Студопедия

КАТЕГОРИИ:


Архитектура-(3434)Астрономия-(809)Биология-(7483)Биотехнологии-(1457)Военное дело-(14632)Высокие технологии-(1363)География-(913)Геология-(1438)Государство-(451)Демография-(1065)Дом-(47672)Журналистика и СМИ-(912)Изобретательство-(14524)Иностранные языки-(4268)Информатика-(17799)Искусство-(1338)История-(13644)Компьютеры-(11121)Косметика-(55)Кулинария-(373)Культура-(8427)Лингвистика-(374)Литература-(1642)Маркетинг-(23702)Математика-(16968)Машиностроение-(1700)Медицина-(12668)Менеджмент-(24684)Механика-(15423)Науковедение-(506)Образование-(11852)Охрана труда-(3308)Педагогика-(5571)Полиграфия-(1312)Политика-(7869)Право-(5454)Приборостроение-(1369)Программирование-(2801)Производство-(97182)Промышленность-(8706)Психология-(18388)Религия-(3217)Связь-(10668)Сельское хозяйство-(299)Социология-(6455)Спорт-(42831)Строительство-(4793)Торговля-(5050)Транспорт-(2929)Туризм-(1568)Физика-(3942)Философия-(17015)Финансы-(26596)Химия-(22929)Экология-(12095)Экономика-(9961)Электроника-(8441)Электротехника-(4623)Энергетика-(12629)Юриспруденция-(1492)Ядерная техника-(1748)

Тепловое излучение. Тела, нагретые до высокой температуры, приобретают способность светиться




 

Тела, нагретые до высокой температуры, приобретают способность светиться. Нагретые добела жидкие или твердые тела испускают белый свет со сплошным спектром. По мере понижения температуры тела не только уменьшается интенсивность его излучения, но также изменяется спектральный состав излучения в сторону преобладания красных длин волн. При дальнейшем понижении температуры излучение видимого света прекращается – тело испускает только невидимые инфракрасные лучи.

Для характеристики теплового излучения вводится понятие о лучеиспускательной способности тела Еν,Т

;

dWизл. – энергия, излучаемая телом за единицу времени с единицы площади в интервале частот от ν до ν+dν.

И поглощательной способности тела Аν,Т

Аν,Т показывает, какая доля энергии dWпогл. от всей попавшей на тело dW поглотится телом.

Абсолютно черным телом называется тело, которое поглощает всю падающую на него энергию. Для этого тела Аν,Т = 1.

Законы теплового излучения получены для абсолютно черного тела.

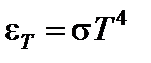
Закон Стефана-Больцмана

;

ε T – излучательная способность абсолютно черного тела, зависящая только от температуры; Т – абсолютная температура; σ – постоянная Стефана-Больцмана; σ = 5,67·10–8 Вт/м2·К4.

Закон Кирхгофа

;

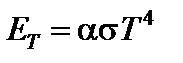
Тело называется серым, если его поглощальная способность одинакова для всех частот и зависит от температуры. ; – излучательная способность серого тела, также зависящая только от температуры.

Реальные тела близки по своим свойствам к серому телу и для них

Здесь коэффициент α – называется степенью черноты.

 




Поделиться с друзьями:


Дата добавления: 2014-11-07; Просмотров: 724; Нарушение авторских прав?; Мы поможем в написании вашей работы!


Нам важно ваше мнение! Был ли полезен опубликованный материал? Да | Нет



studopedia.su - Студопедия (2013 - 2026) год. Все материалы представленные на сайте исключительно с целью ознакомления читателями и не преследуют коммерческих целей или нарушение авторских прав! Последнее добавление




Генерация страницы за: 0.011 сек.