Студопедия

КАТЕГОРИИ:


Архитектура-(3434)Астрономия-(809)Биология-(7483)Биотехнологии-(1457)Военное дело-(14632)Высокие технологии-(1363)География-(913)Геология-(1438)Государство-(451)Демография-(1065)Дом-(47672)Журналистика и СМИ-(912)Изобретательство-(14524)Иностранные языки-(4268)Информатика-(17799)Искусство-(1338)История-(13644)Компьютеры-(11121)Косметика-(55)Кулинария-(373)Культура-(8427)Лингвистика-(374)Литература-(1642)Маркетинг-(23702)Математика-(16968)Машиностроение-(1700)Медицина-(12668)Менеджмент-(24684)Механика-(15423)Науковедение-(506)Образование-(11852)Охрана труда-(3308)Педагогика-(5571)Полиграфия-(1312)Политика-(7869)Право-(5454)Приборостроение-(1369)Программирование-(2801)Производство-(97182)Промышленность-(8706)Психология-(18388)Религия-(3217)Связь-(10668)Сельское хозяйство-(299)Социология-(6455)Спорт-(42831)Строительство-(4793)Торговля-(5050)Транспорт-(2929)Туризм-(1568)Физика-(3942)Философия-(17015)Финансы-(26596)Химия-(22929)Экология-(12095)Экономика-(9961)Электроника-(8441)Электротехника-(4623)Энергетика-(12629)Юриспруденция-(1492)Ядерная техника-(1748)

Неполные уравнения




Уравнения с разделяющимися переменными

Определение 5. Дифференциальное уравнение вида

 

 

где f 1 (x) и f 2(y) — непрерывные функции, называется уравне­нием с разделяющимися переменными.

Подчеркнем, что правая часть уравнения представляет со­бой произведение, в котором один сомножитель зависит только от х, а другой — только от у. Метод решения такого вида урав­нений носит название разделения переменных. Запишем производную у' в ее эквивалентной форме как отношение дифферен­циала функции к дифференциалу независимой переменной , умножим обе части уравнения (9.3) на dx и поделим обе его части на f 2 (y), полагая, что f 2(у) ≠ 0; получаем

 

 

В этом уравнении переменная у входит в левую часть, а пе­ременная х — только в правую, т.е. переменные разделены. Пусть у = φ(x) является решением уравнения (9.3), тогда при подстановке этого решения в уравнение (9.4) получаем тож­дество: два дифференциала равны друг другу, только в правой части дифференциал выражен через независимую переменную x, а в левой части — через функцию у. Поскольку дифференци­алы равны, то их неопределенные интегралы различаются на постоянную величину, т.е., интегрируя слева по переменной у, а справа по переменной х, получаем

 

 

где С — произвольная постоянная.

Рассмотрим примеры решения уравнений методом разде­ления переменных.

Пример 1. ху' — у = 0, найти частное решение при начальных условиях у 0 = 2 при x 0 = -4.

Решение. Разделим переменные, для чего перенесем у в правую часть, поделим обе части полученного уравнения на ху и умножим их на dx; получим

 

 

Интегрируя обе части этого уравнения (правую по x, а левую по у), имеем

 

 

где С — произвольная постоянная. При потенцировании полу­чаем

 

 

что эквивалентно уравнению у = ±Сх, или у = С 1 х. Получен­ная функция представляет семейство интегральных кривых. Для выделения частного решения при указанных начальных условиях подставим в эту формулу х = -4 и у = 2, откуда получим значение для С: С = -1/2. Окончательно частное решение имеет вид

 

Пример 2. у' = х , найти частное решение, проходящее через точку (0,1).

Решение. Разделяя переменные, получаем уравнение в дифференциалах

 

 

Интегрируя, имеем

 

 

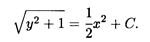
где С — произвольная постоянная величина. После интегриро­вания (интеграл в правой части берется при помощи замены переменной) имеем уравнение семейства интегральных кривых

 

 

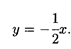
Выделение частного решения, проходящего через точку (0, 1), приводит к определению произвольной постоянной: С = , т.е. эта кривая описывается уравнением (с учетом выбора знака)

 

Определение 6. Дифференциальное уравнение первого поряд­ка (9.1) называется неполным, если функция f явно зависит только от одной переменной: либо от х, либо от у.

Различают два случая такой зависимости.

1. Пусть функция f зависит только от х. Переписав это уравнение в виде

 

 

нетрудно убедиться, что его решением является функция

 

 

2. Пусть функция f зависит только от у, т.е. уравнение (9.1) имеет вид

 

 

Дифференциальное уравнение такого вида называется авто­номным. Такие уравнения часто употребимы в практике мате­матического моделирования и исследования природных и физи­ческих процессов, когда, например, независимая переменная х играет роль времени, не входящего в соотношения, описываю­щие законы природы. В этом случае особый интерес представ­ляют так называемые точки равновесия, или стационарные точки,— нули функции f (у), где производная у' = 0.

Решение уравнения (9.6) методом разделения переменных приводит к функциональному уравнению для определения не­известной функции у = φ(x) (или х = ψ(у)):

 

 

В общей теории дифференциальных уравнений развита те­ория качественного анализа, основанная на исследовании ха­рактера стационарных точек.




Поделиться с друзьями:


Дата добавления: 2014-10-15; Просмотров: 517; Нарушение авторских прав?; Мы поможем в написании вашей работы!


Нам важно ваше мнение! Был ли полезен опубликованный материал? Да | Нет



studopedia.su - Студопедия (2013 - 2026) год. Все материалы представленные на сайте исключительно с целью ознакомления читателями и не преследуют коммерческих целей или нарушение авторских прав! Последнее добавление




Генерация страницы за: 0.012 сек.