Студопедия

КАТЕГОРИИ:


Архитектура-(3434)Астрономия-(809)Биология-(7483)Биотехнологии-(1457)Военное дело-(14632)Высокие технологии-(1363)География-(913)Геология-(1438)Государство-(451)Демография-(1065)Дом-(47672)Журналистика и СМИ-(912)Изобретательство-(14524)Иностранные языки-(4268)Информатика-(17799)Искусство-(1338)История-(13644)Компьютеры-(11121)Косметика-(55)Кулинария-(373)Культура-(8427)Лингвистика-(374)Литература-(1642)Маркетинг-(23702)Математика-(16968)Машиностроение-(1700)Медицина-(12668)Менеджмент-(24684)Механика-(15423)Науковедение-(506)Образование-(11852)Охрана труда-(3308)Педагогика-(5571)Полиграфия-(1312)Политика-(7869)Право-(5454)Приборостроение-(1369)Программирование-(2801)Производство-(97182)Промышленность-(8706)Психология-(18388)Религия-(3217)Связь-(10668)Сельское хозяйство-(299)Социология-(6455)Спорт-(42831)Строительство-(4793)Торговля-(5050)Транспорт-(2929)Туризм-(1568)Физика-(3942)Философия-(17015)Финансы-(26596)Химия-(22929)Экология-(12095)Экономика-(9961)Электроника-(8441)Электротехника-(4623)Энергетика-(12629)Юриспруденция-(1492)Ядерная техника-(1748)

Тема 6. Комбинаторика. Теория вероятностей. Задание 1. Вычислить неопределенные интегралы




Тема 5. ИНТЕГРАЛЬНОЕ ИСЧИСЛЕНИЕ

 

Задание 1. Вычислить неопределенные интегралы.


Вариант № 1

 

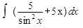
1)

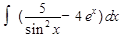
2)

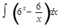
3)

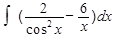
4)

5)

Вариант № 2

1)

2)

3)

4)

5)

Вариант № 3

1)

2)

3)

4)

5)

Вариант № 4

 

1)

2)

3)

4)

5)

 

 

Вариант № 5

 

1)

2)

3)

4)

5)

Вариант № 6

 

1)

2)

3)

4)

 

Вариант № 7

 

1)

2)

3)

4)

5)

Вариант № 8

1)

2)

3)

4)

5)

 

Вариант № 9

 

1)

2)

3)

4)

5)

 

Вариант № 10

 

1)

2)

3)

4)

5)

Вариант № 11

 

 

1)

2)

3)

4)

5)

Вариант № 12

 

1)

2)

3)

4)

5)

 

 

Вариант № 13

 

1)

2)

3)

4)

5)

 

Вариант № 14

 

1)

2)

3)

4)

5)

Вариант № 15

 

1)

2)

3)

4)

5)

 

Вариант № 16

 

1)

2)

3)

4)

5)

 

 

Вариант № 17

 

1)

2)

3)

4)

5)

Вариант № 18

 

1)

2)

3)

4)

5)

 

Вариант № 19

 

1)

2)

3)

4)

5)

 

Вариант № 20

 

1)

2)

3)

4)

5)

 

Вариант № 21

 

1)

2)

3)

4)

5)

 

Вариант № 22

 

1)

2)

3)

4)

5)

Вариант № 23

 

1)

2)

3)

4)

5)

 

Вариант № 24

 

 

1)

2)

3)

4)

5)

 

 

Вариант № 25

 

1)

2)

3)

4)

5)

 

Вариант № 26

 

1)

2)

3)

4)

5)

Вариант № 27

 

1)

2)

3)

4)

5)

 

Вариант № 28

 

1)

2)

3)

4)

5)

 

Вариант № 29

 

1)

2)

3)

4)

5)

 

Вариант № 30

 

1)

2)

3)

4)

5)

 



Задание 2. Вычислить площадь фигуры, ограниченной линиями.

1)

2)

3)

4)

5)

6)

7)

8)

9)

10)

11)

12)

13)

14)

15)

16)

17)

18)

19)

20)

21)

22)

23)

24)

25)

26)

27)

28)

29)

30)

Задание 1. Решить задачу.

1) Сколькими способами могут восемь человек стать в очередь к театральной кассе?

2) В автомашине 7 мест. Сколькими способами семь человек могут усесться в эту машину, если занять место водителя могут только трое из них?

3) Алфавит некоторого языка содержит 30 букв. Сколько существует шестибуквенных слов (цепочка букв от пробела до пробела), составленных из букв этого алфавита, если буквы в словах не повторяются?

4) Сколько слов можно образовать из букв слова фрагмент, если слова должны состоять из восьми букв.

5) Алфавит некоторого языка содержит 30 букв. Сколько существует шестибуквенных слов (цепочка букв от пробела до пробела), составленных из букв этого алфавита, если буквы в словах не могут повторяться?

6) Сколько слов можно образовать из букв слова фрагмент, если слова должны состоять из восьми букв.

7) Сколькими способами из восьми человек можно избрать комиссию, состоящую из пяти членов?

8) Из слова САПФИР составляют четырехбуквенные слова. Сколько среди них таких, которые не содержат буквы Р?

9) Сколькими способами можно расставить на полке 7 книг?

10) Сколько трехзначных чисел можно составить из цифр 2, 4, 6, 9, 7?

11) Сколькими способами можно выбрать делегацию из 5 человек на конференцию, если в коллективе работает 25 человек?

12) Сколькими способами можно составить список из 10 человек?

13) Сколько пятизначных чисел можно составить из цифр 1, 2, 3, 4, 5 без повторений?

14) Сколькими способами можно рассадить 7 человек по 7 местам?

15) Сколькими способами читатель может выбрать 3 книжки из 5?

16) Сколькими способами из 7 человек можно выбрать комиссию, состоящую из 3 человек?

17) Сколькими способами можно рассадить 4 учащихся на 25 местах?

18) Сколько четырехзначных чисел можно составить из цифр 3, 6, 9, 1 без повторений?

19) Сколькими способами можно рассадить 8 человек на 10 местах?

20) Сколькими способами можно расставить на полке 5 книг?

21) Сколькими способами из 30 учащихся можно выбрать делегацию, состоящую из 3 учащихся?

22) Восемь студентов обменялись рукопожатиями. Сколько было рукопожатий?

23) Сколькими способами можно составить трехцветный полосатый флаг из пяти различных по цвету материй?

24) Сколько имеется вариантов составления расписания на понедельник для студентов, если предметов 9, а в понедельник четыре пары занятий и предметы не повторяются?

25) Сколькими способами можно назначить в группе из 30 человек трех дежурных?

26) Сколько пятизначных чисел без повторяющихся цифр можно записать, используя цифры 0, 1, 2, 3, 4?

27) Сколькими способами за столом президиума собрания могут сесть семь членов президиума?

28) На собрании членов кооператива присутствуют 20 человек. Сколькими способами из присутствующих можно выбрать правление кооператива в составе 5 человек?

29) На собрании членов кооператива присутствуют 20 человек. Сколькими способами из присутствующих можно выбрать председателя правления, его заместителя и бухгалтера?

30) На флагштоке 5 мест и 5 флагов: 2 красных и 3 белых. Сколько различных сигналов можно изобразить, используя все флаги одновременно?

 

Задание 2. Решить задачу, используя классическое определение вероятности.

1. В урне 4 белых и 7 черных шаров. Из урны вынимают один шар. Какова вероятность того, что он белый?

2. В партии из 12 деталей имеется 7 стандартных. Найти вероятность того, что наугад взятая одна деталь окажется стандартной.

3. В ящике 100 деталей, из них 5 бракованных. Наудачу извлечена 1 деталь. Найти вероятность того, что она не бракованная.

4. В урне 8 белых и 6 черных шаров. Из урны наугад вынимаются один шар. Найти вероятность того, что он черного цвета.

5. Забыли две последние цифры телефонного номера друга. Какова вероятность набрать нужный номер с первого раза, если сохранилась в памяти информация, что цифры различные?

6. На улицах города разместили 100 телефонных автоматов. Найти вероятность того, что один среди наудачу проверенных телефонных автоматов из 100 развешенных будет с дефектами, если стало известно, что в партии телефонов-автоматов было 10 дефектных.

7. Из чисел 1, 2, …, 100 наугад выбирают одно число. Какова вероятность того, что оно окажется кратным 9?

8. Забыли две последние цифры телефонного номера друга. Какова вероятность набрать нужный номер с первого раза, если сохранилась в памяти информация, что цифры одинаковые.

9. Из урны, содержащей 8 белых, 5 черных и 2 красных шара, наугад извлекают 1 шар. Какова вероятность того, что это будет красный шар?

10. В ящике 100 деталей, из них 5 бракованных. Наудачу извлечена 1 деталь. Найти вероятность того, что она бракованная.

11. Из чисел 1, 2, …, 100 наугад выбирают одно число. Какова вероятность того, что оно окажется кратным 10?

12. Какова вероятность, что за контрольную работу по математике Вы получите оценку «5»?

13. К Вам в гости должны прийти 2 мужчины и 3 женщины. Какова вероятность того, что первый гость будет мужчина?

14. Какова вероятность того, что наугад выбранный в календаре день недели окажется пятницей?

15. Из чисел 1, 2, …, 30 наугад выбирают одно число. Какова вероятность того, что оно окажется простым?

16. В классе, состоящем из 20 учеников, 15 человек занимаются в математическом кружке. Какова вероятность, что наудачу выбранный ученик окажется членом математического кружка?

17. Бросают 2 игральные кости. Какое событие более вероятно: сумма очков на выпавших гранях равна 11 или сумма очков на выпавших гранях равна 4?

18. При перевозке 100 деталей, из которых 10 были забракованы, утеряна одна стандартная деталь. Найти вероятность того, что наудачу извлеченная деталь оказалась стандартной?

19. В первом ящике находятся шары с номерами от 1 до 5, а во втором – с номерами от 6 до 10. Из каждого ящика вынули по одному шару. Какова вероятность того, что сумма номеров вынутых шаров не больше 11?

20. Из 25 занумерованных экзаменационных билетов наудачу вынимается один. Какова вероятность того, что номер вынутого билета есть число кратное 3?

21. Из урны, содержащей 10 белых, 8 черных и 2 желтых шара, случайно выпал один шар. Какова вероятность того, что этот шар черный?

22. Какова вероятность того, что наудачу выбранное целое число от 1 до 30 включительно является делителем числа 30?

23. Даны целые числа от 1 до 40 включительно. Какова вероятность того, что наудачу выбранное число будет делителем 40?

24. В урне 12 шаров. 3 белых, 4 черных, 5 красных. Какова вероятность вынуть из урны черный шар?

25. При перевозке 100 деталей, из которых 10 были забракованы, утеряна одна стандартная деталь. Найти вероятность того, что наудачу извлеченная деталь оказалась бракованной?

26. В урне 5 шаров: 2 красных и 3 синих. Достали один шар. Какова вероятность того, что он синий?

27. Какова вероятность того, что наудачу выбранный листок календаря соответствует 29 числу, если в году 365 дней?

28. Если в году 365 дней, то какова вероятность того, что число на наудачу вырванном листке нового календаря кратно 5?

29. В лотерее 2000 билетов. На один билет попадает выигрыш 1000 рублей, на четыре – по 500 рублей, на десять – по 200 рублей, на двадцать – по 100 рублей, на 165 – по 50 рублей, на 400 – по 10 рублей, остальные билеты невыигрышные. Какова вероятность выиграть по билету не менее 10 рублей?

30. Найти вероятность того, что наудачу выбранное целое число от 40 до 70 является кратным 6?

 




Поделиться с друзьями:


Дата добавления: 2014-10-31; Просмотров: 1365; Нарушение авторских прав?; Мы поможем в написании вашей работы!


Нам важно ваше мнение! Был ли полезен опубликованный материал? Да | Нет



studopedia.su - Студопедия (2013 - 2026) год. Все материалы представленные на сайте исключительно с целью ознакомления читателями и не преследуют коммерческих целей или нарушение авторских прав! Последнее добавление




Генерация страницы за: 0.013 сек.