Студопедия

КАТЕГОРИИ:


Архитектура-(3434)Астрономия-(809)Биология-(7483)Биотехнологии-(1457)Военное дело-(14632)Высокие технологии-(1363)География-(913)Геология-(1438)Государство-(451)Демография-(1065)Дом-(47672)Журналистика и СМИ-(912)Изобретательство-(14524)Иностранные языки-(4268)Информатика-(17799)Искусство-(1338)История-(13644)Компьютеры-(11121)Косметика-(55)Кулинария-(373)Культура-(8427)Лингвистика-(374)Литература-(1642)Маркетинг-(23702)Математика-(16968)Машиностроение-(1700)Медицина-(12668)Менеджмент-(24684)Механика-(15423)Науковедение-(506)Образование-(11852)Охрана труда-(3308)Педагогика-(5571)Полиграфия-(1312)Политика-(7869)Право-(5454)Приборостроение-(1369)Программирование-(2801)Производство-(97182)Промышленность-(8706)Психология-(18388)Религия-(3217)Связь-(10668)Сельское хозяйство-(299)Социология-(6455)Спорт-(42831)Строительство-(4793)Торговля-(5050)Транспорт-(2929)Туризм-(1568)Физика-(3942)Философия-(17015)Финансы-(26596)Химия-(22929)Экология-(12095)Экономика-(9961)Электроника-(8441)Электротехника-(4623)Энергетика-(12629)Юриспруденция-(1492)Ядерная техника-(1748)

Линейные операции над матрицами




 

1. Сумма матриц. Суммой матриц А и В одинакового раз­мера называется матрица С того же размера, каждый элемент которой равен сумме соответствующих элементов матриц А и В. Представим это в сокращенной записи. Пусть

 

 

Тогда сумма этих матриц С = А + В имеет вид

 

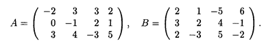
Пример 1. Пусть даны матрицы А и В:

 

Тогда их суммой, согласно определению, является матрица

 

 

2. Умножение матрицы на действительное число. Произ­ведением матрицы А на действительное число α называется матрица, каждый элемент которой получен умножением соот­ветствующего элемента матрицы А на число α.

Пример 2. Пусть даны матрица А и число α:

 

 

Тогда произведением матрицы А на число является матрица

 

 

3. Приведем свойства операций суммирования матриц и произведения матрицы на число, непосредственно вытекающие из определения этих операций. Пусть А, В и С — матрицы, имеющие одинаковый размер, а α и β — некоторые действи­тельные числа. Тогда:

1) А + В = В + А,

2) (А + В) + С = А + (В + С),

3) α(А + В) =αА + αВ,

4) (α + β) A = αA + βA,

5) (αβ)А = (αA)β,

6) A + О = А, где О — нулевая матрица,

7) 0А = О.

 




Поделиться с друзьями:


Дата добавления: 2014-10-15; Просмотров: 300; Нарушение авторских прав?; Мы поможем в написании вашей работы!


Нам важно ваше мнение! Был ли полезен опубликованный материал? Да | Нет



studopedia.su - Студопедия (2013 - 2026) год. Все материалы представленные на сайте исключительно с целью ознакомления читателями и не преследуют коммерческих целей или нарушение авторских прав! Последнее добавление




Генерация страницы за: 0.008 сек.