Студопедия

КАТЕГОРИИ:


Архитектура-(3434)Астрономия-(809)Биология-(7483)Биотехнологии-(1457)Военное дело-(14632)Высокие технологии-(1363)География-(913)Геология-(1438)Государство-(451)Демография-(1065)Дом-(47672)Журналистика и СМИ-(912)Изобретательство-(14524)Иностранные языки-(4268)Информатика-(17799)Искусство-(1338)История-(13644)Компьютеры-(11121)Косметика-(55)Кулинария-(373)Культура-(8427)Лингвистика-(374)Литература-(1642)Маркетинг-(23702)Математика-(16968)Машиностроение-(1700)Медицина-(12668)Менеджмент-(24684)Механика-(15423)Науковедение-(506)Образование-(11852)Охрана труда-(3308)Педагогика-(5571)Полиграфия-(1312)Политика-(7869)Право-(5454)Приборостроение-(1369)Программирование-(2801)Производство-(97182)Промышленность-(8706)Психология-(18388)Религия-(3217)Связь-(10668)Сельское хозяйство-(299)Социология-(6455)Спорт-(42831)Строительство-(4793)Торговля-(5050)Транспорт-(2929)Туризм-(1568)Физика-(3942)Философия-(17015)Финансы-(26596)Химия-(22929)Экология-(12095)Экономика-(9961)Электроника-(8441)Электротехника-(4623)Энергетика-(12629)Юриспруденция-(1492)Ядерная техника-(1748)

Тема 1 линейная алгебра




Часть IV. Психические свойства личности

4. Что вы знаете о классификации черт характера?

5. Как характер проявляется через деятельность?

6. Охарактеризуйте существующие теоретические и экспериментальные подхо­ды к исследованию характера.

7. Что вы знаете об истории исследования характера человека как психического явления?

8. Расскажите о концепциях акцентуаций характера, предложенных К. Леонгар-дом и А. Е. Личко.

9. В чем проявляется взаимосвязь характера и темперамента?

10. Какие особенности формирования характера в детском возрасте вы знаете?

11. Что такое «сензитивный период»?

12. В чем заключается роль взаимодействия ребенка и взрослого в формировании характера?

13. Какие особенности формирования характера в дошкольном и школьном воз­расте вы знаете?

14. В чем проявляется трансформация характера в течение жизни?

15. Что такое «самовоспитание» и какова роль самостоятельного труда в форми­ровании характера?

Рекомендуемая литература

1. Ананьев Б. Г. Избранные Психологические труды: В 2-х т. / Под ред. А. А. Бодалева,

Б. Ф. Ломова. - М.: Педагогика, 1980.

2. Бодалев А. А. Психология о личности. — М.: Изд-во МГУ, 1988.

3. Гиппенрвйтер Ю. Б. Введение в общую психологию: Курс лекций: Учебное пособие для вузов. — М.: ЧсРо, 1997.

4. Грановская Р. М. Элементы практической психологии. — СПб.: Свет, 1997.

5. Леотард К. Акцентуированные личности. — Киев: Вища школа, 1989.

6. Личко А. Е. Психопатии и акцентуации характера у подростков. — Л.: Медицина, 1983.

7. Рубинштейн С. Л. Основы общей психологии. — СПб.: Питер, 1999.

8. Страхов И. В. Психология характера. — Саратов: СГПИ, 1970.

9. Теплое Б. М. Избранные труды: В 2-х т. Т. 1. — М.: Педагогика, 1985.

Текст взят с психологического сайта http://www.myword.ru

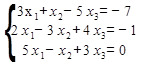
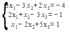
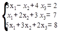
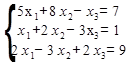
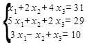
Задание 1. Выполнить действия над матрицами.

 

 

 

 
 
 
 
 
 

 

 
 
 
 
 

 

 
 
 

 

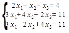
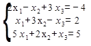
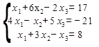
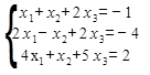
Задание 2.

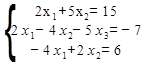
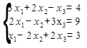
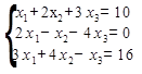
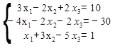
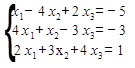
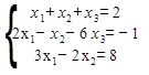
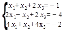
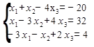
1) Решить СЛАУ матричным способом.

2) Решить СЛАУ методом Гаусса.

Номер варианта      
       
       
       
       
     
       
       
       
       
       
         
         
         
       
       
       
       
     
           
         
       
       
         
         
         
         
       
       
       
       

 




Поделиться с друзьями:


Дата добавления: 2014-10-31; Просмотров: 288; Нарушение авторских прав?; Мы поможем в написании вашей работы!


Нам важно ваше мнение! Был ли полезен опубликованный материал? Да | Нет



studopedia.su - Студопедия (2013 - 2026) год. Все материалы представленные на сайте исключительно с целью ознакомления читателями и не преследуют коммерческих целей или нарушение авторских прав! Последнее добавление




Генерация страницы за: 0.01 сек.