Студопедия

КАТЕГОРИИ:


Архитектура-(3434)Астрономия-(809)Биология-(7483)Биотехнологии-(1457)Военное дело-(14632)Высокие технологии-(1363)География-(913)Геология-(1438)Государство-(451)Демография-(1065)Дом-(47672)Журналистика и СМИ-(912)Изобретательство-(14524)Иностранные языки-(4268)Информатика-(17799)Искусство-(1338)История-(13644)Компьютеры-(11121)Косметика-(55)Кулинария-(373)Культура-(8427)Лингвистика-(374)Литература-(1642)Маркетинг-(23702)Математика-(16968)Машиностроение-(1700)Медицина-(12668)Менеджмент-(24684)Механика-(15423)Науковедение-(506)Образование-(11852)Охрана труда-(3308)Педагогика-(5571)Полиграфия-(1312)Политика-(7869)Право-(5454)Приборостроение-(1369)Программирование-(2801)Производство-(97182)Промышленность-(8706)Психология-(18388)Религия-(3217)Связь-(10668)Сельское хозяйство-(299)Социология-(6455)Спорт-(42831)Строительство-(4793)Торговля-(5050)Транспорт-(2929)Туризм-(1568)Физика-(3942)Философия-(17015)Финансы-(26596)Химия-(22929)Экология-(12095)Экономика-(9961)Электроника-(8441)Электротехника-(4623)Энергетика-(12629)Юриспруденция-(1492)Ядерная техника-(1748)

Электродинамика 1 страница




Сурет.

Сурет.

Сурет.

№8

Автомобиль жолдың жартысын 60км/сағ жылдамдықпен, жолдың қалған бөлігінде ол уақыттың жартысын 15 км/сағ жылдамдықпен, ал қалған бөлікте 45 км/сағ жылдамдықпен қозғалды. Барлық жолдағы автомобильдің орташа жылдамдығын табыңдар.Автомобильдің жүріп өткен жолының уақытқа тәуелділік графигін тұрғызыңдар.

 

Шешуі: Анықтамаға сәйкес, автомобильдің толық жүрген жолының толық уақытқа қатынасымен анықталады.

 

Есептің шартына сәйкес, бірінші және екінші жартысы үшін алынатын қатынас,

Мұндағы, және автомобильдің жолдың бірінші және екінші жартысын жүріп өтетін уақыттары. Бұдан, екені белгілі. Осыдан:

Автомобильдің жүрген жолының уақытқа тәуелділік графигі 1 суретте көрсетілген.

 

9. Жол қиылысына жүк машинасы 10 м/с жылдамдықпен және жеңіл машина 20 м/с жылдамдықпен жақындап келеді (2 сурет). Жеңіл машинаның жүк машинасына қатысты жылдамдық модулі мен бағытын анықтаңдар.

Шешуі:

жеңіл машинаның жүк машинасына қатысты жылдамдығы жеңіл машинаның жылдамдығынан жүк машинасының жылдамдығын жолға қатысты азайтқанға тең:

векторының тұрғызылуы 2 суретте көрсетілген, одан анық көрінетіні:

2 сурет.

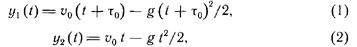
10. Екінші денені Жерден вертикаль жоғары бірінші дененің соңынан соң тура сондай, яғни бірінші дененікіндей жылдамдықпен лақтырады. Екінші денені тастағаннан кейін қанша уақыттан соң және қандай биіктікте денелер соқтығысады?

Шешуі:

Төменнен жоғары бағытталған вертикаль осьті оң деп таңдап (0 басы екі дене үшін де лақтыру нүктесі), (1) және (2), яғни бірінші және екінші денелердің ординаталарының уақытқа тәуелді өзгеріс заңдардын жазамыз:

 

Мұндағы, екінші денені лақтыру мезетінде оны ауада табу уақыты ( мезетте бірінші

дененің ұшуы болады).

Соқтығысу мезетінде екі дененің де ординаталары бірдей:

немесе,

осыдан,

Денелердің соқтығысу биіктігі,

 

11. Катер өзенді қиып өтеді, өзеннің ағыс жылдамдығы 2 м/с. Катердің жүргізушісі ағысқа перпендикуляр курсты ұстап отырады. Двигатель 0,1 м/с2 тұрақты үдеуді қамтамасыз етіп тұрады, катердің суға қатысты бастапқы жылдамдығы нөлге тең. Катер өзенді қанша уақыттан кейін қиып өтеді? Ол ағыспен қаншаға ығысып кетеді? Катер қарама-қарсы жағаға қандай жылдамдықпен жетеді және қандай бұрышпен?

Шешуі:

Катер жағаларға қатысты мынандай жылдамдықпен орын ауыстырады:

 

3 суретте көрсетілген таңдап алынған координат осьтерінің проекцияларында

катердің қозғалыс заңдары:

Есептің шартынан катердің өзенді қиып өтетін уақытын табамыз:

және ағыстың ығыстырымы:

Жағаға жақындай бастаған кездегі жылдамдығы,

Жылдамдық пен жағаның арасындағы бұрыш,

 

12. Массасы 0,1 кг дене үйкеліссіз радиусы цилиндрлік бетке өтетін көлбеу жазықтықтың бойымен сырғанайды. Дене биіктіктен сырғанағанда, А және В нүктелеріндегі жағдайлар үшін дененің бетке түсіретін және қысым күштерін анықтаңдар (4 сурет).

Шешуі:

 

Дененің А және В нүктелерінде орналасқан жағдайларындағы уақыт мезеті үшін

Ньютонның екінші заңы бойынша теңдеу:

Мұндағы және денеге әер ететін цилиндрлік беттің нормаль реакция

күштері. А және В нүктелеріндегі дененің кинетикалық энергиялары:

 

Осыдан жылдамдық квадраттарын табамыз:

Осы өрнектерді (1) және (2) теңдеулерге қойып, алатынымыз:

Ньютонның үшінші заңы бойынша,

13. Тік ұшақ аэродромнан вертикаль бойымен 3 м/с2 үдеумен ұшып шығады және бастапқы жылдамдығы нөлге тең. t1 қандай да бір уақыт мезетінде ұшқыш двигателін өшіреді. Дыбыс жерде ұшу орнында t2=30с –тан соң естілді.

Двигатель жұмысын тоқтатқан мезеттегі тік ұшақтың жылдамдығын анықтаңдар. Дыбыстың жылдамдығын 320 м/с деп есептеңдер.

 

Шешуі:

Ұшқыш двигателін сөндірген кезде, тікұшақ биіктікте тұрған. Дыбыстың жерден естілмейтіндей уақыты: .

Алынған квадрат теңдеуді шешіп, анықтаймыз:

.

Двигательдің жұмысы тоқтаған мезеттегі тікұшақтың жылдамдығы:

.

 

4. Зымыранның моделі Жер бетінен ұшып шықты және вертикаль жоғары 10 м/с2 үдеумен қозғалды. Егер ол 50 м/с жылдамдықпен ұшу орнына жақын маңда құласа, онда зымыранның двигателі қанша уақыт жұмыс істеген? (Ауа кедергісін ескермеңдер. Еркін түсу үдеуін 10 м/с2 деп есептеңдер.)

Жұмыс істеп тұрған двигательмен зымыранның ұшып өткен жолы, - двигательдің жұмыс істеу уақыты. Жолдың осы кесіндісінің соңында зымыранның жылдамдығы . Осыдан кейін зымыран үдеумен бірқалыпты баяу вертикаль төмен қозғалып кетеді. Келесі уақытта оның жылдамдығы нөлге дейін азаяды:

Траекторияның жоғарғы нүктесінен зымыран төмен қарай еркін құлайды, және жолда оның жылдамдығы 50м/с тең болады.Сонда

 

 

15. Тік бұрышты үшбұрыштың төбесіне бекітілген блок арқылы асыра тасталған жіптің ұштарына массалары 2 кг және 1 кг жүктер байланған. Көлбеулік бұрышы 200. Ауыр жүк көлбеу бетінде орналасқан. Осы жүк пен көлбеу жазықтықтың арасындағы үйкеліс коэффициенті 0,1 тең. Жүктерді бастапқы жылдамдықсыз төмен түсіреді. А) жүктер жүйесінің үдеуін және жіптің керілу күшін табыңдар. В) егер үйкеліс коэффициенті 0,3 болса, жауап қалай өзгерер еді?

 

 

16. Массалары m1 және m2 екі теміржол вагоны бір жаққа v1 және v2 жылдамдықтармен ақырын қозғалып барады. Вагондар соқтығысады, және буферлерінің серіппесі оларды шайқалтқаннан соққыны серпімді деп санауға болады. Серіппенің серпімді деформациясының максимал энергиясы неге тең болады?

Серіппенің ең үлкен сығылуы кезінде екі вагон да бірдей жылдамдыққа ие болады, оны импульстің сақталу заңынан табуға болады:

 

Энергияның сақталу заңына сәйкес:

 

17. Горизонталь жазықтықта тыныш жатқан массасы m денеге беттің бойымен бағытталған F тұрақты күш әсер ете бастайды. Күштің әсер ету уақыты t. Жазық бетпен дененің үйкеліс коэффициенті μ-ге тең. Қозғалыс уақыты ішінде дене қандай жолды жүріп өтеді?

 

Белгілеу енгіземіз: -ізделінді жол, - күш әсер еткеннен кейінгі жүрілген жол, - оталу(разгон) алғаннан кейінгі жылдамдығы, - оталу кезіндегі үдеуі. Кинематика теңдеулерінен:

Ньютонның екінші заңы бойынша

Кинетикалық энергия үйкеліс күштерге қарсы жұмыс істеуге шығындалады:

18. Құмырсқа өзінің илеуінен түзу бойымен жүгіргенде, оның жылдамдығы илеудің центріне дейінгі қашықтыққа кері пропорционал болады. Құмырсқа илеудің центрінен l1=1м қашықтықтағы А нүктесінде болған мезетте оның жылдамдығы 2см/с болды. Қандай t уақыт ішінде құмырсқа А нүктесінен илеуден l2-2м қашықтықтағы В нүктесіне жүгіріп жетеді?

Шешуі:

Құмырсқаның жылдамдығы уақыт бойынша сызықтық заңмен өзгермейді, сондықтан жолдың әр түрлі бөлігіндегі орташа жылдамдық әр түрлі және бізге белгілі орташа жылдамдықтың формуласын қолдана алмаймыз.

А нүктесінен В нүктесіне дейінгі құмырсқаның жолын ол бірдей уақытта жүріп өтетін аз бөліктерге бөлеміз. мұндағы - кесіндідегі орташа жылдамдық.Суреттегі штрихталған аудан сан жағынан іздеп отырған уақытқа тең. Оны табу қиын емес:

тең болғандықтан, құмырсқа А нүктесінен В нүктесіне дейін

жүгіріп жетеді.

 

 

19. Иіндері l1 және l2 таразының оң жақтағы табағында массасы m тас жатыр. Дәл осындай тас бастапқы жылдамдықсыз h1 биіктіктен таразының сол жақтағы табағына құлайды. Егер соққы серпімді болса, ал таразылар қатты және олардың массасын ескермесек, онда оң жақтағы тас қандай биіктікке көтеріледі?

Шешуі:

Соққыға дейінгі еркін түсу кезінде сол жақтағы тас жылдамдыққа ие болады, оны энергияның сақталу заңынан табуға болады:

Соққы процесі кезінде сол жақтағы тастың кинетикалық энергиясы өзгереді және мынаған тең болады:

, мұндағы - сол жақтағы тастың соққыдан кейінгі жылдамдығы.Оң жақтағы тас соққыдан кейін кинетикалық энергияға ие болады.

Соққы процесі кезінде толық энергия өзгермейді, сондықтан

Соққыдан кейін оң жақтағы тастың жылдамдығы нәтижесінде ол биіктікке көтеріледі:

Сол жақтағы тастың импульсінің өзгерісі

Оң жақтағы тастың импульсінің өзгерісі

Таразыларға әсер ететін күш моменттерінің қосындысы нөлге тең және таразы массалары ескермейтіндей аз болғандықтан:

(3)-(5) теңдіктерден алатынымыз:

(1), (2) және (6) қатынастардан оң жақтағы тастың көтерілу биіктігін анықтаймыз:

 

20. Массасы m тас горизонтқа бұрыш жасай лақтырылған және лақтыру орнынан S қашықтықта құлады, Тастың жеткен максимал биіктігі Н тең. Ауа кедергісін ескермей лақтыру жұмысын анықтаңдар.

Лақтыру кезінде тасқа энергия беруші F күш әсер етеді.

Ұшу кезінде тасқа ауырлық күші әсер етті.

Сонда лақтыру жұмысы тастың кинетикалық және потенциалдық энергияларының қосындысына тең болады:

Тастың горизонталь жылдамдығы тұрақты және - тастың барлық ұшу уақыты.

Тастың көтерілу немесе түсу уақытын мына формуладан табамыз.

Лақтыру жұмысы:

Жауабы:

 

 

21. Екі пластилин шарик массалары m1 және m2, бір-біріне қарама-қарсы v1 және v2 жылдамдықтармен ұшып келіп, серпімсіз соқтығысады. Бөлінген жылудың мөлшерін анықтаңдар.

Шешуі:

Импульстің сақталу заңын негізге ала отырып:

және энергияның сақталу заңына негізделе отырып:

Солға қарай бағытты оң деп санап, алатынымыз:

 

Алынған теңдеулер жүйесінен жылдамдықты шығарып аламыз:

Жауабы:

22. Бірінші вагонның басында платформада тұрған жолаушы поездың өзінің жанынан 40 с ішінде өте шыққанын байқады. Қандай уақыт ішінде бірінші және соңғы вагонның оның жанынан өткенін анықтаңдар. Құрама 8 вагоннан тұрады.

23. Тас вертикаль жоғары 6м/с бастапқы жылдамдықпен лақтырылды. Тастың һ›1,5м биіктікте орналасқан мезетіндегі уақыт аралығын анықтаңдар.

24. Тас биіктігі һ=4м үйдің төбесінен 2 м/с2 үдеумен домалап түседі. Шатырдың көлбеулік бұрышы α=450. Үйден қандай қашықтықта тастың құлайтынын анықтаңдар. үй қабырғасының биіктігі Н=6м.

25. Массалары m1 және m2 екі дене v1 және v2 жылдамдықтармен сәйкесінше, қозғалып барады. Осы жылдамдықтардың бағыттарының арасындағы бұрыш α. жүйенің импульсін анықтаңдар.

26. Массасы m=1кг граната жер бетінен һ=8м биіктікте екі жарықшаққа (m1:m2=2:3) жарылды. Жарылысқа дейін граната жылдамдығы горизонталь бағытталған және 10м/с тең. Кіші жарықшақ жарылу орнының астына 25м/с жылдамдықпен құлады. Үлкен жарықшақтың ұшу ұзақтығын анықтаңдар.

27. Қоңыз t2=6с ішінде l=27см жол жүріп өтті. Алғашқы үш секіндта ол бірқалыпты үдемелі қозғалса, ал соңғы үш секундты ол бірқалыпты қозғалды. Егер бесінші секундта ол l5=4см жылжыса, қоңыздың бастапқы жылдамдығы неге тең? Алғашқы үш секундта қоңыздың қозғалған үдеуін анықтаңдар.

28. Адам жерде 1м биіктікке секіреді. Дәл сондай күш жұмсап, ол Айда қандай биіктікке секіріп шығады?Ай радиусы 0,27Rж, ал тығыздығы 0,6ρж.

29. 600м/с жылдамдықпен ұшқан, массасы m1 =10г оқ, ұзын жіпте ілулі тұрған массасы m2=0,5кг ағаш білеушеге тиіп, және S=10см тереңдікте тұрып қалады. Дәл сол бекітілген білеушеге оқ қандай тереңдікке кіретін еді?

30. Массасы ескерусіз аз серіппе еденде вертикаль күйде бекітілген. Серіппенің жоғарғы жағына кішірек затты қояды. Егер оны серіппеге қатаң бекітсе, және тепе-теңдік күйден шығарса, онда ол периоды Т= 0,25с болатын тербеліс жаайды. Егер нәрсені бекітпесе, х0=5см түсірсе, сосон жібере салса, онда ол серіппеден ажырап кетеді. Ауа кедергісін ескермесе, нәрсе қандай Н биіктікке көтеріледі?

31. Автомобиль тұрақты үдеумен, темір жолға параллель тас жолмен жүріп келеді. Қандай да бір уақыт мезетінде автомобильдің жылдамдығы 72 км/сағ болды. Автомобильдің алдында 600м қашықтықта онымен бір бағытта, 54 км/сағ жылдамдықпен кетіп бара жатқан поездың машинисі бір мезетте тежегіш жүйені іске қосады. Ары қарай поезд тоқтағанға дейін қозғалады. Поездың тоқтаған мезетінде автомобиль мен поездың арасындағы қашықтықты анықтаңдар.

32. Массалары m1=m, m2=2m, m3=m үш жүк салмақсыз блоктар жүйесінің көмегімен созылмайтын салмақсыз жіптерде ілулі тұр. Жүктердің бастапқы жылдамдықтары нөлге тең. А нүктесінде жіп үзілгеннен кейін олардың үдеуін табыңдар. Жіптер мен блоктар арасындағы үйкелісті ескермеңдер.

33. Юпитердің серіктерінің біреуі Т=7,15 тәулік периодпен, радиусы r=106км дөңгелек тәрізді орбитамен айнала қозғалатыны белгілі болса, Юпитер бетінен ұшу кезіндегі бірінші ғарыштық жылдамдықты есептеңдер. Юпитердің радиусы R=7*104км.

34. Бір бағытта бір түзудің бойымен, абсолют тегіс горизонталь беттің бойымен айналмай сырғанаған екі қорғасын шардың жанымен соққысы кезінде бөлінетін жылу мөлшерін анықтаңдар. Бірінші шардың жылдамдығы 10см/с, ал екінші шардың жылдамдығы 20см/с. Шарлардың соққысын абсолют серпімсіз деп есептеңдер.

 

 

Молекулалық физика және термодинамика

Салыстырмалы атомдық немесе молекулалық масса деп атомның немесе молекуланың масасының көміртегі массасына қатынасын айтады:

молекулалардың орташа жылдамдықтары және олардың кинетикалық энергиялары

Газдардың МКТ-ның негізгі теңдеуі бойынша газ қысымы: идеал газдың күй теңдеуі

Бір атомды идеал газдың ішкі энергиясы




Поделиться с друзьями:


Дата добавления: 2014-11-07; Просмотров: 1429; Нарушение авторских прав?; Мы поможем в написании вашей работы!


Нам важно ваше мнение! Был ли полезен опубликованный материал? Да | Нет



studopedia.su - Студопедия (2013 - 2026) год. Все материалы представленные на сайте исключительно с целью ознакомления читателями и не преследуют коммерческих целей или нарушение авторских прав! Последнее добавление




Генерация страницы за: 0.012 сек.