запасы, тыс. руб. Однод-невный оборот базы за отчет-ный год, тыс. руб. Факти-ческая оборачи-ваемость отчет-ного года, дни Норма-тив оборачи-ваемос- ти, дни Отклонение фактической оборачиваемости
от прошлого года, дни от норматива, дни
Итого продовольственных товаров     22,0              
Итого непродовольственных товаров     44,0              
Всего товаров   33,9            

Таблица 6

Расчет влияния изменения структуры оборота розничной торговли на оборачиваемость товаров по оптовой базе райпотребсоюза за отчетный год

Товарные группы Удельный вес в обороте розничной торговли, % Фактическая оборачивае-мость Процентные числа
прошлый год отчетный год прошлого года, дней прошлый год отчетный год
Итого продовольственных товаров            
Итого непродовольственных товаров            
Всего товаров          

Таблица 7

Состояние товарных запасов по торговле

системы райпотребсоюза на конец отчетного года

(тыс. руб.)

Звенья торговли Оборот розничной торговли I квартала планируемого года Товарные запасы Отклонение фактических запасов от норматива  
всего однодневный факти-ческие норматив I квартала в сумме в днях
Розничная торговля            
Оптовая торговля            
Итого по торговле            
               

 

Задача 12

Определить план оптового оборота розничной торговли торгового предприятия на будущий год.

За отчетный год оптово-складской оборот базы возрос с 14901 тыс. руб. до 17700 тыс. руб. При этом цены возросли за этот период в 1,1 раза. В планируемом году по прогнозным расчетам в среднем цены возрастут на 7,8%. Доля транзита во всем оптовом обороте составит в планируемом году 51 %.

Задача 13

За год объем оптово-складского оборота оптового торгового предприятия в сопоставимых ценах должен возрасти на 1560 тыс. руб. и составить - 17400 тыс. руб.

За счет ввода в действие нового склада размер складской площади возрастет на 450 м2 и составит 5200 м2.

Определить сумму и долю прироста оборота розничной торговли в планируемом году за счет экстенсивного и интенсивного факторов.

Задача 14

Число работников оптового торгового предприятия в отчетном году составляло 63 человека, в планируемом году составит 68 человек.

Объем оборота оптовой торговли в отчетном году - 17570 тыс. руб., в планируемом - 25520 тыс. руб.

Определить долю интенсивного фактора в развитии оборота оптовой торговли.

Задача 15

Рассчитать прогнозный объем складского и всего оптового оборота торговли райпо и ожидаемую нагрузку на 1 м2 складской площади. Фактическая складская площадь базы на начало отчетного года 4500м2. С января планируемого года 1 склад площадью 1000м2 сдан в аренду.

Фактический объем складского оборота в отчетном году - 18970 тыс. руб. В планируемом году физический объем реализации снизится на 8%, цены возрастут на 11%. Доля транзита по прогнозу составит 21% от всего оптового оборота.

 


 

Задание 1

В отчете по торговому предприятию приведены следующие показатели (тыс. руб.):

Выручка от продаж (за минусом НДС) - 35 004,80
Стоимость товаров в покупных ценах - 29 084,10
Валовой доход (без НДС) - ?
Издержки обращения - 5 183,20
Прибыль от реализации - ?
Сальдо операционных расходов - 176,50
Прибыль (убыток) отчетного года - ?
Налог на прибыль - ?
Чистая прибыль - ?

 

На основе данных определите показатели и их величины в приведенной схеме:

 

  Название  
    Величина  
   
     
  Название   Название  
    Величина     Величина  
   
     
  Название   Название  
    Величина     Величина  
   
         
Название   Название   Название   Название  
  Величина     Величина     Величина     Величина  
                                                           

 


Задание 2

Подготовьте устные ответы.

а) Каковы особенности и проблемы развития оборота розничной торговли кооперативных торговых организаций?

б) Приведите цифры, характеризующие динамику оборота розничной торговли кооперативной торговли за последние 3 года.

в) Какие факторы обуславливают развитие оборота розничной торговли?

г) По какому показателю можно судить об уровне потребления населения?

д) Каково основное экономическое содержание оборота розничной торговли?

 

Задание 3

а) Объясните, какие отрицательные последствия оказывают на другие показатели торгово-хозяйственной деятельности спад объема оборота розничной торговли.

б) Какие интенсивные факторы способствуют росту оборота розничной торговли? Напишите их через формулы.

в) Определите долю прироста оборота розничной торговли за счет интенсивного фактора, т.е. ускорения оборачиваемости товаров, если объем оборота розничной торговли в будущем периоде увеличится с 32060 тыс. руб. до 38472 тыс. руб. Средняя сумма товарных запасов возрастет в связи с ростом оборота розничной торговли на 7,2%.

 

Задание 4

Назовите из перечисленных показатели баланса оборота розничной торговли и оформите их балансовой увязкой с расчетом объема поступления товаров в отчетном периоде (тыс. руб.):

 

 

1. Покупная стоимость товаров - 29 084,10
2. Выручка от продаж - 35 004,80
3. Прибыль от реализации товаров - 737,50
4. Прочие операционные доходы - 63,03
5. Документированный расход - 45,00
6. Товарные запасы на конец отчетного периода -   3 890,00
7. Прочие внереализационные доходы - 123,90
8. Норматив товарных запасов на будущий период - 3 695,00
9. Поступление товаров за отчетный период - ?
10.Прибыль (убыток) отчетного периода - 561,00

 

Задание 5

1. Закончите мысль: если запасы товаров на начало и конец периода не изменились, то объем продаж за отчетный период равен объему...

2. Влияет ли ценовой фактор на изменение оборачиваемости товаров? Ваше мнение?

а) Да.

б) Нет.

 

Задание 6

1. По какому показателю судят об удовлетворении платежеспособного спроса населения?

2. В каком соотношении должны быть темпы роста оборота розничной торговли по сравнению с темпом роста покупательных фондов населения и почему?

3. Определите процент охвата покупательных фондов населения оборотом розничной торговли за отчетный год на основе данных (тыс. руб.):

а) оборот розничной торговли, - 188000;

в том числе мелкооптовый оборот - 10000;

б) денежные доходы обслуживаемого

населения - 294000;

в) нетоварные расходы населения - 114660;

г) превышение доходов над расходами - 5200

 

Ответ:

1. ;

2. ;

3. .

 

Задание 7

Ответьте на вопросы.

1. Как распределяется оборот розничной торговли отчетного года в сопоставимых ценах базисного года? Напишите формулу.

2. Что произошло за отчетный год?

а) снижение цен;

б)повышение цен;

в) цены не изменились.

Если оборот отчетного года в сложившихся ценах 27880 тыс. руб., а в сопоставимых ценах базисного периода 25118 тыс. руб., оборот розничной торговли прошлого года - 21614 тыс. руб.

3. Определите абсолютный прирост оборота розничной торговли за счет изменения цен на товары по данным пункта 2.





Поделиться с друзьями:


Дата добавления: 2014-11-06; Просмотров: 2230; Нарушение авторских прав?; Мы поможем в написании вашей работы!


Нам важно ваше мнение! Был ли полезен опубликованный материал? Да | Нет



studopedia.su - Студопедия (2013 - 2026) год. Все материалы представленные на сайте исключительно с целью ознакомления читателями и не преследуют коммерческих целей или нарушение авторских прав! Последнее добавление




Генерация страницы за: 0.012 сек.