Студопедия

КАТЕГОРИИ:


Архитектура-(3434)Астрономия-(809)Биология-(7483)Биотехнологии-(1457)Военное дело-(14632)Высокие технологии-(1363)География-(913)Геология-(1438)Государство-(451)Демография-(1065)Дом-(47672)Журналистика и СМИ-(912)Изобретательство-(14524)Иностранные языки-(4268)Информатика-(17799)Искусство-(1338)История-(13644)Компьютеры-(11121)Косметика-(55)Кулинария-(373)Культура-(8427)Лингвистика-(374)Литература-(1642)Маркетинг-(23702)Математика-(16968)Машиностроение-(1700)Медицина-(12668)Менеджмент-(24684)Механика-(15423)Науковедение-(506)Образование-(11852)Охрана труда-(3308)Педагогика-(5571)Полиграфия-(1312)Политика-(7869)Право-(5454)Приборостроение-(1369)Программирование-(2801)Производство-(97182)Промышленность-(8706)Психология-(18388)Религия-(3217)Связь-(10668)Сельское хозяйство-(299)Социология-(6455)Спорт-(42831)Строительство-(4793)Торговля-(5050)Транспорт-(2929)Туризм-(1568)Физика-(3942)Философия-(17015)Финансы-(26596)Химия-(22929)Экология-(12095)Экономика-(9961)Электроника-(8441)Электротехника-(4623)Энергетика-(12629)Юриспруденция-(1492)Ядерная техника-(1748)

Основные законы и формулы 1 страница




Задачи

Кварки

 

В многообразии элементарных частиц, известных к настоящему времени, обнаруживается более или менее стройная система классификации. Для ее пояснения в табл. 8 представлены основные характеристики рассмотренных выше элементарных частиц. Характеристики античастиц не приводятся, поскольку, как указывалось в § 273, модули зарядов и странности, массы, спины, изотопические спины и время жизни частиц и их античастиц одинаковы, они различаются лишь знаками зарядов и странности, а также знаками других величин, характеризующих их электрические (а следовательно, и магнитные) свойства. В таблице нет также античастиц фотона и p°- и η0-мезонов, так как антифотон и антипи-ноль- и антиэта-ноль-мезоны тождественны с фотоном и p°- и η°-мезонами.

В табл. 8 элементарные частицы объединены в три группы (см. § 272): фотоны, пептоны и адроны. Элементарные частицы, отнесенные к каждой из этих групп, обладают общими свойствами и характеристиками, которые отличают их от частиц другой группы.

К группе фотонов относится единственная частица — фотон, который переносит электромагнитное взаимодействие. В электромагнитном взаимодействии участвуют в той или иной степени все частицы, как заряженные, так и нейтральные (кроме нейтрино).

К группе леитонов относятся электрон, мюон, таон, соответствующие им нейтрино, а также их античастицы. Все лептоны имеют спин, равный 1/2, и, следовательно, являются фермионами (см. § 226), подчиняясь статистике Ферми — Дирака (см. § 235).

Таблица 8

 

 

Поскольку лептоны в сильных взаимодействиях не участвуют, изотопический спин им не приписывается. Странность лептонов равна нулю.

Элементарным частицам, относящимся к группе лептонов, приписывают так называемое лептонное число (лептонный заряд) L. Обычно принимают, что L= + l для лептонов (е-, m-, t-, ve, vm, vt), L = - 1 для антилептонов (е+, m+,t+. ṽ e,m, ṽt) и L = 0 для всех остальных элементарных частиц. Введение Lпозволяет сформулировать закон сохранения лептонного числа: в замкнутой системе при всех без исключения процессах взаимопревращаемости элементарных частиц лептонное число сохраняется.

Теперь понятно, почему при распаде (258.1) нейтральная частица названа антинейтрино, а при распаде (263.1) — нейтрино. Так как у электрона и нейтрино L = + l,а у позитрона и антинейтрино L = - 1, то закон сохранения лептонного числа выполняется лишь при условии, что антинейтрино возникает вместе с электроном, а нейтрино — с позитроном.

Основную часть элементарных частиц составляют адроны. К группе адронв от носятся пионы, каоны, η-мезон, нуклоны, гипероны, а также их античастицы (в табл. 8 приведены не все адроны).

Адронам приписывают барионное число (барионнын заряд) В. Адроны с В=0 образуют подгруппу мезонов (пионы, каоны, η-мезон), а адроны с В= +1 образуют подгруппу барионов (от греч. «барис» — тяжелый; сюда относятся нуклоны и гипероны). Для лептонов и фотона В = 0. Если принять для барионов В = +1, для антибарионов (антинуклоны, антигипероны) В = - 1,а для всех остальных частиц В = 0,то можно сформулировать закон сохранения барнонного числа: в замкнутой системе при всех процессах взаимопревращаемости элементарных частиц барионное число сохраняется.

Из закона сохранения барионного числа следует, что при распаде бариона наряду с другими частицами обязательно образуется барион. Примерами сохранения барионного числа являются реакции (273.1)—(273.5). Барионы имеют спин, равный 1/2 (только спин W--гиперона равен 3/2), т. е. барионы, как и лептоны, являются фермионами.

Странность S для различных частиц подгруппы барионов имеет разные значения (см. табл. 8).

Мезоны имеют спин, равный нулю, и, следовательно, являются бозонами (см. § 226), подчиняясь статистике Бозе — Эйнштейна (см. § 235). Для мезонов лептонные и барионные числа равны нулю. Из подгруппы мезонов только каоны обладают S =+1, а пионы и η-мезоны имеют нулевую странность.

Подчеркнем еще раз, что для процессов взаимопревращаемости элементарных частиц, обусловленных сильными взаимодействиями, выполняются все законы сохранения (энергии, импульса, момента импульса, зарядов (электрического, лептонного и барионного), изоспина, странности и четности). В процессах, обусловленных слабыми взаимодействиями, не сохраняются только изоспин, странность и четность.

В последние годы увеличение числа элементарных частиц происходит в основном вследствие расширения группы адронов.

Поэтому развитие работ по их классификации все время сопровождалось поисками новых, более фундаментальных частиц, которые могли бы служить базисом для построения всех адронов. Гипотеза о существовании таких частиц, названных кварками, была высказана независимо друг от друга (1964) австрийским физиком Дж. Цвейгом (р. 1937) и Гелл-Манном.

Название «кварк» заимствовано из романа ирландского писателя Дж. Джойса «Поминки по Финнегану» (герою снится сон, в котором чайки кричат: «Три кварка для мастера Марка»).

Согласно модели Гелл-Манна — Цвейга, все известные в то время адроны можно было построить, постулировав существование трех типов кварков (и, d, s)и соответствующих антикварков (ũ, d̃, s̃),если им приписать характеристики, указанные в табл. 9 (в том числе дробные электрические и барионные заряды). Самое удивительное (почти невероятное) свойство кварков связано сих электрическим зарядом, поскольку еще никто не находил частицы с дробным значением элементарного электрического заряда. Спин кварка равен 1/2, поскольку только из фермионов можно «сконструировать» как фермионы (нечетное число фермионов), так и бозоны (четное число фермионов).

Адроны строятся из кварков следующим образом: мезоны состоят из пары кварк — антикварк, барионы — из трех кварков (антибарион — из трех антикварков).

Так, например, пион p+ имеет кварковую структуру ud̃,пион p- — ũd, каон K+- ds̃,протон — uud, нейтрон — udd, S+-гиперон — uus, S°-гиперон — udsи т. д.

Во избежание трудностей со статистикой (некоторые барионы, например W--гиперон, состоят из трех одинаковых кварков (sss),что запрещено принципом Паули; см. § 227) на данном этапе предполагают, что каждый кварк (антикварк) обладает специфической квантовой характеристикой — цветом: «желтым», «синим» и «красным». Тогда, если кварки имеют неодинаковую «окраску», принцип Паули не нарушается.

Углубленное изучение модели Гелл-Манна — Цвейга, а также открытие в 1974 т. истинно нейтрального джей-пси-мезона (J/Y) массой около 6000me со временем жизни примерно 10-20 с и спином, равным единице, привело к введению нового кварка — так называемого с-кварка и новой сохраняющейся величины — «очарования» (от англ. charm).

Подобно странности и четности, очарование сохраняется в сильных и электромагнитных взаимодействиях, но не сохраняется в слабых. Закон сохранения очарования объясняет относительно долгое время жизни J/Y -мезона. Основные характеристики с-кварка приведены в табл. 9.

Таблица 9

 

Частице J/Y приписывается кварковая структура cc. Структура сc называется чармонием — атомоподобная система, напоминающая позитроннй (связанная водородоподобная система, состоящая из электрона и позитрона, движущихся вокруг общего центра масс).

Кварковая модель оказалась весьма плодотворной, она позволила определить почти все основные квантовые числа адронов. Например, из этой модели, поскольку спин кварков равен 1/2, следует целочисленный (нулевой) спин для мезонов и полуцелый — для барионов в полном соответствии с экспериментом. Кроме того, эта модель позволила предсказать также и новые частицы, например W--гиперон. Однако при использовании этой модели возникают и трудности. Квар ковая модель не позволяет, например, определить массу адронов, поскольку для этого необходимо знание динамики взаимодействия кварков и их масс, которые пока неизвестны.

В настоящее время признана точка зрения, что между лептонами и кварками существует симметрия: число лептонов должно быть равно числу типов кварков. В 1977 г. был открыт сверхтяжелый мезон массой около 20 000mе, который представляет собой структуру из кварка и антикварка нового типа — b-кварка (является носителем сохраняющейся в сильных взаимодействиях величины, названной «прелестью» (от англ, beauty)). Заряд b-кварка равен — 1/3. Предполагается, что существует и шестой кварк t с зарядом + 2/з, который уже решено назвать истинным (от англ, truth — истина), подобно тому как с-кварк называют очарованным, b-кварк — прелестным. В физике элементарных частиц введен «аромат» — характеристика типа кварка (u, d, s, с, b, t?),объединяющая совокупность квантовых чисел (странность, очарование, прелесть и др.), отличающих один тип кварка от другого, кроме цвета. Аромат сохраняется в сильных и электромагнитных взаимодействиях. Является ли схема из шести лептонов и шести кварков окончательной или же число лептонов (кварков) будет расти, покажут дальнейшие исследования.

 

33.1. Принимая, что энергия релятивистских мюонов в космическом излучении составляет 3 ГэВ, определить расстояние, проходимое мюонами за время их жизни, если собственное время жизни мюона 2,2 икс, а энергия покоя 100 МэВ. [19,8 км]

 

33.2. Нейтральный пион распадается на два γ-кванта: p°®2γ. Принимая массу покоя пиона равной 264,1me определить энергию каждого из возникших γ-квантов. [67,7 МэВ]

 

33.3. При столкновении нейтрона и антинейтрона происходит их аннигиляция, в результате чего возникают два γ-кванта, а энергия частиц переходит в энергию γ-квантов. Определить энергию каждого из возникших γ-квантов, принимая, что кинетическая энергия нейтрона и позитрона до их столкновения пренебрежимо мала. [942 МэВ]

 

33.4. Определить, какие из приведенных ниже процессов запрещены законом сохранения лептонного числа: 1) K+®m- + ṽm; 2) К+ ® е+ + p° + ve.

 

33.5. Определить, какие из приведенных ниже процессов разрешены законом сохранения странности: 1) р + p- ® S + К+; 2) р + p- ® К- + К+ + n.

 

33.6. Определить, какие законы сохранения нарушаются в приведенных ниже запрещенных способах распада: 1) p- + n ®L° + К-; 2) р + р ® р + p+.

 

 

ЗАКЛЮЧЕНИЕ

 

Итак, изложение курса физики закончено. Начав его детальное изучение с физических основ механики, мы последовательно рассмотрели основы молекулярной физики и термодинамики, учение об электричестве и электромагнетизме, колебания и волны, оптику, элементы квантовой физики и физики твердого тела, физики ядра и элементарных частиц. Приведенный перечень разделов, изложенных в курсе, позволяет проследить логику развития физики и эволюцию ее идей, а также представить основные периоды и этапы ее становления.

Со времени выхода в свет труда И. Ньютона «Математические начала натуральной философии» (1687), в котором он сформулировал три основных закона механики и закон всемирного тяготения, прошло более трехсот лет. За это время физика прoшла путь от макроскопического уровня изучения явлений до исследования материи уровне элементарных частиц.

Однако, несмотря на огромные успехи, которых физика достигла за это время и особенно в XX столетии, современная физика и астрофизика стоят перед целым рядом нерешенных проблем.

Например, проблемы физики плазмы — разработка методов разогрева плазмы примерно 109 К и ее удержание в течение времени, достаточного для протека термоядерной реакции; квантовой электроники — существенное повышение к.п.д. л, ров, расширение диапазона длин волн лазерного излучения с плавной перестройкой частоте и т. д.; физики твердого тела — получение материалов с наперед заданными свойствами и, в частности, с экстремальными параметрами по большому «спектру» характеристик, создание высокотемпературных сверхпроводников и т. д.; физики атомного ядра — осуществление управляемого термоядерного синтеза, поиск долгоживущих элементов с Z = 114 ¸ 126, предсказанных теорией, построение теории силы взаимодействий и т. д.; физики элементарных частиц — доказательство реально существования кварков и глюонов (частиц, осуществляющих взаимодействие между кварками), построение квантовой теории тяготения и т. д.; астрофизики — природа квазаров (мощных внегалактических источников электромагнитного излучения), причины вспышек сверхновых звезд, состояние материи при огромных плотностях и давлениях внутри нейтронных звезд и т. д. Поставленные проблемы требуют дальнейшего разрешения.

 

 

 


1. Физические законы механики

 

Средняя скорость

Мгновенная скорость

Среднее ускорение

Мгновенное ускорение

 

Тангенциальная составляющая

ускорения

Нормальная составляющая ускорения

Полное ускорение

Кинематические уравнения

равнопеременного

поступательного движения

Угловая скорость

Угловое ускорение

Кинематические уравнения

равнопеременного вращательного

движения

Связь между линейными и

угловыми вели чинами при

вращательном движении

Импульс (количество движения)

Второй закон Ньютона

Сила трения скольжения

Закон сохранения импульса

(для замкнутой системы)

Работа переменной силы на участке траектории 1—2

Мгновенная мощность


Кинетическая энергия

Потенциальная энергия тела, поднятого

над поверхностью Земли,

Потенциальная энергия

упругодеформированного тела

Полная механическая энергия системы

Закон сохранения механической

энергии (для консервативной системы)

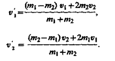
Скорость шаров массами m1 и m2 после

абсолютно упругого центрального удара

Скорость шаров после абсолютного

неупругого удара

Момент инерции системы (тела)

Моменты инерции полого и сплошного

цилиндров (или диска) относительно

оси симметрии

Момент инерции шара относительно

оси, проходящей через центр шара,

Момент инерции тонкого стержня

относительно оси, перпендикулярной

стержню и проходящей через его середину,

Момент инерции тонкого стержня

относительно оси, перпендикулярной

стержню и про ходящей через его конец,

Теорема Штейнера

Кинетическая энергия вращающегося

телa относительно неподвижной оси

Момент силы относительно

неподвижной точки

Момент силы относительно

иеподвижной оси

Момент импульса материальной

точки относительно неподвижной точки

Момент импульса твердого тела

относительно неподвижной оси

Уравнение динамики вращательного

движения твердого тела

Закон сохранения момента импульса

замкнутой системы)

Закон всемирного тяготения

Сила тяжести

Напряженность поля тяготения


Потенциал поля тяготения

Взаимосвязь между потенциалом поля

тяготения и его напряженностью

Уравнение неразрывности

для несжимаемой жидкости

Уравнение Бернулли

Релятивистское замедление хода часов

Релятивистское (лоренцево)

сокращение длины стержня

Релятивистский закон сложения

скоростей

Масса релятивистской частицы

Закон взаимосвязи массы и энергии

Релятивистский импульс

Связь между полной энергией и

импульсом релятивистской частицы

 

 

2.Основы молекулярной

физики и термодинамики

 

Закон Бойля — Мариотта

Законы Гей-Люссака

Закон Дальтона

Уравнение Клапейрона — Менделеева

для произвольной массы газа

Основное уравнение молекулярно-

кинетической теории идеального газа

Средняя квадратичная скорость молекулы

Средняя арифметическая скорость

молекулы

Наиболее вероятная скорость молекулы

Барометрическая формула

Средняя длина свободного пробега молекул за 1 с

Среднее число столкновений молекулы

 


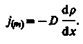
Закон теплопроводности Фурье

Теплопроводность (коэффициент)

Закон диффузии Фика

Диффузия (коэффициент)

Закон Ньютона для внутреннего

трения (вязкости)

Динамическая вязкость

Средняя энергия молекулы

Внутренняя энергия произвольной

массы газа

Первое начало термодинамики

Молярная теплоемкость газа при

постоянном объеме

Молярная теплоемкость газа при

постоянном давлении

Работа газа при изменении его объема

Работа газа при изобарном расширении

Работа газа при изотермическом

расширении

Уравнения адиабатического процесса

(уравнение Пуассона)

Работа газа при адиабатическом расширении

Термический коэффициент полезного

действия для кругового процесса

Термический коэффициент полезного

действия цикла Карно

Уравнение Ван-дер-Ваальса для моля

реального газа

 

3.Электричество и

электромагнетизм

 

Закон Кулона

Напряженность электростатического поля

Поток вектора напряженности

электростатического поля сквозь

замкнутую поверхность S

Принцип суперпозиции


Электрический момент диполя

 

Теорема Гаусса для электростатического

поля в вакууме

Объемная, поверхностная и линейная

плотности заряда

Напряженность поля, создаваемого

равномерно заряженной бесконечной

плоскостью,

Напряженность поля, создаваемого

двумя бесконечными параллельными

разноименно за ряженными плоскостями,

Напряженность поля, создаваемого

равномерно заряженной сферической

поверхностью,

Напряженность поля, создаваемого

объемно заряженным шаром,

Напряженность поля, создаваемого

равномерно заряженным бесконечным

цилиндром,

Циркуляция вектора напряженности

электростатического поля вдоль

замкнутого контура L

Потенциал электростатического поля

Связь между потенциалом

электростатического поля и

его напряженностью

Поляризованность

Связь между векторами Р и Е

Связь между диэлектрической

проницаемостью среды в и диэлектрической

восприимчивостью вещества я

Связь между векторами электрического

смещения и напряженностью

электростатического поля

Теорема Гаусса для электростатического

поля в диэлектрике

Энергия уединенного

проводника

Электрическая емкость шара

Электрическая емкость плоского

конденсатора

Электрическая емкость

цилиндрического конденсатора

Электрическая емкость сферического

конденсатора

Электрическая емкость параллельно

соединенных конденсаторов




Поделиться с друзьями:


Дата добавления: 2014-11-07; Просмотров: 504; Нарушение авторских прав?; Мы поможем в написании вашей работы!


Нам важно ваше мнение! Был ли полезен опубликованный материал? Да | Нет



studopedia.su - Студопедия (2013 - 2026) год. Все материалы представленные на сайте исключительно с целью ознакомления читателями и не преследуют коммерческих целей или нарушение авторских прав! Последнее добавление




Генерация страницы за: 0.014 сек.